Студопедия

КАТЕГОРИИ:


Архитектура-(3434)Астрономия-(809)Биология-(7483)Биотехнологии-(1457)Военное дело-(14632)Высокие технологии-(1363)География-(913)Геология-(1438)Государство-(451)Демография-(1065)Дом-(47672)Журналистика и СМИ-(912)Изобретательство-(14524)Иностранные языки-(4268)Информатика-(17799)Искусство-(1338)История-(13644)Компьютеры-(11121)Косметика-(55)Кулинария-(373)Культура-(8427)Лингвистика-(374)Литература-(1642)Маркетинг-(23702)Математика-(16968)Машиностроение-(1700)Медицина-(12668)Менеджмент-(24684)Механика-(15423)Науковедение-(506)Образование-(11852)Охрана труда-(3308)Педагогика-(5571)Полиграфия-(1312)Политика-(7869)Право-(5454)Приборостроение-(1369)Программирование-(2801)Производство-(97182)Промышленность-(8706)Психология-(18388)Религия-(3217)Связь-(10668)Сельское хозяйство-(299)Социология-(6455)Спорт-(42831)Строительство-(4793)Торговля-(5050)Транспорт-(2929)Туризм-(1568)Физика-(3942)Философия-(17015)Финансы-(26596)Химия-(22929)Экология-(12095)Экономика-(9961)Электроника-(8441)Электротехника-(4623)Энергетика-(12629)Юриспруденция-(1492)Ядерная техника-(1748)

Загальні відомості




Вихідні дані

Варіант виконання №25

Варіант антени – Симетричний диполь з круглих провідників діаметром 14мм

Резонансна частота ,МГц 17

Діапазон робочих частот , МГц 10-30

Потужність що підводиться ,кВт 4

Протяжність радіо траси, км 2700

Змн.
Арк.
№ докум.
Підпис
Дата
Арк.
 
 


Антени – радіотехнічні пристрої, призначені для перетворення енергії зв’язаних електромагнітних коливань (замкнених в електричних колах) в енергію вільних електромагнітних коливань (випромінених в простір) і навпаки. Випромінювання у вільний простір обумовлене неекранованими коливаннями напруженості електричного і пов’язаного з ним магнітного полів, створених коливаннями електричного заряду. При поглинанні (прийманні) електромагнітних хвиль процеси мають зворотний характер.

Вібратор – випромінювач (збирач) електромагнітної енергії у вигляді відрізка дроту, довжина якого є спів розмірною з довжиною хвилі. У більш широкому розумінні - це випромінювач електричного або магнітного типу (штир, щілина).

Змн.
Арк.
№ докум.
Підпис
Дата
Арк.
 
 

Поширення набули півхвильові симетричні одно вібраторні антени завдяки відсутності бічних пелюсток діаграми напрямленості та простоті конструкції.

Симетричним вібратором називають прямолінійний стержень (провід), у якого струми в перерізах, що знаходяться на однакових відстанях від середини стержня, рівні по величині і по фазі. Для виконання цієї умови необхідно, щоб вібратор був симетричний відносно площини, що проходить через його середину перпендикулярно його осі, симетричні ділянки знаходились в однакових умовах відносно маси, і вібратор збуджувався симетрично.

ДН тонкого проводу довжиною 2l розташованого вздовж осі z може бути визначена за допомогою слідкуючої формули:

(1)

де - функція,що описує розподіл амплітуди струму вздовж проводу.

З (1) слідує, що ДН залежить від кута і не залежить від кута , тобто поле випромінювання симетрично відносно осі проводу.

Для симетричних вібраторів розподіл струму достатньо точно описується формулою

(2)

де - струм в пучності; - довжина плеча вібратора, а початок координат розташований в центрі вібратора.

Вид функції розподілу струму залежить від відношення довжини вібратора до довжини хвилі .

Амплітуда поля симетричного вібратора в вільному просторі, В/м, рівна:

(3)

а ДН описується формулою

(4)

де А – нормуючий множник.

Просторові ДН отримуються шляхом обертання зображених

Змн.
Арк.
№ докум.
Підпис
Дата
Арк.
 
 
кривих навколо осі вібратора.

Більше розповсюдження отримали півхвилоьві вібратори . Для них

(5)

Діюча довжина симетричного вібратора з синусоїдальним розподілом струму, віднесена до струму на його клемах, на основі формули

(6)

рівна

(7)

Для півхвильового вібратора

(8)

Опір випромінювання дуже тонкого симетричного вібратора, віднесеного до струму в пучності, не залежить від діаметра проводу вібратора і рівний

Змн.
Арк.
№ докум.
Підпис
Дата
Арк.
 
