Студопедия

КАТЕГОРИИ:


Архитектура-(3434)Астрономия-(809)Биология-(7483)Биотехнологии-(1457)Военное дело-(14632)Высокие технологии-(1363)География-(913)Геология-(1438)Государство-(451)Демография-(1065)Дом-(47672)Журналистика и СМИ-(912)Изобретательство-(14524)Иностранные языки-(4268)Информатика-(17799)Искусство-(1338)История-(13644)Компьютеры-(11121)Косметика-(55)Кулинария-(373)Культура-(8427)Лингвистика-(374)Литература-(1642)Маркетинг-(23702)Математика-(16968)Машиностроение-(1700)Медицина-(12668)Менеджмент-(24684)Механика-(15423)Науковедение-(506)Образование-(11852)Охрана труда-(3308)Педагогика-(5571)Полиграфия-(1312)Политика-(7869)Право-(5454)Приборостроение-(1369)Программирование-(2801)Производство-(97182)Промышленность-(8706)Психология-(18388)Религия-(3217)Связь-(10668)Сельское хозяйство-(299)Социология-(6455)Спорт-(42831)Строительство-(4793)Торговля-(5050)Транспорт-(2929)Туризм-(1568)Физика-(3942)Философия-(17015)Финансы-(26596)Химия-(22929)Экология-(12095)Экономика-(9961)Электроника-(8441)Электротехника-(4623)Энергетика-(12629)Юриспруденция-(1492)Ядерная техника-(1748)

Решение. Пример решения задачи 6




Решение.

Пример решения задачи 6.

1. Имеются следующие данные об остатках материалов на складе предприятия (тыс.руб.):

на 1 января на 1 февраля. на 1 марта на 1 апреля
       

Требуется определить среднемесячный остаток материалов на складе за 1 квартал.

По условию задачи имеем моментный ряд динамики с равными интервалами, поэтому средний уровень ряда исчисляется по формуле средней хронологической простой:

Среднемесячный остаток материалов на складе за 1 квартал составил 450 тыс.руб.

 

2. Имеются следующие данные о товарных запасах розничного торгового предприятия (тыс.руб.)

на 01.01.2007г – 61,1

на 01.05.2007г – 57,5

на 01.08.2007г – 51,3

на 01.01.2008г – 61,1

Вычислить среднегодовой запас розничного торгового предприятия за 2007г.

Для моментного ряда динамики с неравными интервалами средний уровень ряда исчисляется по формуле средней хронологической взвешенной:

,

где – средние уровни в интервале между датами;

– величина интервала времени (число месяцев между моментами времени).

В нашем примере число месяцев между моментами времени составило соответственно 4,3,5.

Итак, средний уровень товарных запасов равен:

Задачи 7-8 охватывают один из наиболее сложных разделов теории статистики. Индексный метод анализа является одним из основных методов статистического изучения социально-экономических явлений. При выполнении заданий по этой теме необходимо понять сущность индексов (индивидуального и общего). Общие индексы могут исчисляться в агрегатной форме и как средние индексы (в среднеарифметической и среднегармонической форме). Выбор формы индексов зависит от имеющихся исходных данных задачи.

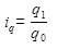
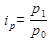
Индивидуальные индексы рассчитываются следующим образом:

- индивидуальные индексы цены: ;

- индивидуальные индексы физического объёма; .

Общие индексы в агрегатной форме:

- индекс цен

- индекс физического объёма

- индекс стоимости (товарооборота)

Разность числителя и знаменателя индекса цен показывает дополнительные расходы населения при увеличении цен на товары и услуги или экономию у населения денежных средств в случае снижения цен.

Индекс физического объёма может быть представлен в средней арифметической форме:

Индекс цен может быть вычислен по средней гармонической формуле:

 

 

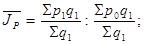
Индексный метод анализа позволяет также изучить динамику средней величины качественного показателя. Относительное изменение средней величины такого показателя (например, цены) называют индексом переменного состава:

Этот индекс отражает влияние двух факторов:

1) изменение индексируемого показателя у отдельных объектов (частей совокупности);

2) изменение удельного веса этих частей в общей совокупности (структурные сдвиги).

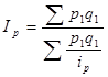
Влияние первого фактора определяется с помощью индексов постоянного (фиксированного) состава:

 

Влияние второго фактора – с помощью индекса влияния структурных сдвигов:

 

При вычислении индексов можно использовать системы взаимосвязанных индексов

1) товарооборота:

2) переменного состава, постоянного (фиксированного) состава и структурных сдвигов:

На основе этих систем по двум известным индексам исчисляется третий (неизвестный) индекс и выполняется факторный анализ изменений товарооборота (1) и среднего показателя (2).




Поделиться с друзьями:


Дата добавления: 2014-12-24; Просмотров: 3690; Нарушение авторских прав?; Мы поможем в написании вашей работы!


Нам важно ваше мнение! Был ли полезен опубликованный материал? Да | Нет



studopedia.su - Студопедия (2013 - 2026) год. Все материалы представленные на сайте исключительно с целью ознакомления читателями и не преследуют коммерческих целей или нарушение авторских прав! Последнее добавление




Генерация страницы за: 0.01 сек.