Студопедия

КАТЕГОРИИ:


Архитектура-(3434)Астрономия-(809)Биология-(7483)Биотехнологии-(1457)Военное дело-(14632)Высокие технологии-(1363)География-(913)Геология-(1438)Государство-(451)Демография-(1065)Дом-(47672)Журналистика и СМИ-(912)Изобретательство-(14524)Иностранные языки-(4268)Информатика-(17799)Искусство-(1338)История-(13644)Компьютеры-(11121)Косметика-(55)Кулинария-(373)Культура-(8427)Лингвистика-(374)Литература-(1642)Маркетинг-(23702)Математика-(16968)Машиностроение-(1700)Медицина-(12668)Менеджмент-(24684)Механика-(15423)Науковедение-(506)Образование-(11852)Охрана труда-(3308)Педагогика-(5571)Полиграфия-(1312)Политика-(7869)Право-(5454)Приборостроение-(1369)Программирование-(2801)Производство-(97182)Промышленность-(8706)Психология-(18388)Религия-(3217)Связь-(10668)Сельское хозяйство-(299)Социология-(6455)Спорт-(42831)Строительство-(4793)Торговля-(5050)Транспорт-(2929)Туризм-(1568)Физика-(3942)Философия-(17015)Финансы-(26596)Химия-(22929)Экология-(12095)Экономика-(9961)Электроника-(8441)Электротехника-(4623)Энергетика-(12629)Юриспруденция-(1492)Ядерная техника-(1748)

Тема: Создание проекта линейной структуры программы с использованием визуальных компонентов




Лабораторное занятие № 6

 

 

Цель: приобретение навыка кодирования, отладки и тестирования линейных алгоритмов в среде Delphi 2010.

ТО и ПО: ОС Windows 7, Delphi 2010.

МО: методические указания.

Задание: Создать приложение, реализующее линейный алгоритм вычисления функции:

(1)

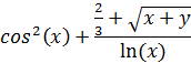
Индивидуальное задание: Создать приложение, реализующее линейный алгоритм вычисления функции:

(2)

 

Описание хода выполнения работы:

Создала Delphi-проект.

Разместила на форме компоненты, вид интерфейса представлен на рисунке 6.1.

Рисунок 6.1

Выполнила программирование обработчика нажатия на кнопку, осуществляющего вычисление значения функции по формуле 1 и выводящего результат в поле Memo.

Код программы и комментарии к нему:

unitUnit1;

interface

uses

Windows, Messages, SysUtils, Variants, Classes, Graphics, Controls, Forms,

Dialogs, StdCtrls;

type

TForm1 = class(TForm)

Edit1: TEdit;

Edit2: TEdit;

Edit3: TEdit;

Label1: TLabel;

Label2: TLabel;

Label3: TLabel;

Label4: TLabel;

Memo1: TMemo;

Button1: TButton;

procedureFormCreate(Sender: TObject);

procedure Button1Click(Sender: TObject);

private

{ Private declarations }

public

{ Public declarations }

end;

var

Form1: TForm1;

implementation

{$R *.dfm}

procedure TForm1.Button1Click(Sender: TObject);

varx,y,z,a,b,c,s:real; //объявление вещественных переменных

begin

x:=strtofloat(edit1.Text); // преобразование строкового значения в

//вещественное и присвоение переменной х

y:=strtofloat(edit2.Text);

z:=strtofloat(edit3.Text);

a:=sqr(sin(x+y)/cos(x+y)); // вычисление квадрата тангенса

b:=abs(exp(3*y)-x*x); // вычисление модуля числителя дроби

c:=sqrt(arctan(z)+ln(x)); // вычисление квадратного корня в знаменателе дроби

s:=a*b/c; // вычисление результата функции

memo1.Lines.Add('x='+edit1.Text+'y='+edit2.Text+'z='+edit3.text);

//вывод значений переменных в поле memo1

memo1.Lines.Add('Результат s='+floattostr(s));

//вывод результата вычисления значения функции в поле memo1

end;

procedure TForm1.FormCreate(Sender: TObject);

begin

memo1.Clear; //очистка содержимого поля memo1

end;

end.

Протокол работы программы представлен на рисунке 6.2.

 

Рисунок 6.2

 

Выполнила кодирование линейного алгоритма для вычисления значения функции по индивидуальному заданию.

Код программы индивидуального задания:

unit Unit1;

interface

uses

Windows, Messages, SysUtils, Variants, Classes, Graphics, Controls, Forms,

Dialogs, StdCtrls;

type

TForm1 = class(TForm)

Label1: TLabel;

Label2: TLabel;

Label3: TLabel;

Edit1: TEdit;

Edit2: TEdit;

Memo1: TMemo;

Button1: TButton;

procedure Button1Click(Sender: TObject);

private

{ Private declarations }

public

{ Public declarations }

end;

var

Form1: TForm1;

implementation

{$R *.dfm}

procedure TForm1.Button1Click(Sender: TObject);

varx,y,t,a,b,c,s:real;

begin

x:=strtofloat(edit1.Text);

y:=strtofloat(edit2.Text);

a:=sqr(cos(x));

b:=2/3+sqrt(x+y);

c:=ln(x);

s:=a+(b/c);

memo1.Lines.Add('x='+edit1.Text+'y='+edit2.Text);

memo1.Lines.Add('Результат t='+floattostr(s));

end;

end.

Протокол программы представлен на рисунке 6.3.

 

Рисунок 6.3

Вывод: В ходе лабораторного занятия созданы 2 программы, реализующие вычисления функций с помощью линейного алгоритма, выполнено тестирование и отладка алгоритмов работы программ. В ходе разработки программ приобрела навыки кодирования, отладки и тестирования линейных алгоритмов в среде Delphi.

 


 




Поделиться с друзьями:


Дата добавления: 2014-12-25; Просмотров: 940; Нарушение авторских прав?; Мы поможем в написании вашей работы!


Нам важно ваше мнение! Был ли полезен опубликованный материал? Да | Нет



studopedia.su - Студопедия (2013 - 2025) год. Все материалы представленные на сайте исключительно с целью ознакомления читателями и не преследуют коммерческих целей или нарушение авторских прав! Последнее добавление




Генерация страницы за: 0.008 сек.