Студопедия

КАТЕГОРИИ:


Архитектура-(3434)Астрономия-(809)Биология-(7483)Биотехнологии-(1457)Военное дело-(14632)Высокие технологии-(1363)География-(913)Геология-(1438)Государство-(451)Демография-(1065)Дом-(47672)Журналистика и СМИ-(912)Изобретательство-(14524)Иностранные языки-(4268)Информатика-(17799)Искусство-(1338)История-(13644)Компьютеры-(11121)Косметика-(55)Кулинария-(373)Культура-(8427)Лингвистика-(374)Литература-(1642)Маркетинг-(23702)Математика-(16968)Машиностроение-(1700)Медицина-(12668)Менеджмент-(24684)Механика-(15423)Науковедение-(506)Образование-(11852)Охрана труда-(3308)Педагогика-(5571)Полиграфия-(1312)Политика-(7869)Право-(5454)Приборостроение-(1369)Программирование-(2801)Производство-(97182)Промышленность-(8706)Психология-(18388)Религия-(3217)Связь-(10668)Сельское хозяйство-(299)Социология-(6455)Спорт-(42831)Строительство-(4793)Торговля-(5050)Транспорт-(2929)Туризм-(1568)Физика-(3942)Философия-(17015)Финансы-(26596)Химия-(22929)Экология-(12095)Экономика-(9961)Электроника-(8441)Электротехника-(4623)Энергетика-(12629)Юриспруденция-(1492)Ядерная техника-(1748)

Максимальная токовая защита нулевой последовательности




а) Схема и принцип действия защиты

Защита (рис. 8-4) состоит из пускового токового реле 1 и реле времени 2. Реле 1 включается на фильтр тока нулевой последо­вательности, в качестве которого обычно используется нулевой провод трансформаторов тока, соединенных по схеме полной звезды. Реле времени 2 создает выдержку времени, необходимую по условию селективности.

Ток в реле 1 равен сумме вторичных токов трех фаз; пренебрегая погрешностью трансформаторов тока, получаем:

Согласно (8-46) и § 3-6, б ток в пусковом реле защиты появ­ляется только в том случае, когда имеется ток I 0. Поэтому защита нулевой последовательности, показанная на рис. 8-4, может ра­ботать при однофазных и двухфазных к. з. на землю.

б) Ток небаланса

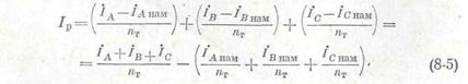
Значение I нб можно найти, если в выражении (8-46) учесть токи намагничивания трансформаторов тока; тогда

Очевидно, что второй член в выражении (8-5) является током небаланса. Обозначив его I нб и выразив первый член (8-5) через I 0, получим:

Выражение (8-6) показывает, что ток в пусковом реле защиты состоит из двух слагающих: одно обусловлено первичным током I 0 и второе — погрешностью трансформаторов тока. Последнее искажает величину тока 3 I 0, на которую реагирует защита.

Как следует из (8-5), ток небаланса равен геометрической сумме намагничивающих токов трансформаторов тока:

Сумма намагничивающих токов обычно не равна нулю. Это объясняется тем, что токи намагничивания имеют несинусоидаль­ную форму и, кроме того, различаются по величине и фазе вследствие нелиней­ности и неидентичности характеристик намагничи­вания и неравенства в ве­личине вторичных нагру­зок трансформаторов тока различных фаз.

Токи намагничивания со­стоят в основном из первой и третьей гармоник I нам1 и I нам3 [Л. 35, 23]. При трех­фазных к. з., качаниях и на­грузке токи третьей гармони­ки I нам3 фаз А, В и С практически совпадают по фазе и по­этому суммируются в нулевом проводе трансформаторов тока арифмети­чески (рис. 8-5, б).

При тех же режимах токи I нам1 сдвинуты по фазе циклически прибли­зительно на 120° и суммируются в нулевом проводе геометрически (рис. 8-5, а).

В результате этого ток небаланса состоит, так же как и ток намагничи­вания, из первой и третьей гармоник (I нб1 и I нб3).

Исследования показывают, что третьи гармоники I нам3 составляют около 20 — 40%, а первые I нам1 —80 — 60% полного тока намагничивания.

Имея кривые намагничивания трансформаторов тока Е2 = f (Iнам) и определяя вторичные э. д. с. трансформаторов тока Е2, можно приближенно оценить [Л. 10] величины намагничивающих токов, а затем I нб1 и I нб3, поль­зуясь формулами (8-8), вытекающими из диаграмм на рис. 8-5:

 

 


 

Действующее значение полного тока небаланса в нулевом проводе нахо­дится по выражению  

Значение тока I нб.макc в нулевом проводе звезды трансформа­торов тока обычно определяется при токе трехфазного к. з. в рас­четной точке, поскольку , как правило, больше, чем двухфазный ток к. з.

Для ограничения тока небаланса необхо­димо работать в ненасыщенной части характеристики намагничи­вания и иметь одинаковые токи намагничивания во всех фазах. Чтобы обеспечить эти условия, трансформаторы тока, питающие защиту, должны:

а) удовлетворять условию 10%-ной погрешности при макси­мальном значении тока трехфазного к. з. в начале следующего участка;

б) иметь идентичные (совпадающие) характеристики намаг­ничивания на всех трех фазах;

в) иметь одинаковые нагрузки вторичных цепей во всех фазах.
В неустановившихся режимах под влиянием апериодического

тока к. з. токи намагничивания, а вместе с ними и токи небаланса могут значительно возрасти, что необходимо учитывать при вы­боре параметров защит, работающих без выдержки времени.

Чтобы исключить действие защиты от т.оков небаланса, величину тока срабатывания пусковых реле защиты выбирают больше тока небаланса.

