Студопедия

КАТЕГОРИИ:


Архитектура-(3434)Астрономия-(809)Биология-(7483)Биотехнологии-(1457)Военное дело-(14632)Высокие технологии-(1363)География-(913)Геология-(1438)Государство-(451)Демография-(1065)Дом-(47672)Журналистика и СМИ-(912)Изобретательство-(14524)Иностранные языки-(4268)Информатика-(17799)Искусство-(1338)История-(13644)Компьютеры-(11121)Косметика-(55)Кулинария-(373)Культура-(8427)Лингвистика-(374)Литература-(1642)Маркетинг-(23702)Математика-(16968)Машиностроение-(1700)Медицина-(12668)Менеджмент-(24684)Механика-(15423)Науковедение-(506)Образование-(11852)Охрана труда-(3308)Педагогика-(5571)Полиграфия-(1312)Политика-(7869)Право-(5454)Приборостроение-(1369)Программирование-(2801)Производство-(97182)Промышленность-(8706)Психология-(18388)Религия-(3217)Связь-(10668)Сельское хозяйство-(299)Социология-(6455)Спорт-(42831)Строительство-(4793)Торговля-(5050)Транспорт-(2929)Туризм-(1568)Физика-(3942)Философия-(17015)Финансы-(26596)Химия-(22929)Экология-(12095)Экономика-(9961)Электроника-(8441)Электротехника-(4623)Энергетика-(12629)Юриспруденция-(1492)Ядерная техника-(1748)

Проектирование типовых узлов 2 страница




Взаємозв’язок індивідуальних значень ознаки та середньої – це діалектична єдність загального і окремого. Замінюючи множину індивідуальних значень, середня не змінює визначальної властивості сукупності – загального обсягу явища. Зв’язок визначальної властивості з елементами сукупності описується функцією f (x 1, x 2,... xn), яка виражає певну математичну дію над емпіричними значеннями ознаки (підсумовування, множення, степенювання, коренювання) і визначає вид середньої. Так, у разі підсумовування значень ознаки визначальну властивість забезпечує середня арифметична, при множенні – середня геометрична і т. д.

Отже, при обчисленні середніх у соціально-економічних дослідженнях необхідно чітко усвідомити визначальну властивість сукупності та логіко-математичну суть – логічну формулу – показника.

Чисельник логічної формули середньої являє собою обсяг значень (визначальну властивість) ознаки, що варіює, а знаменник – обсяг сукупності. Як правило, визначальна властивість – це реальна абсолютна чи відносна величина, яка має самостійне значення в аналізі. У кожному конкретному випадку для реалізації логічної формули використовується певний вид середньої, зокрема:

а) середня арифметична;

б) середня гармонічна;

в) середня геометрична;

г) середня квадратична і т. д.

Залежно від характеру первинної інформації середня будь-якого виду може бути простою чи зваженою. Позначається середня символом (риска над символом означає осереднення індивідуальних значень) і вимірюється в тих самих одиницях, що й ознака.

Середня арифметична

Оскільки для більшості соціально-економічних явищ характерна адитивність обсягів, то найпоширенішою є арифметична середня, яка обчислюється діленням загального обсягу значень ознаки на обсяг сукупності. За первинними, незгрупованими даними обчислюється середня арифметична проста:

Моментні показники замінюються середніми як півсума значень на початок і кінець періоду. Якщо моментів більш ніж два, а інтервали часу між ними рівні, то в чисельнику до півсуми крайніх значень додають усі проміжні, а знаменником є число інтервалів, яке на одиницю менше від числа значень ознаки. Таку формулу називають середньою хронологічною:

У великих за обсягом сукупностях окремі значення ознаки (варіанти) можуть повторюватись. У такому разі їх можна об’єднати в групи (j = 1, 2,..., m), а обсяг значень ознаки визначити як суму добутків варіант хj на відповідні їм частоти fj, тобто як . Такий процес множення у статистиці називають зважуванням, а число елементів сукупності з однаковими варіантами – вагами. Сама назва «ваги» відбиває факт різновагомості окремих варіант. Значення ознаки осереднюються за формулою середньої арифметичної зваженої:

Вагами можуть бути частоти або частки (відносні величини структури), іноді інші величини (абсолютні показники).

