Студопедия

КАТЕГОРИИ:


Архитектура-(3434)Астрономия-(809)Биология-(7483)Биотехнологии-(1457)Военное дело-(14632)Высокие технологии-(1363)География-(913)Геология-(1438)Государство-(451)Демография-(1065)Дом-(47672)Журналистика и СМИ-(912)Изобретательство-(14524)Иностранные языки-(4268)Информатика-(17799)Искусство-(1338)История-(13644)Компьютеры-(11121)Косметика-(55)Кулинария-(373)Культура-(8427)Лингвистика-(374)Литература-(1642)Маркетинг-(23702)Математика-(16968)Машиностроение-(1700)Медицина-(12668)Менеджмент-(24684)Механика-(15423)Науковедение-(506)Образование-(11852)Охрана труда-(3308)Педагогика-(5571)Полиграфия-(1312)Политика-(7869)Право-(5454)Приборостроение-(1369)Программирование-(2801)Производство-(97182)Промышленность-(8706)Психология-(18388)Религия-(3217)Связь-(10668)Сельское хозяйство-(299)Социология-(6455)Спорт-(42831)Строительство-(4793)Торговля-(5050)Транспорт-(2929)Туризм-(1568)Физика-(3942)Философия-(17015)Финансы-(26596)Химия-(22929)Экология-(12095)Экономика-(9961)Электроника-(8441)Электротехника-(4623)Энергетика-(12629)Юриспруденция-(1492)Ядерная техника-(1748)

Диаграмма условных напряжений. Механические характеристики материала




Ординаты диаграммы растяжений в координатах не являются качественными характеристиками материала, поскольку растягивающая образец сила зависит от площади сечения, а удлинение образца – от его длины. Чтобы исключить влияние размеров образца и получить диаграмму не образца, а самого материала и дать количественную оценку механическим свойствам, диаграмму растяжений, полученную в ходе испытаний (т.н. машинную диаграмму) перестраивают в координатах путём деления абсцисс – на первоначальную фиксированную длину образца (мм), а ординат (Н) на первоначальную площадь сечения образца (мм2), т.е.:

, (1.1)

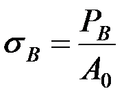
, МПа (1.2)

Перестроенная таким образом диаграмма называется диаграммой условных напряжений или диаграммой деформаций. С помощью неё можно определить прочностные характеристики материала, к которым относятся:

 

1) Предел пропорциональности – наибольшее напряжение, после которого нарушается справедливость закона Гука , где – модуль продольной упругости. При этом , где – угол наклона к оси абсцисс прямолинейной части диаграммы.

Предел пропорциональности (МПа) определяется по формуле:

, (1.3)

где – максимальное усилие на диаграмме растяжения (Н), после которого линейная зависимость исчезает.

Обычно при практических расчётах для невязких (хрупких) материалов отклонение от закона Гука не учитывают, т.е. криволинейную часть диаграммы заменяют условной, прямолинейной. При аналитическом способе определения величины с допуском 50% необходимо установить значение напряжения, при котором уменьшается на 50% по сравнению с тангенсом угла наклона максимального значения на линейном (упругом) участке. Для этого следует рассчитать тангенс угла наклона линии графика к оси абсцисс на -ом участке диаграммы:

, (1.4)

и проследить за его изменением.

Для проверки правильности найденного значения усилия , и соответствующего предела пропорциональности можно воспользоваться графическим способом.

Пусть точка (рис. 1.8) соответствует значению , найденного аналитическим способом. Через точку параллельную оси абсцисс проводят прямую , и откладывают на ней отрезок , в два раза меньший отрезка : . Тангенс угла наклона прямой к оси ординат будет, очевидно, на 50% больше тангенса угла наклона прямолинейного участка диаграммы растяжения. Поэтому касательная к диаграмме , проведенная параллельно , должна иметь точку качания, совпадающую с точкой . Если визуальное расхождение является существенным, то результаты аналитического способа определения значений и необходимо пересмотреть.

 

2) Предел текучести – напряжение, при котором происходит рост деформации без заметного увеличения растягивающей нагрузки. Если на диаграмме условных напряжений присутствует явно выраженная площадка текучести (рис. 1.4, линия 2), то предел текучести определяется по формуле:

. (1.5)

 

 

 

 


Рис. 1.8. Графический способ определения

условного предела пропорциональности

 

 

Если на площадке текучести наблюдается внезапное падение нагрузки, то выделяют, соответственно, верхний и нижний пределы текучести.