 
(9)

де - постійна Ейлера, а

– інтегральний синус

– інтегральний косинус

Крім активного опору випромінювання вібратор володіє реактивним опором, який залежить як від довжини, так і від діаметра вібратора:

(10)

Графік залежності від відносної довжини вібратора показує, що для півхвильового вібратора , а для хвильового . Наприклад, вхідний опір тонкого півхвильового вібратора рівний:

(11)


КНД симетричних вібраторів може бути вирахувана з допомогою наступного виразу

(12)

Діаграма напрямленості вертикальної антени у випадку ідеальної і реальної землі суттєво відрізняється (рис. 1.):

 

Рис. 1.


Діаграми напрямленності горизонтально

Змн.
Арк.
№ докум.
Підпис
Дата
Арк.
 
 
ї антени у вертикальній площині у випадку ідеальної землі зображені на рис. 2.


Рис. 2.

Як видно з діаграм горизонтальної антени з придатний для зв’язку з відбиванням від іоносфери на близькі відстані. Для середніх відстаней висота і для роботи іоносферною хвилею на далекі відстані треба взяти .

Для практичних розрахунків антен довільної довжини можна використати графік (рис. 3).

 

 

Рис. 3

Змн.
Арк.
№ докум.
Підпис
Дата
Арк.
 
 
Активну складову вхідного опору симетричної антени можна знайти наступним чином:

, (13)

. (14)

Після підстановки значення струму IA в точках живлення симетричного вібратора для z = 0 одержується:

 

, (15)

. (16)

Зауваження: При l = l/2 одержується некоректний результат стосовно вхідного опору хвильового вібратора (RA = ¥). Даний вираз отримано для синусоїдного розподілу струму в антені, що не зовсім правильно. Отже, формулу можна використовувати для наближених обчислень при l <l/2.

Для півхвильового вібратора (l = l/4) активна частина вхідного опору становить:

Ом. (17)

Для короткого симетричного вібратора шляхом підстановки одержується спрощений вираз для розрахунку вхідного опору:

. (18)

Аналіз цього виразу показує, що, враховуючи реальні значення опору втрат, дуже коротка в порівнянні з l антена не може працювати ефективно.

Знання величини опору випромінювання та діючої висоти достатнє для визначення коефіцієнта напрямленої дії антени:

 

. (19)

Змн.
Арк.
№ докум.
Підпис
Дата
Арк.
 
 
При роботі в широкому діапазоні частот складові вхідного опору симетричної антени, обчислені за формулами, змінюються так, як показано на рис. 4.1 а, б. Характер повного вхідного опору антени в залежності від l /l показано умовно еквівалентними ланками з R, L, C елементів.

При деяких значеннях l /l реактивна складова повного вхідного опору XА = 0. Ці відносні довжини відповідають резонансним хвилям антени. Найдовшу з резонансних хвиль (найнижчу резонансну частоту) називають основною або першою гармонікою. Для тонкого симетричного вібратора 1-й резонанс наступає при l =l/4 (півхвильовий вібратор). Тобто основна хвиля півхвильового вібратора lосн = 4 l. При роботі на такій хвилі реактивна складова вхідного опору XA = 0, а активна складова опору RA низька і складає 73,1 Ом. Умовно кажуть, що півхвильовий вібратор потрібно живити струмом.

Наступний резонанс наступає при відносній довжині плеча вібратора l =l/2. При цьому вхідний опір вібратора високий і істотною мірою залежить від його хвильового опору. Умовно кажуть, що в такому разі потрібно живити антену напругою.

Як видно з графіка, зі зменшенням хвильового опору швидкість зростання реактивної складової вхідного опору при відхиленні від резонансних частот знижується. Отже, простіше узгодити фідер з антеною в широкому діапазоні частот, якщо антена “товста”, оскільки при цьому зменшується її хвильовий опір.

 

Змн.
Арк.
№ докум.
Підпис
Дата
Арк.
 
 

Рис. 4

Досліди і теорія показують, що вхідний опір точно півхвильової антени не є суто активним, як випливає з наближених формул, і насправді для тонкого вібратора становить:

Ом. (20)