Формально між середньою арифметичною простою і середньою арифметичною зваженою немає принципових відмінностей. Адже багаторазове (f раз) підсумовування значень однієї варіанти замінюється множенням варіант х на вагу f. Проте функціонально середня зважена більш навантажена, оскільки враховує поширеність, повторюваність кожної варіанти і певною мірою відображує склад сукупності. Значення середньої зваженої залежить не лише від значень варіант, а й від структури сукупності. Чим більшу вагу мають малі значення ознаки, тим менша середня, і навпаки.

У структурованій сукупності при розрахунку середньої зваженої варіантами можуть бути як окремі значення ознаки, так і групові середні , кожна з яких має відповідну вагу у вигляді групових частот fj:

Обчислену так середню на відміну від групових називають загальною.

Як приклад використаємо групові середні альтернативної ознаки, яка набуває взаємовиключних значень 1 або 0. Відповідні цим значенням частоти f 1 та f 0. Очевидно, середня такої ознаки є часткою d 1:

Середня арифметична має певні властивості, які розкривають її суть:

1. Алгебраїчна сума відхилень окремих варіант ознаки від середньої дорівнює нулю:

тобто в середній взаємно компенсуються додатні та від’ємні відхилення окремих варіант.

2. Сума квадратів відхилень окремих варіант ознаки від серед­ньої менша, ніж від будь-якої іншої величини:

3. Якщо всі варіанти збільшити (зменшити) на одну й ту саму величину А або в А раз, то й середня зміниться аналогічно.

Ця властивість найвиразніше ілюструється на прикладі ознак порядкової (рангової) шкали, для якої використовуються різні варіанти оцифрування. Так, окремим пунктам 3-бальної шкали можна надати значень 1, 2, 3 або –1, 0, 1. Очевидно, розраховані для цих варіант оцифрування середньозважений та середній центрований бали відрізнятимуться на величину А =2.

Аналітичні можливості центрованого середнього балу ширші, ніж середньозваженого. Центрований бал може бути додатною чи від’ємною величиною. Знак свідчить про позитивну чи негативну оцінку явища. За допомогою центрованого балу можна порівняти оцінки різних явищ незалежно від розмірності шкали. Для такого порівняння можна скористатися формулою переходу від середньозваженого до центрованого балу:

4. Значення середньої залежить не від абсолютних значень ваг, а від пропорцій між ними. При пропорційній зміні всіх ваг середня не зміниться. Згідно з цією властивістю замість абсолютних ваг – частот fj – можна використати відносні ваги у вигляді часток або процентів:

.

Середня гармонічна

При розрахунку середньої з обернених показників використовують середню гармонічну. Формула середньої гармонічної зваженої:

,

де Zj = xj fj – обсяг значень ознаки.

У разі, коли осереднювана ознака є відношенням між логічно пов’язаними величинами (наприклад, відносна величина інтенсивності, структури тощо), постає питання про вибір виду середньої. Основою вибору є логічна формула показника.

Отже, формула середньої – це лише математична модель логічної формули показника. Основний методологічний принцип вибору виду середньої – забезпечити логіко-змістовну суть показника. Формально цей принцип можна записати так:

Показники Прямі Обернені
Первинні Проста арифметична Проста гармонічна
Похідні Зважена Зважена гармонічна

Розрахувати середню можна і в тому разі, коли окремі значення варіант не реєструються, а відомі лише підсумки.

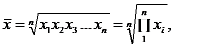
Середня геометрична

Якщо визначальна властивість сукупності формується як добуток індивідуальних значень ознаки, використовується середня геометрична:

де П – символ добутку; xі – відносні величини динаміки, виражені кратним відношенням j -го значення показника до попереднього (j –1)-го.

