Студопедия

КАТЕГОРИИ:


Архитектура-(3434)Астрономия-(809)Биология-(7483)Биотехнологии-(1457)Военное дело-(14632)Высокие технологии-(1363)География-(913)Геология-(1438)Государство-(451)Демография-(1065)Дом-(47672)Журналистика и СМИ-(912)Изобретательство-(14524)Иностранные языки-(4268)Информатика-(17799)Искусство-(1338)История-(13644)Компьютеры-(11121)Косметика-(55)Кулинария-(373)Культура-(8427)Лингвистика-(374)Литература-(1642)Маркетинг-(23702)Математика-(16968)Машиностроение-(1700)Медицина-(12668)Менеджмент-(24684)Механика-(15423)Науковедение-(506)Образование-(11852)Охрана труда-(3308)Педагогика-(5571)Полиграфия-(1312)Политика-(7869)Право-(5454)Приборостроение-(1369)Программирование-(2801)Производство-(97182)Промышленность-(8706)Психология-(18388)Религия-(3217)Связь-(10668)Сельское хозяйство-(299)Социология-(6455)Спорт-(42831)Строительство-(4793)Торговля-(5050)Транспорт-(2929)Туризм-(1568)Физика-(3942)Философия-(17015)Финансы-(26596)Химия-(22929)Экология-(12095)Экономика-(9961)Электроника-(8441)Электротехника-(4623)Энергетика-(12629)Юриспруденция-(1492)Ядерная техника-(1748)

Что люблю я, а о том, что любит рыба. 1 страница




Но рыба почему-то предпочитает червяков.

Вот почему, когда я иду на рыбалку, я думаю не о том,

Дейл Карнеги (Принцип земляники со сливками)

 

Глава 8. МАРКЕТИНГ ПРОЕКТА

8.1. Современная концепция маркетинга в управлении проектами

8.2. Маркетинговые исследования

8.3. Разработка маркетинговой стратегии проекта

8.4. Формирование концепции маркетинга проекта

8.5. Программа маркетинга проекта

8.6. Бюджет маркетинга проекта

8.7. Реализация маркетинга проекта

8.8. Управление маркетингом в рамках управления проектами

Резюме

Контрольные вопросы и задания

Литература

8.1. Современная концепция маркетинга в управлении проектами

Применительно к проблематике управления проектами маркетинг можно рассматривать в двух аспектах. Первый аспект раскрывает внутреннее содержание маркетинга проекта и представляет собой структуру маркетинговой деятельности безотносительно временной протяженности проекта. Этот аспект подчеркивает, что на любом этапе жизненного цикла проекта маркетинг присутствует во всей полноте, не меняя своего внутреннего содержания.

Второй аспект отражает место маркетинга в проекте с точки зрения временной структуры проекта, т. е. его жизненного цикла. Несмотря на то что маркетинговые мероприятия присутствуют на каждом этапе проекта, значение, объемы и содержание работ на разных фазах проекта различны.

Условно первый аспект можно определить как вертикальную (содержательную) структуру маркетинга проекта, а второй — как горизонтальную (временную) структуру маркетинга.

Достаточно традиционно всю совокупность маркетинга проекта можно разделить на 6 составляющих:

» Маркетинговые исследования;

» Разработка стратегии маркетинга;

» Формирование концепции маркетинга;

» Программа маркетинга проекта;

» Бюджет маркетинга проекта;

» Реализация мероприятий по маркетингу проекта.

Под маркетинговыми исследованиями обычно понимается деятельность по поиску, сбору и предварительной аналитической обработке информации, имеющей значимость для рыночной успешности (результативности) проекта. Маркетинговые исследования — базовая деятельность, обеспечивающая все дальнейшие мероприятия по маркетингу необходимой информацией. Более подробно маркетинговые исследования рассматриваются в п. 8.2.

Под разработкой стратегии маркетинга понимается деятельность по детальной аналитической обработке доступной информации, ее переосмыслению и выработке принципиальных целевых установок для проекта в области маркетинга. Такие принципиальные целевые установки включают в себя определение структуры целей проекта, выработка базовой стратегии и отдельных значимых ее аспектов. Более подробно разработка стратегии маркетинга рассматривается в п. 8.3.