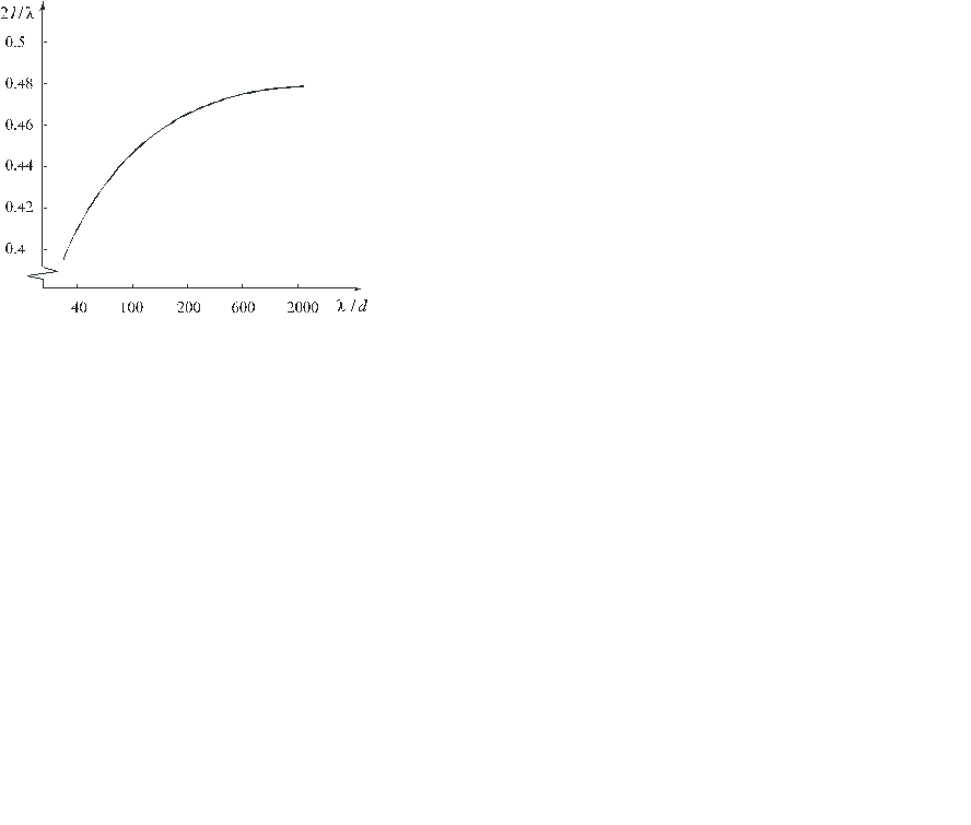
Для того, щоб вхідний опір вібратора став суто активним, його необхідно дещо вкоротити в порівнянні з півхвильовим. Потрібне вкорочення залежить від відносної товщини вібратора l/d, де d - діаметр провідника вібратора (рис. 5).

Вкорочення однохвильового вібратора для зведення реактивної складової його вхідного опору до нуля повинно бути більшим, ніж півхвильового.

 

Змн.
Арк.
№ докум.
Підпис
Дата
Арк.
 
 

Рис 5.

Антенним фідером називається пристрій для передачі високочастотної енергії від передавача до антени, або від антени до приймача. Вимоги, що висуваються до фідера:

1) Мінімальні втрати енергії високочастотних коливань на нагрів провідників й діелектриків, а також на випромінювання.

2) Відсутність антенного ефекту, тобто сам фідер не має випромінювати та приймати електромагнітні хвилі.

3) Відсутність впливу на частоту настройки вихідного контура передавача, або вхідного контура приймача.

4) Можливість передачі заданої потужності високочастотних коливань.

5) Стабільність електричних параметрів і механічна надійність.

Меншим антенним ефектом володіють двопровідні лінії (рис. 6). Мідні або біметалеві провідники двопровідної лінії діапазону декаметрових хвиль вибираються діаметром 3-6 мм і розташовуються на відстані 20-40 см. Хвильовий опір двопровідного фідера становить:

. (21)

 

 

Рис. 7
Рис. 6
Змн.
Арк.
№ докум.
Підпис
Дата
Арк.
 
 

 

Чотирипровідна лінія пониженого хвильового опору, поперечний переріз якої показано на рис. 7, складається зі з’єднаних попарно чотирьох провідників. Її хвильовий опір можна обчислити за формулою:

. (22)

Незначним антенним ефектом володіє чотирипровідна лінія з діагонально з’єднаними провідниками (рис. 8). При розташуванні провідників лінії у вершинах квадрата її хвильовий опір становить:

 

(23)

 

Рис. 9
Рис. 8

 

Екранований фідер у вигляді лінії концентричного типу (коаксіальний кабель) практично вільний від антенного ефекту, захищений від атмосферних впливів і зручний для монтажу. Поперечний переріз коаксіальної лінії показано на рис. 8, а її хвильовий опір розраховується за формулою (24):

. (24)

 

Змн.
Арк.
№ докум.
Підпис
Дата
Арк.
 