Коли часові інтервали не однакові, розрахунок виконують за формулою середньої геометричної зваженої:

,

де nj – часовий інтервал, , m – кількість інтервалів.

Головною сферою застосування середньої квадратичної є вимірювання варіації.

Середні величини як узагальнені показники характеризують сукупність за варіаційною ознакою, вказують на їх типовий рівень у розрахунку на одиницю однорідної сукупності. Проте середня величина не пояснює, як групуються навколо неї окремі значення; чи лежать вони поблизу, чи, навпаки, істотно відхиляються від середньої. Коливання окремих значень варіантів характеризують показники варіації. Термін «варіація» походить від латинського «Vагіаtiо» – зміна, коливання, різниця. У статистиці під варіацією розуміють кількісні зміни ознаки в межах однорідної сукупності. У статистиці розроблено цілу систему показників варіації, які використовують для всебічної характеристики рядів розподілу і їх можна виражати як в абсолютних, так і відносних величинах.

У системі показників варіації найпростішим є показник розмаху варіації, який визначають як різницю між найбільшим і найменшим значенням варіантів:

.

В інтервальних рядах розподілу розмах варіації визначають як різницю між верхньою межею останнього та нижньою межею першого або як різницю між серединами інтервалів. Перевагою показника розмаху варіації є простота його розрахунку. Однак він не може повною мірою охарактеризувати варіацію ознаки, оскільки не враховує всіх значень ознаки, проміжних між максимальним та мінімальним значеннями. Не враховує він і частот. Особливість показника розмаху варіації полягає у тому, що він залежить лише від двох крайніх значень ознаки, які можуть виявитися не достатньо типовими. Розмах варіації відображає інколи випадкове, а не типове для даного ряду коливання. Зазначені недоліки розмаху варіації звужують область його практичного застосування. В основному він використовується для попередньої оцінки варіації. Тому необхідні інші показники варіації, які ґрунтуються на всіх значеннях ознаки в даній сукупності.

Більш досконалим показником вимірювання варіації є середнє лінійне та середнє квадратичне відхилення, які усувають зазначені недоліки розмаху варіації.

Середнє лінійне відхилення являє собою середню арифметичну з абсолютних значень відхилень окремих варіант від середньої арифметичної:

(просте);

(зважене).

Прямі дужки означають, що абсолютні значення відхилень беруться по модулю, тобто підсумовування виконується без врахування знаків (плюс або мінус). Така умовність пояснюється тим, що оскільки сума відхилень індивідуальних значень ознаки від середньої в першому ступені дорівнює нулю (нульова властивість середньої арифметичної),то для одержання суми всіх відхилень, відмінної від нуля, кожне відхилення слід брати як додатну величину.

Показник середнього лінійного відхилення більш обґрунтований порівняно з розмахом варіації. Він не залежить від випадкових коливань крайніх значень, оскільки спирається на всі значення ознаки, враховує всю суму відхилень індивідуальних варіантів від середньої арифметичної та частоти.

Однак і цей показник варіації має суттєві недоліки. В ньому не враховуються знаки (спрямованість) відхилень. Довільне відкидання алгебраїчних знаків відхилень призводить до того, що математичні властивості цього показника є далеко не елементарними, а це значно ускладнює використання середнього лінійного відхилення при розв'язанні задач, пов'язаних з імовірнісними розрахунками. Тому середнє лінійне відхилення використовується рідко.

Ступінь варіації об'єктивніше відображує показник середнього квадрата відхилення (дисперсія). Його обчислюють як середню арифметичну із суми квадратів відхилень окремих варіантів від їхньої середньої:

(дані не згруповані);

(дані згруповані).

Корінь квадратичний із середнього квадрата відхилень варіантів від їхньої середньої називають середнім квадратичним відхиленням. Середнє квадратичне відхилення буває просте і зважене:

(просте);

(зважене).