Выделение формирования концепции маркетинга в самостоятельный блок является не совсем традиционным. Но, по сути, такое выделение присутствует как в теории, так и в практике маркетинга проекта. Концепцию маркетинга можно рассматривать либо как стратегические аспекты практического комплекса маркетинговых мероприятий, либо как оперативный аспект стратегии маркетинга. В любом случае концепция маркетинга является тактическим срезом всей маркетинговой деятельности, в котором определяются среднесрочные, важные (но не общезначимые для всего проекта, в отличие от стратегии) направления, целевые ориентиры, выбранные методы реализации мероприятий. Формирование концепции маркетинга рассматривается в п. 8.4.

Из концепции маркетинга как тактической его составляющей вытекает оперативная составляющая — практический инструментарий маркетинга, оформленный в виде программы конкретных мероприятий по реализации сформулированных ранее стратегии и тактики маркетинга проекта. Программа маркетинга подробно рассматривается в п. 8.5.

Бюджет маркетинга — обязательная составляющая проекта. В общей форме он представляет собой план денежных поступлений и выплат, связанных с реализацией программы маркетинга. Он подробно рассматривается в п. 8.6.

Завершающей является непосредственная реализация всех мероприятий по маркетингу — как ранее запланированных, так и вызванных возникшими отклонениями. Реализация маркетинга рассматривается в п. 8.7.

8.2. Маркетинговые исследования

В структуре маркетинговых исследований можно выделить 3 принципиальных блока, которые, в свою очередь, также состоят из конкретных работ:

» Организация исследований:

• определение целей, диапазона и программы маркетинговых исследований;

• определение методов и средств маркетинговых исследований;

• сбор и первичная оценка информации;

» Внешний анализ:

• анализ структуры целевого рынка;

• анализ емкости рынка;

• анализ каналов сбыта;

• анализ конкуренции;

• макроэкономический анализ;

• анализ социально-экономической среды;

» Внутренний анализ:

• анализ участников проекта и их ресурсов;

• анализ доступных технологий;

• анализ продукции проекта.

Методология организации и проведения маркетинговых исследований достаточно подробно излагается в специализированной литературе [3—13, 24, 29], поэтому ниже приводится только общее описание исследований и представлено несколько примеров использования эффективных методов.

Организация исследований — определяющий, с точки зрения оптимизации затрат и повышения достоверности оценок, этап (блок). Существуют 3 принципиальных требования к маркетинговым исследованиям, которые чрезвычайно важны для управления проектом. Во-первых, система взаимодействия проекта и рынка обязана быть «прозрачной» для менеджмента; во-вторых, необходимо сформулировать существующие рыночные ограничения и проблемы, и, в-третьих, должно быть определено поле потенциально возможных вариантов реализации проекта.

Диапазон и глубина маркетинговых исследований определяются сложностью или новизной стоящих перед проектом проблем, а также важностью последних для проекта.

Определение адекватных методов и средств проведения маркетинговых исследований должно соответствовать поставленным целям и ограничениям.

Достаточно важный момент в проведении исследований — оценка необходимого и достаточного объема информации. Так как сбор информации и она сама в современной экономике обладают высокой стоимостью, процесс сбора требует адекватного управления. Некоторые методы по управлению этим процессом изложены в специальной литературе [25].

Содержание анализа, представленное выше, — наиболее типично для управления проектами. Но последние в ряде случаев обладают существенной спецификой, вынуждающей так или иначе изменять содержание и методики анализа. В каждом конкретном проекте состав внешнего и внутреннего анализа следует корректировать, но базовый набор, как правило, остается Неизменным.

Внешний анализ можно описать следующим образом.

Анализ структуры рынка обычно представляет собой выявление и количественную оценку различных сегментов рынка. При этом существует множество моделей анализа сегментов рынка, которые являются комбинацией различных критериев (или направлений) сегментирования (структуризации) рынка.

Такими критериями могут являться сегментирование потребителей:

» по выгодам, получаемым от использования товара;

» по образу жизни;

» половозрастное;

» географическое;

» по потребительским ситуациям;

» на основе правил (стратегий) выбора товаров;

» по приверженности к торговой марке;

» по чувствительности к цене;

» с использованием классификаторов отраслей национальной экономики (обычно применяется для клиентов-предприятий);

» по способу совершения покупки.

Анализ емкости рынка направлен на определение фактически продаваемых товаров в данном рыночном сегменте (сегментах), а также прогнозирование потенциально возможных продаж. При анализе емкости рынка очень важно выявить и учесть сезонные или иные колебания в продажах.

