Студопедия

КАТЕГОРИИ:


Архитектура-(3434)Астрономия-(809)Биология-(7483)Биотехнологии-(1457)Военное дело-(14632)Высокие технологии-(1363)География-(913)Геология-(1438)Государство-(451)Демография-(1065)Дом-(47672)Журналистика и СМИ-(912)Изобретательство-(14524)Иностранные языки-(4268)Информатика-(17799)Искусство-(1338)История-(13644)Компьютеры-(11121)Косметика-(55)Кулинария-(373)Культура-(8427)Лингвистика-(374)Литература-(1642)Маркетинг-(23702)Математика-(16968)Машиностроение-(1700)Медицина-(12668)Менеджмент-(24684)Механика-(15423)Науковедение-(506)Образование-(11852)Охрана труда-(3308)Педагогика-(5571)Полиграфия-(1312)Политика-(7869)Право-(5454)Приборостроение-(1369)Программирование-(2801)Производство-(97182)Промышленность-(8706)Психология-(18388)Религия-(3217)Связь-(10668)Сельское хозяйство-(299)Социология-(6455)Спорт-(42831)Строительство-(4793)Торговля-(5050)Транспорт-(2929)Туризм-(1568)Физика-(3942)Философия-(17015)Финансы-(26596)Химия-(22929)Экология-(12095)Экономика-(9961)Электроника-(8441)Электротехника-(4623)Энергетика-(12629)Юриспруденция-(1492)Ядерная техника-(1748)

Table of contents 5 страница




 

    балансам сельскохозяйственной продукции
      бюджетам сельскохозяйственных предприятий
      сметам сельскохозяйственных предприятий
      системе счетов

1. Средняя себестоимость изделия А по совокупности компаний снизилась на 2,8%. При этом себестоимость изделия А в компаниях снизилась в среднем на 4,1%. Индекс структурных сдвигов равен …

 

    1,014
      0,932
      0,987
      0,68
       

2. Совокупность единиц наблюдения составляет __________________ наблюдения.

 

    объект
      единицу
      время
      территорию

3. Статистическая наука включает (выберите наиболее полный ответ) …

 

    общую теорию статистики, теорию вероятностей, математическую статистику
      общую теорию статистики, социально-экономическую статистику, статистические показатели
      предмет статистики, статистические показатели, математическую статистику
      предмет статистики, статистические показатели, статистические исследования

4. Средняя себестоимость изделия А по совокупности компаний снизилась на 2,8%. При этом себестоимость изделия А в компаниях снизилась в среднем на 4,1%. Индекс структурных сдвигов равен …

 

    1,014
      0,932
      0,987
      0,68

5. Статистическая наука включает (выберите наиболее полный ответ) …

 

    общую теорию статистики, теорию вероятностей, математическую статистику
      общую теорию статистики, социально-экономическую статистику, статистические показатели
      предмет статистики, статистические показатели, математическую статистику
      предмет статистики, статистические показатели, статистические исследования

6. Сектор «Нефинансовые корпорации» получит первичные доходы в форме …

 

    валовой прибыли
      смешанного дохода
      налогов на производство
      оплаты труда

7. Статистическое наблюдение за финансовыми вложениями производится ежеквартально по данным формы статистического наблюдения …

 

    №П-2 «Сведения об инвестициях»
      №П-3 «Сведения о финансовом состоянии организации»
      №П-4 «Сведения о численности, движении и уровне оплаты труда»
      №П-1 «Сведения об объемах производства и реализации продукции (работ, услуг)»

8. Статистические величины, выражающиеся в определенных единицах измерения (килограммах, штуках, центнерах, тоннах, гектарах, литрах, метрах, кубометрах) принято называть _______________.