Середнє квадратичне відхилення є абсолютним виміром варіації, це означає, що порівнювати їх у варіаційних рядах різних явищ не можна. Змістовне значення середнього квадратичного відхилення таке ж саме, як і середнього лінійного відхилення. Воно показує, на скільки в середньому відхиляються індивідуальні значення варіант від їх середнього значення. Середнє квадратичне відхилення є критерієм надійності середньої. Чим воно менше, тим краще середня арифметична відображає всю досліджувану сукупність. Перевага середнього квадратичного відхилення порівняно з середнім лінійним відхиленням полягає у тому, що при розрахунку ніякого умовного припущення про підсумовування відхилень без врахування знаків не допускається, оскільки всі відхилення підносяться до квадрату. Середнє квадратичне відхилення – це стандартне відхилення. Воно як розмах варіації й середнє лінійне відхилення є величиною іменованою та виражається в тих самих одиницях вимірювання, що і варіанти досліджуваної ознаки і середня величина (ц, кг, грн., м, ц/га і т.д.). Дисперсія і середнє квадратичне відхилення широко застосовуються на практиці. Вони входять в більшість теорем, які є фундаментом математичної статистики. Крім того, дисперсія може бути розкладена на складові елементи, які дають змогу оцінити вплив різних факторів, що зумовлюють варіацію досліджуваної ознаки.

При порівнюванні ступеня варіації однієї і тієї ж ознаки в різних сукупностях використовують коефіцієнт варіації. Розраховується як відношення абсолютних характеристик варіації до середньої і виражається відсотками.

,

де σ – середнє квадратичне відхилення;

– середнє значення досліджуваної ознаки.

Варіація ознаки формується під дією різних чинників, серед яких можна відмітити випадкові та систематичні. Отже, варіація може бути випадковою, зумовлена дією випадкових причин, та систематичною – унаслідок дій постійних чинників.

Дисперсія, на відміну від інших характеристик варіації є адитивною величиною, тобто у структурованій сукупності. Яка поділена на групи за факторною ознакою х, дисперсія результативної ознаки у може розкладена на: дисперсію у кожній групі (внутрішньо групову) та дисперсію між групами (міжгрупову).

Загальна дисперсія характеризує загальну варіацію ознаки під впливом усіх умов і причин, що зумовили цю варіацію.

Групова (часткова) дисперсія дорівнює середньому квадрату відхилень окремих значень ознаки в середині групи від середньої арифметичної відповідної групи, її можна обчислити як середню просту і як зважену.

Ця дисперсія відображає варіацію ознаки лише за рахунок умов і причин, що діють у середині групи. Середня з групових (часткових) дисперсій – це середня арифметична, зважена з групових дисперсій.

.

Міжгрупова дисперсія дорівнює середньому квадрату відхилень групових середніх від загальної середньої:

, де

δ – між групова дисперсія;

– середня кожної окремої групи;

– загальна середня всієї сукупності.

Міжгрупова дисперсія характеризує варіацію результативної ознаки за рахунок групувальної ознаки. Загальна дисперсія дорівнює сумі середньої з групових дисперсій та міжгрупової дисперсії:

Це співвідношення називають правилом додавання дисперсій.

Тема 6

Ряди динаміки

 

Програмні питання:

6.1. Суть і складові елементи динамічного ряду

6.2. Характеристики інтенсивності динаміки

6.3. Середня абсолютна та відносна швидкість розвитку

6.4. Характеристика основної тенденції розвитку

6.5. Оцінка коливань та сталості динаміки

 

Аналіз соціально-економічного розвитку – одне з важливих завдань статистики. Інформаційною базою його слугують динамічні (часові, хронологічні) ряди.

Динамічний ряд – це послідовність чисел, які характеризують зміну того чи іншого соціально-економічного явища. Елементами динамічного ряду є перелік хронологічних дат (моментів) або інтервалів часу і конкретні значення відповідних статистичних показників, які називаються рівнями ряду.

При вивченні динаміки важливі не лише числові значення рівнів, а і їх послідовність. Як правило, часові інтервали між рівнями однакові (доба, декада, календарний місяць, квартал, рік). Узявши будь-який інтервал за одиницю, послідовність рівнів записуємо так: y1, y2, y3 … yn.