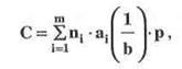
Ниже представлен пример формул определения спроса на продукцию проекта.

Формула оценки спроса на определенный продукт:

где С — спрос на данный продукт;

ni — число потенциальных потребителей в каждой потребительской группе;

ai — коэффициент, учитывающий доходы каждой потребительской группы и долю этого дохода, которая может быть направлена на покупку данного продукта,

b — средний срок службы продукта,

р — вероятность приобретения (желание совершить покупку) данного изделия.

Значение вероятности определяется функциональным назначением товара и его привлекательностью для каждой возрастной и/или социальной группы, а также очередностью удовлетворения этой потребности. При равной вероятности приобретения или неприобретения продукта р = 0,5.

Для примерного определения спроса может использоваться так называемый метод цепных отношений. Он может быть использо-ван как в отношении товаров производственного назначения, так и бытовых товаров.

Например, предприятие, изготовляющее станки с ЧПУ, предполагает расширить производство. Необходимо узнать, достаточна ли будет емкость рынка для того, чтобы окупить затраты на расширение выпуска.

 

Расчетная формула:

где Е — спрос на станки с ЧПУ;

N — количество предприятий — потребителей данной продукции;

Р — средний размер прибыли одного предприятия;

К1 — средняя доля прибыли, расходуемая предприятиями на техническое перевооружение и реконструкцию своего производства;

K2 — удельный вес затрат на машины и оборудование в доле прибыли, определяемой коэффициентом К3;

К3 — доля расходов на металлообрабатывающее оборудование в сумме затрат, определяемой коэффициентом К2;

К4 — прогнозируемый удельный вес расходов на станки с ЧПУ в сумме затрат, определяемой коэффициентом К3.

Анализ структуры рынка и анализ емкости рынка очень тесно связаны и должны проводиться совместно (рис. 8.2.1).

Рис. 8.2.1. Двумерный анализ структуры и емкости рынка

Анализ каналов сбыта направлен на оценку существующих и/или проектирование оптимальных цепочек, связывающих проект с конечными пользователями его продукции.

Традиционно исследуются 3 разновидности сбыта:

» сбыт через оптовых торговцев;

» сбыт через розничных торговцев;

» сбыт непосредственно потребителям (прямая продажа).

При анализе конкуренции внимание обращается на конкуренцию как между производителями, так и между товарами.

Обычно выделяют 5 факторов, требующих детального анализа:

» текущие конкуренты;

» вероятность появления новых конкурентов;

» вероятность появления товаров-заменителей;

» способность потребителя идти на сделки;

» способность поставщика идти на сделки.

Более подробно анализ конкуренции описан в специализированной литературе [28, 29].

Макроэкономический анализ направлен на выявление существующих тенденций в мировой и национальной экономике в интересующих отраслях и аспектах.

Цель анализа социально-экономической среды — определение социальных и социально-экономических аспектов, относящихся к подготовке и оценке стратегии проекта и концепции маркетинга. Эти аспекты могут отражать общество и его культуру, социальную и экономическую политику в регионах, а также существующие правила, традиции и обычаи.

В рамках внутреннего анализа первый шаг — анализ участников проекта и их ресурсов, на котором собирается и обрабатывается информация о потенциально сильных и слабых сторонах проекта.

Одним из важных в современной экономике факторов успеха являются передовые технологии. Анализ доступных технологий направлен на оценку рынка технологий, выбора технологических рядов, определения требований к применению технологии (капиталовложения, уровень знаний и умений, система управления и пр.).

Анализ продукции проекта заключается в сопоставлении проектируемой продукции с уже существующей и/или «идеальной», т. е. представляемой покупателями. При этом задействуют инструменты аналитического позиционирования. Эти же инструменты, а также результаты анализа продукции используют при целевом позиционировании. К числу данных инструментов можно отнести:

» построение профилей;

» позиционирование, основанное на сходстве торговых марок;

» многомерное позиционирование (в т. ч. динамическое);

» иерархический кластерный анализ;

» кластерное позиционирование (в том числе многомерное);

» позиционирование по отношению к «идеальным» товарам;

» позиционирование с применением сопряженного анализа;

» позиционирование по рыночным сегментам;

» позиционирование на основе полезных свойств.