· натуральными
· относительными
· трудовыми
· условными

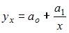
9. Связь между признаками аналитически выражается уравнением гиперболы …

 

   
     
     
     

10. Средняя величина – это …

 

    обобщенная количественная характеристика признака статистической совокупности в конкретных условиях места и времени
      последовательность изменяющихся во времени значений статистического показателя, расположенного в хронологическом порядке
      количественная характеристика социально-экономических явлений и процессов в условиях качественной определенности
      показатель, характеризующий величину изучаемого явления или процесса в определенном месте и определенном времени

11. Среднегодовая численность населения в Российской Федерации составила 145200 тыс. чел., занято в экономике 65766 тыс. чел., численность трудоспособного населения – 87329 тыс. чел., численность безработных – 6153 тыс. чел.
Численность экономически активного населения составит _______ тыс. чел.

 

     
       
       
       

12. Скорость обращения (до сотых) денежной массы составит, если
- денежная масса (М2) на начало года – 13272,1 млрд руб.;
- в том числе безналичные средства (М0) – 9569,9 млрд руб.;
- валовой внутренний продукт в текущих ценах – 13702, млрд руб.

 

    1,03
      0,97
      1,39
      1,67

13. Статья «Доход от собственности» включается в секторе «Домашние хозяйства» в счет …

 

    первичного распределения доходов
      вторичного распределения доходов
      производства
      образования доходов

14. Сумма, выплачиваемая страхователем в качестве компенсации за гарантии, предоставляемые страховой компанией, называется страховым(-ой) …

· премией
· ущербом
· резервом
· случаем

15. Совокупность единиц наблюдения составляет __________________ наблюдения.

 

    объект
      единицу
      время
      территорию

16. Средний коэффициент роста рассчитывается по формуле средней …

 

    геометрической простой
      арифметической простой
      арифметической взвешенной
      хронологической взвешенной

17. Совокупность называется __________________, если один или несколько изучаемых существенных признаков ее объектов являются общими для всех единиц.

 

    однородной
      разнородной
      типологической
      структурной

18. Среднедушевой индекс потребления i -вида продукта равен ____________, если имеются следующие данные:

 

    0,87
      1,15
      1,13
      0,88

Решение:
Индивидуальный индекс среднедушевого потребления определяется следующим образом:

где и – средняя численность населения в отчетном и базисном периодах

19. Совокупность однородных заведений, по которым производится исчисление стоимостных показателей продукции представляет собой …

 

    отрасль
      предприятие
      заведение
      классификатор

20. Среднесписочная численность работников в июле месяце составила ____ чел., если с 8 июля 2010 года ОАО «Заря» введено в действие и численность работников предприятия в июле по списку составляла:
на 08.07 – 1000 чел.;
на 09.07 – 1010 чел.;
с 12.07 по 20.09 – 1020 чел.;
с 21.07 по 27.07 – 1050 чел.;
с 28.07 по 30.07 – 1055 чел.
Выходные дни: 10, 11, 17, 18, 24, 25, 31.

 

     
       
       
       

21. Суммарная стоимость продукции растениеводства и животноводства в ценах реализации отчетного года характеризуется таким показателем, как …

 

    валовой выпуск продукции
      промежуточное потребление в сельском хозяйстве
      валовая добавленная стоимость отрасли сельского хозяйства
      валовая прибыль сельского хозяйства

22. Совокупность инструментов и процедур, способствующих денежному обращению, называют ___________ системой.

 

· платежной
· кредитной
· финансовой
· денежной 23.

Исходя из представленных в таблице данных модальный доход равен …

 

     
       
       
       

24. Связь, при которой определенному значению факторного признака соответствует одно и только одно значение результативного признака, называется …

 

    функциональной
      стохастической
      корреляционной
      прямой

1. Товар имеет стоимость 230 у.е. На момент реализации за условную денежную единицу магазином принят евро, курс которого составляет 39,6 рублей за 1 евро. Тогда цена товара составит …

 

    8096 р.
      5800 р.
      269,6 р.
      190,4 р.

2. Требуется произвести группировку с равными интервалами предприятий по стоимости основных фондов. При условии максимального значения признака 2040 млн р., а минимального его значения – 290 млн р., совокупность включает 80 единиц.
Величина интервала равна _______ млн р.