Для материалов без чётко выраженного предела текучести (рис. 1.4, линии 1, 3, 4), определяют условный предел текучести , который соответствует остаточной деформации, равной 0,2%. В этом случае поступают следующим образом.

Сначала определяют величину остаточной деформации в виде отрезка:

, (1.6)

где , – начальная длина образца до проведения испытаний на растяжение (рис. 1.1).

Затем по оси абсцисс, вправо от начала координат, отмеряют отрезок равный величине (рис. 1.9). Через начало координат и точку , соответствующую ординате предела пропорциональности (рис. 1.8), проводят прямую . И, наконец, через точку проводят прямую , параллельную прямой , где точка лежит на линии графика диаграммы растяжения. Ордината точки будет соответствовать величине силы , по значению которой и определяют условный предел текучести:

. (1.7)

 

 

 

 


Рис. 1.9. Графический способ определения

условного предела текучести

 

 

3) Предел прочности (временное сопротивление) – напряжение, соответствующее наибольшей нагрузке (рис. 1.4), предшествующей разрыву образца:

. (1.8)

Предел прочности на диаграмме соответствует точке, в которой касательная параллельна оси абсцисс.

 

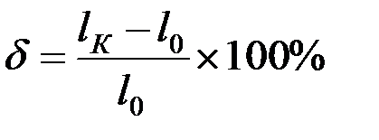
Кроме перечисленных выше характеристик прочности (, , ), при испытании на растяжение определяют также относительное удлинение после разрыва и относительное сужение после разрыва .

 

4) Относительное удлинение:

, (1.9)

где – первоначальная расчетная длина образца; – конечная расчетная длина образца.

Разность в данном случае можно принять равной величине остаточной деформации: .

 

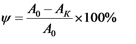
5) Относительное сужение:

, (1.10)

где – начальная площадь поперечного сечения образца; – площадь поперечного сечения в наиболее тонком месте шейки после разрыва (рис. 1.1 и 1.6).

Механические характеристики и являются характеристиками пластичности материала: чем они больше, тем материал пластичнее. Для большинства сталей, , .

 

С помощью диаграммы также может быть определена удельная работа деформации при растяжении образца или статическая вязкость (Дж/мм3)[1], вычисляемая по формуле:

, (1.11)

где – работа, затраченная на разрушение образца (Н·мм); – начальный объём расчетной части образца (мм3).

Начальный объём определяется по формуле:

(1.12)

где – соответственно площадь поперечного сечения (мм2) и начальная длина образца (см. рис 1.1).

 

Работа, затраченная на пластическую деформацию пропорциональна площади диаграммы растяжения (рис. 1.10):

, (1.13)

где: – площадь диаграммы, см2. Определяется непосредственно из построенной диаграммы (рис. 1.10): , – число полных квадратов (размер одного квадрата 1 см ×1 см) – на рисунке выделены серым цветом, – число неполных квадратов – на рисунке белым цветом; – масштаб усилий (Н/см), численно равный величине усилия (Н), соответствующего 1 см длины по оси ординат; – масштаб удлинений (мм/см), численно равный величине удлинения (мм), соответствующего 1 см длины по оси абсцисс.

 

Линия проводится параллельно отрезку , который соответствует упругой деформации (см. также рис. 1.3). Как было указано ранее, отрезок соответствует величине остаточной (пластической) деформации.

Удельная работа пластической деформации при испытании образца до разрушения, наряду с характеристиками пластичности, используется в качестве показателя, определяющего в какой-то мере вероятность хрупкого разрушения, а также для оценки обрабатываемости материала. Показатель статической вязкости имеет большое значение, например, для определения геометрических параметров пружин.


 

 

 


Рис. 1.10. К нахождению работы, затраченной на растяжение




Поделиться с друзьями:


Дата добавления: 2014-12-26; Просмотров: 859; Нарушение авторских прав?; Мы поможем в написании вашей работы!


Нам важно ваше мнение! Был ли полезен опубликованный материал? Да | Нет



studopedia.su - Студопедия (2013 - 2026) год. Все материалы представленные на сайте исключительно с целью ознакомления читателями и не преследуют коммерческих целей или нарушение авторских прав! Последнее добавление




Генерация страницы за: 0.013 сек.