Подробное описание этих инструментов читатель может найти в специализированной литературе [27, 31].

Результаты маркетинговых исследований необходимы, прежде всего, для разработки маркетинговой стратегии проекта.

8.3. Разработка маркетинговой стратегии проекта

Маркетинговой стратегией проекта называют совокупность глобальных (общезначимых для всего проекта) целевых установок (структуры целей, принципиальных методов их достижения), ориентирующих всю деятельность по маркетингу проекта в направлении достижения максимального рыночного результата.

Структура деятельности по разработке маркетинговой стратегии представлена на рис. 8.3.1.

Рис. 8.3.1. Структура деятельности по разработке маркетинговой стратегии проекта

Стратегический анализ раскрывается ниже.

Под SWOT-анализом понимаются исследования, направленные на определение и оценку сильных и слабых сторон проекта, оценку его возможностей и потенциальных угроз.

Возможности определяются как нечто, дающее проекту шанс сделать что-то новое: выпустить новый продукт, завоевать новых клиентов, внедрить новую технологию, перестроить бизнес-процессы и т. п. Угроза — то, что может нанести ущерб проекту, лишить его существующих преимуществ: появление новых конкурентов, появление товаров-заменителей и т. п.

SWOT-анализ может быть проведен в течение любого реально имеющегося времени: от 1—2 часов до нескольких дней. Если в первом случае выводы приходится делать на основе экспресс-опроса, то при наличии 2—3 дней удается предварительно изучить документы, провести необходимые интервью, разработать модель ситуации и детально обсудить проблемы с заинтересованными участниками.

Один из способов выполнения SWOT-анализа представлен ниже.

Пример. SWOT-анализ проекта организации производства моторных лодок для отдыха населения

Исходные данные: планируется к реализации проект освоения предприятием новой продукции — моторные лодки для отдыха населения.

На 1-м этапе анализа перечисляются слабые и сильные стороны проекта, а также угрозы и возможности для проекта во внешней среде организации (табл. 8.3.1).

Таблица 8.3.1

Матрица SWOT-анализа

Сильные стороны: v высокое качество продукции фирмы; v правительственная помощь; v квалифицированный персонал Слабые стороны: v отсутствие новых видов продукции; v слабый маркетинг; v недостаток финансов
Угрозы: v жесткая конкуренция; v покупатели ожидают разнообразного дизайна Возможности: v в данном регионе много озер, прудов и водоемов; v увеличение числа желающих провести досуг на воде

 

Вторым шагом анализа будет количественная оценка сильных и слабых сторон, угроз и возможностей внешней среды. На пересечении строки и столбца ставится экспертная оценка значимости данного сочетания угроз и сильных сторон, возможностей и сильных сторон и пр. Если угроза значима для сильных или слабых сторон проекта, то оценка значимости такого сочетания будет высокой. Получаем количественную оценку проблем, возникших на пересечении сильных и слабых сторон проекта с угрозами и возможностями внешней среды. Представим эти данные в виде матрицы (табл. 8.3.2).

Суммируя полученные оценки, можно определить общую значимость сильных и слабых сторон, угроз и возможностей внешней среды (табл. 8.3.3).

Такой анализ позволяет определить, насколько сильны сильные стороны и слабы слабые, исходя из состояния внешней среды, а также насколько важны угрозы и возможности, исходя из состояния внутренней среды. При этом сравнивать можно количественные оценки сильных сторон между собой и со слабыми сторонами, так же, как и угрозы можно сравнивать между собой и с возможностями.

Количественная оценка сильных и слабых сторон позволяет расставить приоритеты и на основе последних распределять ресурсы между различными проблемами.

После определения количественных характеристик следует сформулировать проблемы, возникшие на каждой комбинации сильных и слабых сторон с угрозами и возможностями. Так получают проблемное поле проекта (табл. 8.3.4).

Сформулированные таким образом проблемы могут быть количественно оценены с использованием экспертных оценок сильных и слабых сторон, угроз и возможностей. Количественная оценка проблемы складывается как сумма экспертных оценок комбинаций сильных и слабых сторон с угрозами и возможностями, перекрываемых данной проблемой (табл. 8.3.5).

Анализ стратегической позиции проекта (также называют стратегический анализ, анализ стратегического набора) — это выявление стратегических зон хозяйствования проекта, их взаимосвязи, окружения и других важных характеристик. Для стратегического анализа используются следующие методы:

» матрица BCG;

» матрица AD Little;

» матрица Shell;

» деловой экран McKinsey/GE;

» матрицы Ансоффа и Портера.

