Студопедия

КАТЕГОРИИ:


Архитектура-(3434)Астрономия-(809)Биология-(7483)Биотехнологии-(1457)Военное дело-(14632)Высокие технологии-(1363)География-(913)Геология-(1438)Государство-(451)Демография-(1065)Дом-(47672)Журналистика и СМИ-(912)Изобретательство-(14524)Иностранные языки-(4268)Информатика-(17799)Искусство-(1338)История-(13644)Компьютеры-(11121)Косметика-(55)Кулинария-(373)Культура-(8427)Лингвистика-(374)Литература-(1642)Маркетинг-(23702)Математика-(16968)Машиностроение-(1700)Медицина-(12668)Менеджмент-(24684)Механика-(15423)Науковедение-(506)Образование-(11852)Охрана труда-(3308)Педагогика-(5571)Полиграфия-(1312)Политика-(7869)Право-(5454)Приборостроение-(1369)Программирование-(2801)Производство-(97182)Промышленность-(8706)Психология-(18388)Религия-(3217)Связь-(10668)Сельское хозяйство-(299)Социология-(6455)Спорт-(42831)Строительство-(4793)Торговля-(5050)Транспорт-(2929)Туризм-(1568)Физика-(3942)Философия-(17015)Финансы-(26596)Химия-(22929)Экология-(12095)Экономика-(9961)Электроника-(8441)Электротехника-(4623)Энергетика-(12629)Юриспруденция-(1492)Ядерная техника-(1748)

Показатели конкурентоспособности




Конкурентоспособность производимых товаров может быть оценена по показателю конкурентоспособности:

§ Iтп — индекс технических параметров (индекс качества);

§ Iэп — индекс экономических параметров (индекс цен).

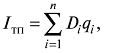
Индекс технических параметров рассчитывается по следующей формуле:

§ Di — коэффициент значимости (весомости) i-го параметра;

§ qi = Pоцен / Pконк — относительный параметр качества;

§ Роцен — значение параметра оцениваемого товара;

§ Pконк — значение параметра товара конкурирующей фирмы.

Индекс экономических параметров рассчитывается по выражению

§ Соцен — цена потребления оцениваемого товара, руб;

§ Сконк — цена потребления конкурирующего товара, руб.

Цена потребления складывается из рыночной цены приобретения товара и суммарных расходов потребителя по эксплуатации (потреблению) товара за весь срок его службы.

Обычно в качестве конкурирующего товара используется аналогичный товар, наиболее популярный у потребителя данного сегмента рынка.

Товар является конкурентоспособным, если показатель конкурентоспособности товара равен 100 или близок к этой величине.

Экономическая интеграция производителя и потребителя привела к тому, что стали устанавливаться так называемые затраты изготовителя, обусловленные необходимостью повышения качества выпускаемой им продукции, и экономия потребителя, достигаемая за счет использования им продукции высокого качества. Таким образом, формируется потребительно-стоимостный подход к обеспечению качества продукции, имеющий своей целью:

§ Создание условий для снижения издержек производства на сумму полезного эффекта потребительной стоимости.

§ Повышение степени удовлетворения потребностей человека за счет увеличения полезности и качества продукции.

Люди будут пользоваться продуктом производителя, если они удовлетворены его ценностью (необходимостью его приобретения и совокупностью предлагаемых параметров качества) и стоимостью (рис. 1.3).

Компании, которые не удовлетворяют потребителя по этим показателям, вскоре обнаруживают, что клиенты ушли от них и они потеряли свою область рынка за счет более профессиональных конкурентов, которые лучше поняли потребности клиентов. Чем выше уровень удовлетворенности потребителя, тем выше возможности развития бизнеса.

Таким образом, удовлетворенность потребителя зависит от ценности продукта Ц и его стоимости С. В зависимости от соотношения Ц и С возможны три ситуации:

Ц равно С (Ц = С). Нейтральная ситуация. В этом случае ожидания потребителя подтвердились, а производитель окупил свои затраты и получил запланированную прибыль, как он предполагал, в соответствии с реализованными параметрами качества.

Ц больше С (Ц > С). Потребитель удовлетворен. В то же время производитель заинтересован в получении большей прибыли за счет увеличения стоимости продаж своей продукции.

Ц меньше С (Ц < С). Потребитель не удовлетворен, и в большинстве случаев покупка товара не может совершиться; производитель начинает терять ранее приобретенных потребителей.

Рис. 1.3. Соотношение стоимости и ценности в продукции

В связи с этим можно выделить три основных пути конкурентной борьбы производителей.

1. Конкуренция за счет снижения цен при общем низком качестве продукции. Этот путь возможен при ситуации, когда Ц больше С. Эта ситуация была характерной вплоть до 1950-х гг. Рынок потреблял все, что производилось. Однако и в этих условиях конкурентной борьбы производитель с низким качеством продукции при се сравнительно высокой стоимости обречен на провал. Поэтому, как это показано на рис. 1.4, такой бизнес заведомо является плохим. Конкурентная борьба, если она имеет место, ведется в основном за снижение цен при общем сравнительно низком качестве продукции. Производство низкокачественной продукции при ее низкой стоимости в современных условиях является устаревшим.

2. Конкуренция за счет повышения ценности (качества) продукта и соответствующей его стоимости. По мере насыщения рынка и повышения жизненного уровня населения потребитель становится более разборчивым и готов заплатить большую стоимость за более качественный продукт. Производитель вынужден повышать ценность продукта за счет применения новейших технологий, расширения ассортимента продукции, повышения качества. Если фирма традиционно имеет свою нишу на рынке, она увеличивает ценность своей продукции с увеличением ее стоимости.

Подобный путь конкурентной борьбы был характерен для мировой экономики 1960-х гг. Одновременное повышение ценности продукта и его стоимости не может обеспечить предприятию стабильную и долговременную прибыль. Будут появляться другие фирмы, которые сделают вызов, пытаясь занять традиционную нишу конкурента за счет повышения ценности и снижения стоимости, т.е. другого пути в конкурентной борьбе за потребителя нет.

Рис. 1.4. Влияние ценности и стоимости товара на рыночные возможности производителя

3. Конкуренция за потребителя в условиях насыщенного рынка. Этот путь конкурентной борьбы характерен для периода начиная с 1970-х гг. и по настоящее время. Борьба за потребителя в этот период идет за счет не только повышения ценности продукта, но и одновременного снижения его стоимости. Пионером этого пути стали японские предприятия, обеспечивающие «высокое качество по низким ценам». В этот период на мнение потребителя большое влияние оказывает имидж компании, который в настоящее время часто бывает решающим при приобретении товара.

Как показывает практика, только один из 10 неудовлетворенных потребителей вернется. В то же время, чтобы привлечь нового потребителя, производителю потребуется в 5 раз больше усилий, чем удержать уже существующего.

Успех в конкурентной борьбе в современных условиях возможен только в условиях применения системы Всеобщего менеджмента качества.

 

IV. Жаңа материалды бекіту,біліктілік пен дағдыны қалыптастыру




Поделиться с друзьями:


Дата добавления: 2014-12-07; Просмотров: 495; Нарушение авторских прав?; Мы поможем в написании вашей работы!


Нам важно ваше мнение! Был ли полезен опубликованный материал? Да | Нет



studopedia.su - Студопедия (2013 - 2026) год. Все материалы представленные на сайте исключительно с целью ознакомления читателями и не преследуют коммерческих целей или нарушение авторских прав! Последнее добавление




Генерация страницы за: 0.012 сек.