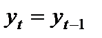
Залежно від статистичної природи показника-рівня розрізняють динамічні ряди первинні й похідні, ряди абсолютних, середніх і відносних величин. За ознакою часу динамічні ряди поділяються на інтервальні та моментні. Рівень моментного ряду фіксує стан явища на певний момент часу t. В інтервальному ряді рівень – це агрегований результат процесу й залежить від тривалості часового інтервалу.

При вивченні закономірностей соціально-економічного розвитку статистика розв’язує низку завдань: вимірює інтенсивність динаміки, виявляє й описує тенденції, оцінює структурні зрушення, сталість і коливання рядів; виявляє фактори, які спричинюють зміни.

Передумовою аналізу будь-якого динамічного ряду є порівнянність статистичних даних, які його формують. Непорівнянність даних може зумовлюватися різними причинами:

· змінами в методології обліку та розрахунку показника, зокрема використання різних одиниць для вимірювання;

· змінами в структурі сукупності, а також територіальними змінами;

· різними критичними моментами реєстрації даних чи тривалістю періодів, до яких належать рівні;

· зміною цін для вартісних показників.

Порівнянність даних забезпечується на етапах їх збирання та обробки. Використовують також спеціальні прийоми зведення даних до порівнянного вигляду – «статистичні ключі» зімкнення динамічних рядів.

Швидкість та інтенсивність розвитку різних суспільних явищ значно варіюють, що позначається на структурі відповідних динамічних рядів. Для оцінювання зазначених властивостей динаміки статистика використовує низку взаємозв’язаних характеристик. Серед них: абсолютний приріст, відносний приріст, темп зростання, інші.

Розрахунок характеристик динаміки ґрунтується на порівнянні рівнів ряду. При порівнянні певної множини послідовних рівнів база порівняння може бути постійною чи змінною. За постійну базу вибирається або початковий рівень ряду, або рівень, який уважається вихідним для розвитку явища, що вивчається. Характеристики динаміки, обчислені відносно постійної бази, називаються базисними. Якщо кожний рівень ряду порівнюється з попереднім, характеристики динаміки називаються ланцюговими. Схематично варіанти порівняння ілюструє рис. 6.1.

Рис. 6.1. Схеми порівняння при обчисленні ланцюгових і базисних характеристик динаміки

Абсолютний приріст характеризує абсолютний розмір збільшення (чи зменшення) рівня ряду за певний часовий інтервал і обчислюється як різниця рівнів ряду:

базисний приріст ;

ланцюговий приріст .

Знак «+», «–» свідчить про напрям динаміки.

Темп зростання показує, у скільки разів рівень більший (менший) від рівня, узятого за базу порівняння. Він являє собою кратне відношення рівнів:

базисний темп , ланцюговий темп .

При збільшенні рівня , при зменшенні – . Темпи зростання виражаються як у коефіцієнтах, так і в процентах.

Ланцюгові і відображують відповідно абсолютну і відносну швидкість динаміки. Вони взаємозв’язані. Якщо подати + , то

.

Отже, при стабільній абсолютній швидкості темпи зростання зменшуватимуться. Стабільні темпи зростання можливі за умови прискорення абсолютної швидкості.

Величину називають відносним прискоренням або темпомприросту і позначають символом . Вона функціонально пов’язана з темпом зростання, але на відміну від останнього завжди виражається в процентах:

.

Отже, темп приросту показує, на скільки процентів рівень більший (менший) від бази порівняння.

Співвідношенням абсолютного приросту і темпу приросту визначається абсолютне значення 1% приросту. Нескладні алгебраїчні перетворення цього відношення показують, що воно становить соту частину рівня, узятого за базу порівняння:

.

Ланцюгові й базисні характеристики динаміки взаємопов’язані:

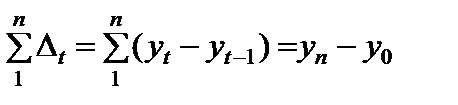
а) сума ланцюгових абсолютних приростів дорівнює кінцевому базисному:

.

