Студопедия

КАТЕГОРИИ:


Архитектура-(3434)Астрономия-(809)Биология-(7483)Биотехнологии-(1457)Военное дело-(14632)Высокие технологии-(1363)География-(913)Геология-(1438)Государство-(451)Демография-(1065)Дом-(47672)Журналистика и СМИ-(912)Изобретательство-(14524)Иностранные языки-(4268)Информатика-(17799)Искусство-(1338)История-(13644)Компьютеры-(11121)Косметика-(55)Кулинария-(373)Культура-(8427)Лингвистика-(374)Литература-(1642)Маркетинг-(23702)Математика-(16968)Машиностроение-(1700)Медицина-(12668)Менеджмент-(24684)Механика-(15423)Науковедение-(506)Образование-(11852)Охрана труда-(3308)Педагогика-(5571)Полиграфия-(1312)Политика-(7869)Право-(5454)Приборостроение-(1369)Программирование-(2801)Производство-(97182)Промышленность-(8706)Психология-(18388)Религия-(3217)Связь-(10668)Сельское хозяйство-(299)Социология-(6455)Спорт-(42831)Строительство-(4793)Торговля-(5050)Транспорт-(2929)Туризм-(1568)Физика-(3942)Философия-(17015)Финансы-(26596)Химия-(22929)Экология-(12095)Экономика-(9961)Электроника-(8441)Электротехника-(4623)Энергетика-(12629)Юриспруденция-(1492)Ядерная техника-(1748)

Гетероатомные соединения нефти




Помимо углеводородов, в нефти присутствуют и гетероатомные соединения. К гетероатомным соединениям относят органи­ческие соединения, в состав которых, кроме углерода и водоро­да, входят в больших или меньших количествах кислород, сера и азот. Несмотря на то, что по данным элементного анализа сум­марное содержание гетероатомов в нефти не велико, сами гетероорганические соединения могут доставлять до 20 % масс. от сырой нефти. Так же, как и для углей изучение состава и свойств гетероатомных соединений в нефти может помочь в определе­нии ее происхождения. Предполагают, что гетероатомные соеди­нения являются промежуточными продуктами различных пре­вращений нефти. Кислородные соединения

Кислород в нефти встречается в следующих функциональ­ных группах и соединениях: карбонильная группа (в основном кетоны), простые эфиры, сложные эфиры, фенолы, спирты ки­слоты, смолисто-асфальтеновые вещества.

 

Подавляющее количество кислород, содержится в нефти в фенолах (особенно много фенолов в смолистых нефтях), нафте­новых и алифатических кислотах.

 

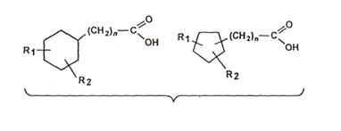
Алифатические кислоты представлены в нефтях кислотами нормального и изомерного строения, в том числе изопреноидного. Нафтеновые кислоты являются производными нафтеновых уг­леводородов — циклопентана и циклогексана. Ароматические ки­слоты являются производными бензола и полициклических аренов. Следует отметить, что в парафиновых нефтях, т. е. в нефтях богатых парафиновыми углеводородами, преобладают алифатиче­ские кислоты, а в нафтеновых — нафтеновые.

нафтеновые кислоты

 

 

Нафтеновые кислоты стараются удалить из нефти, так как они образуют соли с металлами, что ведет к разрушению аппара­туры и трубопроводов. Вместе с тем, нафтенаты щелочных ме­таллов — это деэмульгаторы нефти и используются для ее обез­воживания.

Серосодержащие соединения

Содержание сернистых соединений в нефтях колеблется в широких пределах — от следовых количеств до 7 % маcc. Насчи­тывается более 200 различных сернистых соединений, найден­ных и идентифицированных в нефтях. В основном сера в нефти содержится в виде: элементной серы, сероводорода, меркапта­нов, сульфидов (тиоэфиры) и дисульфидов (дитиоэфиры), цик­лических соединений и их гомологов.

Сера как простое вещество и в виде сероводорода содержит­ся в нефтях в растворенном состоянии. Содержание меркаптановой серы достигает 15 % масс. от ее общего содержания. Сосредо­точены меркаптаны в бензиновых фракциях. Сульфиды распро­странены в бензиновых и легроино-керосиновых фракциях, где они составляют от 50 до 80 % масс. от суммы всех сернистых со­единений, а дисульфиды — в керосино-газойлевых фракциях. На них приходится до 15 % масс. всей серы. Циклические соеди­нения — тиацикланы (циклические сульфиды), тиофен и их го­мологи — сосредоточены в керосиновых и масляных фракциях. Они составляют всего лишь несколько процентов от суммы сер­нистых соединений.

В сырой нефти сера преобладает в меркаптанах, сульфидах и дисульфидах, а после термической обработки входит в состав тя­желых продуктов переработки в основном в ароматические гете­роциклические соединения.

Сера — самый вредный элемент в нефти, так как входит в очень агрессивные соединения (сера, сероводород и меркапта­ны), приводящие к коррозии металла и ухудшающие антидето­национные свойства топлив и качество вторичных продуктов пе­реработки нефти (нефтяной кокс).




Поделиться с друзьями:


Дата добавления: 2014-12-27; Просмотров: 3607; Нарушение авторских прав?; Мы поможем в написании вашей работы!


Нам важно ваше мнение! Был ли полезен опубликованный материал? Да | Нет



studopedia.su - Студопедия (2013 - 2026) год. Все материалы представленные на сайте исключительно с целью ознакомления читателями и не преследуют коммерческих целей или нарушение авторских прав! Последнее добавление




Генерация страницы за: 0.009 сек.