Студопедия

КАТЕГОРИИ:


Архитектура-(3434)Астрономия-(809)Биология-(7483)Биотехнологии-(1457)Военное дело-(14632)Высокие технологии-(1363)География-(913)Геология-(1438)Государство-(451)Демография-(1065)Дом-(47672)Журналистика и СМИ-(912)Изобретательство-(14524)Иностранные языки-(4268)Информатика-(17799)Искусство-(1338)История-(13644)Компьютеры-(11121)Косметика-(55)Кулинария-(373)Культура-(8427)Лингвистика-(374)Литература-(1642)Маркетинг-(23702)Математика-(16968)Машиностроение-(1700)Медицина-(12668)Менеджмент-(24684)Механика-(15423)Науковедение-(506)Образование-(11852)Охрана труда-(3308)Педагогика-(5571)Полиграфия-(1312)Политика-(7869)Право-(5454)Приборостроение-(1369)Программирование-(2801)Производство-(97182)Промышленность-(8706)Психология-(18388)Религия-(3217)Связь-(10668)Сельское хозяйство-(299)Социология-(6455)Спорт-(42831)Строительство-(4793)Торговля-(5050)Транспорт-(2929)Туризм-(1568)Физика-(3942)Философия-(17015)Финансы-(26596)Химия-(22929)Экология-(12095)Экономика-(9961)Электроника-(8441)Электротехника-(4623)Энергетика-(12629)Юриспруденция-(1492)Ядерная техника-(1748)

Методичні рекомендації. 1.Уважно вивчіть теоретичні відомості




ХІД РОБОТИ

1. Уважно вивчіть теоретичні відомості.

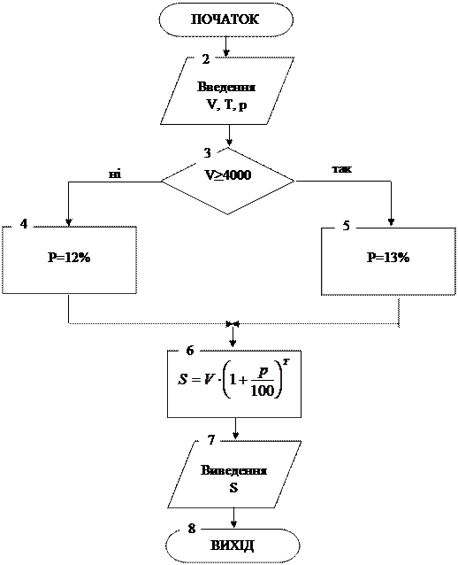
2. Задача 1. Розробіть додаток для обчислення суми виплат за вкладом у банку, якщо річна відсоткова ставка становить 13 % при вкладі більшому 4000 тис. грн., а для менших за розміром вкладів – 12%.

Математична модель. При заданому розмірі початкового вкладу (V), заданому терміні вкладу (Т) і річній відсотковій ставці (р), сума виплат (S) обчислюється за формулою:

При цьому річна відсоткова ставка визначається за формулою:

У додатку потрібно задавати значення початкового розміру вкладу (V), значення терміну вкладу (Т), значення відсоткової ставки (р) і обчислювати значення суми виплат (S) відповідно до заданої формули. Значення цих величин можна описати типом — дійсні числа. Алгоритм обчислювального процесу має розгалуження при обчисленні відсоткової ставки залежно від розміру початкового вкладу.

 

Схема алгоритму має вид:

Рисунок 2.12.

Розробка інтерфейсу користувача:

При розробці інтерфейсу користувача потрібно врахувати необхідність введення даних про вкладника, розмір його початкового вкладу і термін вкладу.

Додаток має повідомляти суму виплат і річну відсоткову ставку.

Доречно розробити форму з 6 написами і 4 текстовими полями (рис. 2.13.). Потрібно ще у формі мати одну командну кнопку, яка б при клацанні на ній запускала процедуру обчислення суми виплати.

Рисунок 2.13.

Для реалізації розгалуженого обчислювального процесу у програмному коді має бути застосований умовний оператор, у цьому разі доречно застосувати конструкцію If... Then... Else. Звісно, змінні мають бути описані у коді процедури.

Зауваження. Цей проект додатка не є єдино можливим. Можна запропонувати інші варіанти.




Поделиться с друзьями:


Дата добавления: 2014-12-24; Просмотров: 362; Нарушение авторских прав?; Мы поможем в написании вашей работы!


Нам важно ваше мнение! Был ли полезен опубликованный материал? Да | Нет



studopedia.su - Студопедия (2013 - 2026) год. Все материалы представленные на сайте исключительно с целью ознакомления читателями и не преследуют коммерческих целей или нарушение авторских прав! Последнее добавление




Генерация страницы за: 0.013 сек.