б) добуток ланцюгових темпів зростання дорівнює кінцевому базисному:

.

Щодо темпів приросту, то вони не мають таких властивостей, як абсолютні прирости чи темпи зростання. Ланцюгові й базисні темпи приросту співвідносяться через темпи зростання.

Якщо швидкість розвитку в межах періоду, що вивчається, неоднакова, порівнянням однойменних характеристик швидкості вимірюється прискореннячи уповільнення динаміки. На базі абсолютних приростів оцінюються абсолютне та відносне прискорення. Абсолютне – це різниця між абсолютними приростами: . Прискорення характеризується додатною величиною > 0, уповільнення – від’ємною .

Порівняння темпів зростання дає коефіцієнт прискорення(уповільнення) відносної швидкості розвитку. Для наочності та зручності їх тлумачення дільником є більший за значенням темп зростання.

У статистичному аналізі порівнюється також інтенсивність динаміки в різних рядах. Відношення темпів зростання називають коефіцієнтом випередження. За допомогою останнього порівнюють відносну швидкість динамічних рядів однакового змісту по різних об’єктах (регіони, країни тощо) або різного змісту по одному об’єкту.

Щодо темпів приросту, то співвідношення їх використовують лише для взаємозв’язаних показників х і у. Таке співвідношення називають емпіричним коефіцієнтом еластичності ; він показує, на скільки процентів змінюється у зі зміною х на 1%.

З плином часу змінюються, варіюють рівні динамічних рядів і обчислені на їх основі абсолютні прирости та темпи зростання. Постає потреба узагальнення притаманних динамічному ряду властивостей, визначення типових характеристик розвитку. Такими характеристиками є середні величини. Зауважимо, що динамічна середня буде типовою характеристикою лише за умови однорідності ряду, коли причинний комплекс формування закономірностей розвитку більш-менш стабільний.

Середні рівні використовують насамперед для узагальнення коливних рядів. Середні рівні необхідні також для забезпечення порівнянності чисельника і знаменника при побудові динамічних рядів похідних показників.

Метод обчислення середнього рівня динамічного ряду залежить від статистичної структури показника. В інтервальному ряді абсолютних величин, рівні якого динамічно адитивні, використовується середня арифметична проста:

,

де n – число рівнів ряду.

У моментному ряді, за припущення про рівномірну зміну показника між датами, середня розраховується як півсума значень на початок і кінець періоду:

.

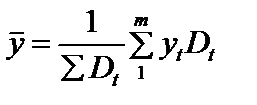
Якщо в моментному ряді n > 2 і між суміжнимі датами однакові інтервали, розрахунок виконується за формулою середньоїхронологічної:

.

У моментних рядах з різними інтервалами між датами розраховується середня арифметична зважена:

,

де – інтервал часу між датами, m – кількість інтервалів.

Середній абсолютний приріст (абсолютна швидкість динаміки) обчислюється діленням загального приросту за весь період на довжину цього періоду у відповідних одиницях часу (рік, квартал, місяць тощо):

.

При обчисленні середнього темпу зростання враховується правило складних процентів, за якими змінюється відносна швидкість динаміки (нагромаджується приріст на приріст). Тому середній темп зростання обчислюється за формулою середньої геометричної з ланцюгових темпів зростання:

,

де n – кількість темпів зростання за однакові інтервали часу.

Урахувавши взаємозв’язок ланцюгових і базисних темпів зростання, формулу середньої геометричної можна записати так:




Поделиться с друзьями:


Дата добавления: 2014-12-24; Просмотров: 445; Нарушение авторских прав?; Мы поможем в написании вашей работы!


Нам важно ваше мнение! Был ли полезен опубликованный материал? Да | Нет



studopedia.su - Студопедия (2013 - 2026) год. Все материалы представленные на сайте исключительно с целью ознакомления читателями и не преследуют коммерческих целей или нарушение авторских прав! Последнее добавление




Генерация страницы за: 0.01 сек.