в) Уставки защиты

Время действия каждой защиты нулевой последовательности выбирается по условию селективности на ступень Δ t больше t защиты предыдущего участка. Например, у защиты 1 (рис. 8-6) t1 = t2 + Δ t. Величина Δ t выбирается согласно (4-9). Выбирая выдержку времени на защите реагирующей на 3 I 0, необходимо учитывать, что эта защита может не действовать при к. з. за трансформатором, если при этом в рассматриваемой защите ток 3 I 0 = 0. Как уже отмечалось, при замыканиях на землю в сети одного напряжения появление тока I 0 в сети другого напряжения зависит от соединения обмоток трансформатора, связывающего эти сети, и заземления нейтралей в этих сетях.

Если сети высшего и низшего напряжений связаны между собой через трансформатор ТЗ с соединением обмоток λ/Δ или λ/λ, то защита нулевой последовательности 3, установленная на трансформаторе ТЗ, может быть мгновенной, поскольку она не действует при к. з. и замыканиях на землю на стороне низшего напряжения. В результате этого выдержки времени (t2 и t1) осталь­ных защит нулевой последовательности существенно уменьшаются и получаются меньше, чем t' у защит от междуфазных к. з., реагирующих на фазный ток (рис. 8-6). Это объясняется тем, что послед­ние действуют при к. з. за трансформатором, вследствие чего их приходится согласовывать по времени с защитами на стороне низшего напряжения трансформаторов (рис. 8-6). Если же связь между сетями разного напряжения осуществляется через авто­трансформатор ТЗ или трансформатор с соединением обмоток λ/λ, имеющим заземленные нейтрали, то, как показано на рис. 8-2, при замыкании на землю в сети одного напряжения ток I 0появ­ляется в обеих сетях. В этом случае выдержки времени защиты нулевой последовательности сети одного напряжения должны согласовываться с защи­тами сети другого на­пряжения.

В этих условиях за­щита 3, работающая в предыдущем случае без выдержки времени (t3 = 0), будет иметь те­перь t3 = t4 + Δ t, т. е. время действия защит, реагирующих на ток I 0, увеличивается и полу­чается равным времени действия максимальных защит, реагирующих на фазный ток.

Ток срабатывания пусковых реле макси­мальной защиты нулевой последовательности выбирается: 1) из условия надежного действия защиты при к. з. в конце следующего (второго) участка и 2) из условия отстройки, от токов небаланса.

По первому условию I с.з> 3 IOK мин, а по второму I с.з> I нб.макс. Определяющим является второе условие

I с.з= k Н I нб.макс (8-9)

где kН = 1,3 ÷ 1,5. Ток I нб.макс рассчитывается для нормального режима или для режима к. з. в зависимости от выдержки времени защиты. Если выдержка времени t0 защиты нулевой последовательности превышает время действия tм.ф защит от междуфазных к. з., установленных на следующем участке, то I с.ззащиты нулевой последовательности отстраивается только от небалансов в нормальном режиме, поскольку междуфазные повреждения отключаются быстрее, чем может подействовать защита нулевой последовательности.

Ток небаланса в нормальном режиме I нб(н) обычно определяется измерением. У трансформаторов тока с I 2НОМ = 5 А его значение колеблется от 0,01 до 0,2 А. Поэтому ток срабатывания по второму условию можно выбрать очень маленьким: примерно 0,5 — 1 а вторичных (или 10—20% от IНОМ трансформаторов тока).

Если t0 < tм.ф, то защиту нужно отстраивать от небаланса I нб(к) при трехфазных к. з. в начале следующего участка. От­стройка ведется от максимального I нб(к) при установившемся режиме, поскольку защита действует с выдержкой времени 0,5 с и больше. По данным опыта эксплуатации при правильно выбран­ных трансформаторах тока и их равномерной загрузке ток сраба­тывания можно выбрать в зависимости от значения кратности тока к. з. 2—4 А (вторичного тока).

Установившийся ток небаланса при к. з., необходимый для определения I с.з, должен находиться по выражению (8-8) и (8-8а).

Если трансформаторы тока работают в прямолинейной части характеристики, то тогда третьи гармоники в I нам малы. В этом случае можно пренебречь составляющей I нб3 рассчитывая ток небаланса по выражению (8-7):

 


где kодн в зависимости от идентичности характеристик и нагрузок трансформаторов тока выбирается от 0,5—1; fi — погрешность трансформаторов тока, при подборе их по кривым предельной кратности принимается равным 0,1;

— максимальное значение тока трехфазного к. з. при повреждении в начале следующего участка.

Следует иметь в виду, что формула (8-10) дает приближенные результаты, что учитывается при выборе значения kН в (8-9).

Чувствительность защиты характеризуется коэффициентом чувствительности

где I 0мин — минимальный ток нулевой последовательности при однофазном или двухфазном к. з. на землю в конце второго участка. Надежность считается достаточной при kч ≥1,5.

Если в сети, где установлена защита, возможна работа какой-либо линии на двух фазах (например, во время действия ОАПВ), то ток срабатыва­ния защиты нужно дополнительно отстроить от токов нулевой последователь­ности 3/0, появляющихся в указанном режиме, или принять выдержки вре­мени защиты больше tОАПВ.




Поделиться с друзьями:


Дата добавления: 2014-12-23; Просмотров: 2026; Нарушение авторских прав?; Мы поможем в написании вашей работы!


Нам важно ваше мнение! Был ли полезен опубликованный материал? Да | Нет



studopedia.su - Студопедия (2013 - 2025) год. Все материалы представленные на сайте исключительно с целью ознакомления читателями и не преследуют коммерческих целей или нарушение авторских прав! Последнее добавление




Генерация страницы за: 0.011 сек.