Таблица 83.2

Количественная оценка сильных и слабых сторон, угроз и возможностей внешней среды

Сильные стороны   Слабые стороны
Высокое качество продукции фирмы   Отсутствие новых видов продукции  
Правительственная помощь   Слабый маркетинг  
Квалифицированный персонал   Недостаток финансов  
Угрозы Возможности
Жесткая конкуренция   В данном регионе много озер, прудов и водоемов  
Покупатели ожидают разнообразного дизайна   Увеличение числа желающих провести досуг на воде  

Таблица 8.3.3

Количественная оценка сильных и слабых сторон, угроз и возможностей внешней среды

 

  Сильные стропы Слабые стороны
    Высокое качество продукции фирмы Правительственная помощь Квалифицированный персонал Отсутствие новых видов продукции Слабый маркетинг Недостаток финансов
Угрозы Жесткая конкуренция            
Покупатели ожидают разнообразного дизайна            
Возможности В данном регионе много озер, прудов и водоемов            
Увеличение числа желающих провести досуг на воде            

Таблица 8.3.4

Формулирование проблемного поля в рамках SWOT-матрицы

 

 

 

 

 

 

 

 

  Сильные стороны Слабые стороны
Высокое качество продукции фирмы Правительственная помощь Квалифицированный персонал Отсутствие новых видов продукции Слабый маркетинг Недостаток финансов
Угрозы Жесткая конкуренция Дальнейшее повышение качества, исходя из требований потребителей Освоение передовых технологий Освоение новой продукции с высоким уровнем качества и разнообразным дизайном Повышение квалификации персонала в области маркетинга Получение правительственных субсидий
Покупатели ожидают разнообразного дизайна Обновление ассортимента и повышение разнообразия продукции за счет правительственных субсидий Существующий кадровый потенциал в состоянии обеспечить разнообразие дизайна
Возможности В данном регионе много озер, прудов и водоемов Увеличение объемов продукции Получение налоговых льгот, льготных субсидий Разработка продукции, максимально приближенной к существующим условиям Привлечение специализированных маркетинговых служб для проведения исследований
Увеличение числа желающих провести досуг на воде Улучшение качества, ввод новых технологии Аккумуляция денежных средств населения (акцио- нирование, лотереи)

Таблица 8.3.3

Количественная оценка проблем проекта

Проблема Оценка
Дальнейшее повышение качества, исходя из требований потребителей  
Освоение передовых технологий 3 (1+2)
Обновление ассортимента и повышение разнообразия продукции за счет правительственных субсидий 5 (4+1)
Существующий кадровый потенциал в состоянии обеспечить разнообразие дизайна  
Увеличение объемов продукции 4 (2+2)
Получение налоговых льгот, льготных субсидий 2(1+1)
Разработка продукции, максимально приближенной к существующим условиям  
Улучшение качества, ввод новых технологий  
Повышение квалификации персонала в области маркетинга 7(3+4)
Получение правительственных субсидий 6(3+2+1)
Освоение новой продукции с высоким уровнем качества и разнообразным дизайном 16 (3+3+5+5)
Привлечение специализированных маркетинговых служб для проведения исследований 8 (4+4)
Аккумуляция денежных средств населения (акционирование, лотереи)  

Оценку синергетического эффекта стратегических позиций проекта можно укрупненно свести к определению того положительного экономического или иного эффекта, возникающего от совмещения различных стратегических усилий или их отдельных аспектов. Методы и средства оценки синергетического эффекта подробно описаны в специализированной литературе [17, 26].

Определение целевых стратегических позиций производится на основе всего предыдущего анализа и с использованием инструментов стратегического позиционирования.

После этого в рамках определения структуры целей и стратегии проекта устанавливаются целевые стратегические позиции проекта, а также исследуются наиболее важные аспекты стратегии, — обычно географический и технологический, но, в зависимости от специфики проекта, на первый план могут выходить и другие аспекты — финансовый, организационный, кадровый и пр.

Определение структуры целей проекта осуществляется на базе накопленной к этому времени информации и с использованием традиционных методов структурной декомпозиции.