 
В останньому виразі k - коефіцієнт вкорочення хвилі. За визначенням k=l0/l, де l0 - довжина хвилі у вакуумі, l - довжина хвилі у фідері. Коефіцієнт вкорочення хвилі для коаксіального фідера залежить від відносної діелектричної проникності e ізоляції і коефіцієнта заповнення ізоляцією простору між провідниками фідера А:

 

. (25)

 

Для кабеля із суцільною ізоляцією А=1 і тому . Вкорочення довжини хвилі є наслідком її меншої швидкості розповсюдження в кабелі у порівнянні з вільним простором: v=c/k

Для практики корисно нагадати наступні співвідношення:

 

, , . (26)

 

Втрати енергії у фідері залежать не тільки від його конструкціїї, але й від електричного режиму роботи. Нехай фідер довжиною l працює в режимі біжучої хвилі. Режим біжучої хвилі реалізується за умови, що хвильовий опір лінії рівний активному вхідному опору антени (r = RА), а реактивний опір антени дорівнює нулю (XА = 0). При цьому в ідеальній лінії без втрат енергії амплітудне значення високочастотної напруги між провідниками лінії залишається незмінним по всій її довжині (рис. 10, крива 1).

 

Рис. 10
Змн.
Арк.
№ докум.
Підпис
Дата
Арк.
 
 

 

В реальній лінії з втратами амплітуди високочастотної напруги та струму дещо зменшуються при поширенні біжучої хвилі від генератора до навантаження (рис. 10.6, крива 2). Амплітуди струмів та напруг на початку і в кінці лінії зв’язані залежностями:

, . (27)

 

У даному виразі a - коефіцієнт згасання (затухання) хвилі у фідері, який виражається в неперах на одиницю довжини фідера (1 Нп = 8,7 дБ). Потужності радіосигналу на вході і виході лінії можна представити:

 

, . (28)

 

Звідcи коефіцієнт корисної дії фідера, що працює в режимі біжучої хвилі, становить:

 

. (29)

 

Теоретично наближене значення коефіцієнта згасання можна знайти за формулою:

. (30)

 

Змн.
Арк.
№ докум.
Підпис
Дата
Арк.
 
 
Тут R - питомий опір провідників лінії, а G - питома провідність ізоляції між провідниками лінії.

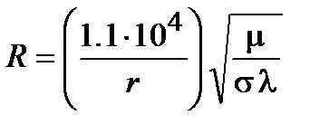
Для двопровідної повітряної лінії другий доданок у виразі (30) можна вважати таким, що дорівнює нулю. Питомий опір провідників лінії, з врахуванням скін-ефекту, визначається:

 

. (31)

Тут r - радіус провідників (мм), m - відносна магнітна проникність провідників лінії, s - електропровідність матеріалу провідників (См/м), l - довжина електромагнітної хвилі (м).

Точний розрахунок коефіцієнта згасання a для різних ліній досить складний. Цей параметр, як один з найважливіших, надається виробниками фідерів. Параметри деяких коаксіальних фідерів для режиму біжучої хвилі наведені в таблиці 1.

 

Таблиця 3

Марка r, Ом k a, дБ/м на f=50 МГц U роб., кВ
РК – 75 – 4 – 15   1.5 0.08 2.5
РК – 50 – 9 – 12   1.5 0.05 5.0
RG – 58 / U   1.5 0.1 -
RG – 213 / U   1.5 0.05 -

 

Якщо антена не узгоджена з фідером за опором (r ¹ RА, XА ¹ 0), то останній працює в режимі змішаних хвиль. Режим змішаних хвиль характеризується коефіцієнтом стоячої хвилі (КСХ). Стояча хвиля утворюється при взаємодії падаючої та відбитої від навантаження (антени) хвиль.

Змн.
Арк.
№ докум.
Підпис
Дата
Арк.
 
 
Максимуми напруги стоячої хвилі (Umax = Uпад + Uвід) утворюються в тих перетинах лінії, де фази падаючої і відбитої хвилі збігаються, в той час як мінімуми (Umin = Uпад - Uвід) - в тих перетинах, де фази протилежні. Важливо пам’ятати, що довжина стоячої хвилі в лінії вдвічі менша від довжини падаючої та відбитої хвиль.

 





Поделиться с друзьями:


Дата добавления: 2014-12-24; Просмотров: 1052; Нарушение авторских прав?; Мы поможем в написании вашей работы!


Нам важно ваше мнение! Был ли полезен опубликованный материал? Да | Нет



studopedia.su - Студопедия (2013 - 2026) год. Все материалы представленные на сайте исключительно с целью ознакомления читателями и не преследуют коммерческих целей или нарушение авторских прав! Последнее добавление




Генерация страницы за: 0.014 сек.