 

     
       
       
       

3. Товарные остатки магазина на 1 января составили 18 тыс.руб., на 1 февраля – 14 тыс. руб., на 1 марта – 16 тыс. руб., на 1 апреля – 20 тыс. руб. Среднемесячный товарный остаток за 1 квартал равен …

 

    16,3
      16,0
       
      15,6

1. Уровень монетизации экономики (до сотых) составит ______%, если
- денежная масса (М2) на начало года – 13272,1 млрд руб.;
- в том числе безналичные средства (М0) – 9569,9 млрд руб.;
- валовой внутренний продукт в текущих ценах – 13702,2 млрд руб.

 

· 0,97
· 1,03
· 1,39
· 1,67

2. Уровень налогоемкости валового внутреннего продукта (ВВП) определяется как …

 

    отношение величины налоговых поступлений к уровню ВВП
      отношение величины прямых налогов к косвенным
      отношение среднедушевой налоговой квоты к уровню ВВП на душу населения
      величина налоговых поступлений

3. Уровень реальных доходов населения (млрд руб.), согласно данным таблицы, составит …

 

     
       
       
       

4. Трудовые ресурсы страны – это часть населения страны, которая …

 

    фактически занята в экономике или не занята, но способна к труду по возрасту и состоянию здоровья
      фактически занята в экономике по возрасту и состоянию здоровья
      не занята, но способна к труду по возрасту и состоянию здоровья
      обеспечивает предложение рабочей силы для производства товаров и услуг

5. Уровень жизни населения подразумевает …

 

    обеспеченность населения необходимыми материальными благами и услугами
      основной результат деятельности предприятия, выраженный в производстве продуктов и услуг
      заработную плату и другие выплаты, которые работники получают за труд
      стоимость потребительской корзины

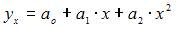
1. Формулой линейного уравнения регрессии является …

 

   
     
     
     

2. Формула доли расходов сектора государственного управления имеет вид …

 

   
     
     
     

1. Центральный банк Российской Федерации с учетом специфики различных видов операций устанавливает ставку …

 

    рефинансирования
      по государственным ценным бумагам
      по предоставлению кредитов
      депозитную

2. Целью статистики финансов предприятий и организаций является …

 

    формирование сводной информации об их финансовой деятельности
      изучение состояния и развития финансовой деятельности предприятий и организаций
      анализ дебиторской и кредиторской задолженности
      оценка финансовой устойчивости и платежеспособности предприятий

1. Часть населения страны, которая фактически занята в экономике или не занята, но способна к труду по возрасту и состоянию здоровья, называется …

 

    трудовыми ресурсами
      постоянными работниками
      трудоспособным населением
      сезонными работниками

2. Часть валового национального дохода, которая не входит в конечное потребление, называется валовым(-ой) …

 

    национальным сбережением
      прибылью экономики
      внутренним продуктом
      добавленной стоимостью

3. Чтобы определить среднемесячную численность населения за квартал по имеющимся данным о численности на 01.01, 01.02, 01.03, 01.04, применяется средняя …

 

· хронологическая
· арифметическая
· гармоническая
· геометрическая

INTRODUCTION

THE REALIST'S DILEMMA

DETECTOR RODS

PYRAMIDS

THE ENERGY WHEEL

PENDULUMS

THE HIERONYMOUS MACHINE

SYMBOLIC MACHINES

THE SYMBOLIC HIERONYMOUS MACHINE

THE WISHING MACHINE

POSTSCRIPT

BIBLIOGRAPHY


Devoted

to

Patsy and Clyde





Поделиться с друзьями:


Дата добавления: 2014-12-23; Просмотров: 968; Нарушение авторских прав?; Мы поможем в написании вашей работы!


Нам важно ваше мнение! Был ли полезен опубликованный материал? Да | Нет



studopedia.su - Студопедия (2013 - 2026) год. Все материалы представленные на сайте исключительно с целью ознакомления читателями и не преследуют коммерческих целей или нарушение авторских прав! Последнее добавление




Генерация страницы за: 0.01 сек.