Базовые маркетинговые стратегии обычно выбираются из числа традиционных — таких, как стратегия:

» лидерства по издержкам;

» дифференциации;

» концентрации усилий на рыночной нише;

» проникновения на рынок;

» развития рынка;

» диверсификации;

» разработки продукта;

» расширения рынка.

Эти и другие, более специфические виды маркетинговых стратегий, а также процесс их выбора описаны в специализированной литературе [3—6, 9, 18, 28].

8.4. Формирование концепции маркетинга проекта

Концепция маркетинга — тактический срез всей маркетинговой деятельности, в котором определяются среднесрочные, важные (но, в отличие от стратегии, не общезначимые для всего проекта) направления, целевые ориентиры, выбранные методы реализации определенной ранее стратегии.

Рис. 8.4.1. Структура деятельности по формированию концепции маркетинга проекта

Как видно из рисунка, позиционирование продукции и проекта начинается с определения комплексов «товар—рынок—технология», основанного на признании факта многомерности и неоднородности экономического пространства, в котором реализуется проект. Измерения «товар», «рынок» и «технология» — основные и присущи любому экономическому пространству, которое структурируется по каждому измерению по-своему, но при этом прослеживаются зависимости (не математические и даже не статистические — скорее, логические, основанные на существующей структуре экономики) между обозначенными измерениями. Комплексы «товар-рынок-технология» определяют, какие товары на каких рынках будут реализовываться и с помощью каких технологий они при этом будут производиться и продвигаться. Проект может иметь несколько комплексов «товар—рынок—технология» (рис. 8.4.2).

Целевые позиции продукции проекта определяются с помощью уже рассмотренных, применяемых при анализе продукции проекта инструментов позиционирования. Но если там эти инструменты использовались для определения состояния «как есть», то здесь происходит определение целевых позиций продукции, т. е. состояния «как должно быть».

Один из важных элементов концепции проекта — модель жизненного цикла продукции. На рис. 8.4.3 представлена упрощенная традиционная модель жизненного цикла товара.

На разных фазах жизненного цикла осуществляются различные маркетинговые мероприятия; при этом тактика маркетинга также существенно меняется в зависимости от жизни продукта. Принципиальная структура маркетинговых решений на различных фазах жизненного цикла продукции представлена на рис. 8.4.4.

Рис. 8.4.2. Комплексы «товар—рынок—технология»

Рис. 8.4.3. Модель жизненного цикла товаров

Рис. 8.4.4. Структура маркетинговых решений в зависимости от фаз жизненного цикла продукции

Стадия разработки продукта является подготовительной, но именно на ней закладываются основные решения по продукту и маркетингу проекта, которые обуславливают дальнейшее развитие. На этой стадии принципиально выделяют 2 составляющие:

» маркетинговые исследования;

» выбор и подготовка целевой аудитории.

Стадия выхода на рынок (или стадия внедрения) характеризуется медленным ростом объема продаж. При выходе на рынок с продуктом, находящимся в этой фазе жизненного цикла, можно варьировать цену, систему сбыта, расходы на стимулирование сбыта, качество товара. На 1-й фазе существует 4 варианта маркетинговых решений:

» интенсивный маркетинг;

» выборочное проникновение;

» широкое проникновение;

» пассивный маркетинг.

Если продукт находится на стадии зрелости, возможно принятие следующих маркетинговых решений:

» расширение сбыта;

» модификация рынка;

» модификация товара;

» модификация концепции маркетинга.

Для большинства продуктов, в конце концов, наступает время заметного уменьшения объема продаж — начинается стадия спада.

В зависимости от конкретных условий, руководители проекта могут выбрать 3 варианта действий:

» сократить объем выпуска и число торговых точек, где продавался продукт,

» «оживить» товар путем его модификации, изменения упаковки, организации новых форм сбыта и т.п.,

» прекратить производство и организовать быструю распродажу по низким ценам (чтобы не загружать сбытовую сеть).




Поделиться с друзьями:


Дата добавления: 2014-12-25; Просмотров: 409; Нарушение авторских прав?; Мы поможем в написании вашей работы!


Нам важно ваше мнение! Был ли полезен опубликованный материал? Да | Нет



studopedia.su - Студопедия (2013 - 2025) год. Все материалы представленные на сайте исключительно с целью ознакомления читателями и не преследуют коммерческих целей или нарушение авторских прав! Последнее добавление




Генерация страницы за: 0.01 сек.