Студопедия

КАТЕГОРИИ:


Архитектура-(3434)Астрономия-(809)Биология-(7483)Биотехнологии-(1457)Военное дело-(14632)Высокие технологии-(1363)География-(913)Геология-(1438)Государство-(451)Демография-(1065)Дом-(47672)Журналистика и СМИ-(912)Изобретательство-(14524)Иностранные языки-(4268)Информатика-(17799)Искусство-(1338)История-(13644)Компьютеры-(11121)Косметика-(55)Кулинария-(373)Культура-(8427)Лингвистика-(374)Литература-(1642)Маркетинг-(23702)Математика-(16968)Машиностроение-(1700)Медицина-(12668)Менеджмент-(24684)Механика-(15423)Науковедение-(506)Образование-(11852)Охрана труда-(3308)Педагогика-(5571)Полиграфия-(1312)Политика-(7869)Право-(5454)Приборостроение-(1369)Программирование-(2801)Производство-(97182)Промышленность-(8706)Психология-(18388)Религия-(3217)Связь-(10668)Сельское хозяйство-(299)Социология-(6455)Спорт-(42831)Строительство-(4793)Торговля-(5050)Транспорт-(2929)Туризм-(1568)Физика-(3942)Философия-(17015)Финансы-(26596)Химия-(22929)Экология-(12095)Экономика-(9961)Электроника-(8441)Электротехника-(4623)Энергетика-(12629)Юриспруденция-(1492)Ядерная техника-(1748)

Электромагнетизм




E) в диэлектриках- решеточная, в металлах- решеточная и электронная

С) только решеточная

E) сопротивление

Е) 8 В

· Не влияют на величину емкости проводника …

А) среда, окружающая проводник

В) форма

С) размеры

D) заряд

Е) напряжение

· Количество электричества, протекающего через поперечное сечение

проводника в единицу времени….

A) напряжение

B) сила тока

C) э.д.с.

D) мощность

· По физическому смыслу определяет….

А) потенциал данной точки поля

В) объёмную плотность энергии электрического поля в среде

С) энергию электрического поля

D) связь между векторами Е и D

Е) поляризованность диэлектрика

· Теплопроводность твердых тел……

А) в диэлектриках решеточная, в металлах электронная

В) в диэлектриках - электронная, в металлах – ионная

D) только электронная

· Источник тока ЭДС которого 1,5В, дает во внешнюю цепь силу тока 1А.

Внутреннее сопротивление источника 0,2Ом. К.П.Дисточника равен…

A) 87 %

B) 60 %

C) 52 %

D) 72 %

E) 47 %

· Плотность тока, в медном проводнике длиной 1м приразности потенциа-

лов на его концах 2В равна… (r = 16 • 10-9Ом•м):

А) 320 МА/м2

В) 0,32 А/м2

C) 0,8 А/ м2

D) 125 МА/м2

E) 80 МА/м2

· Вещества называются ферромагнетиками, если…

А)

В)

С)

D)

Е)

· Прямоугольная катушка из 1000 витков со сторонами 5 и 4 см находится в

однородном магнитном поле с индукцией 0,5 Тл. Сила тока в катушке 2 А.

Максимальный вращающий момент, действующий на катушку равен…

А) 1 Н∙м

В) 10-3 Н∙м

С) 2 Н∙м

D) 20 Н∙м

Е) 10-3 Н∙м

· Напряженность магнитного поля 100 А/м. Магнитная индукция этого

поля в вакууме…..

A) 12, 6 Тл

B) 155 Тл

C) 126 Тл

D) 126 мкТл

E) 100 Тл

· Эффект Холла…

А) вытеснение быстропеременных токов на поверхность проводника

В) изменение силы тока в контуре вызывает дополнительный ток в контуре

С) изменение магнитного потока в контуре вызывает появление электри -

ческого тока

D) электрические токи создают вокруг себя вихревое магнитное поле

Е) возникновение в металле, помещенном в магнитное поле, поперечного

электрического поля

· Рамка с током 5А содержит 20 витков тонкого провода. Магнитный мо -

мент рамки с током, если ее площадь 10 см2 равен…

А) 0,1 А·м2

В) 100 А·м2

С) 0,01 А·м2

D) 1 А·м2

E) 10 А·м2

· По обмотке соленоида индуктивностью 0,2Гн течет ток 10А. Энергия

магнитного поля соленоида равна…

A) 100 Дж

B) 20 Дж

C) 50 Дж

D) 10 Дж

E) 30 Дж

· Период вращения электрона в неоднородном магнитном поле с индукцией

B выражается формулой…

A)

B)

C)

D)

E)

· … = IdФ – по этой формуле вычисляется …

A) Э.Д.С. электромагнитной индукции

B) магнитный поток

C) магнитный момент контура с током

D) плотность тока смещения

E) работа по перемещению проводника с током

· Возникновение ЭДС в цепи, которое вызвано изменением магнитного поля

тока, текущего в той же цепи …

A) электромагнитная индукция

B) самоиндукция

C) ток смещения

D) скин-эффект

E) токи Фуко

· Плоский контур площадью 50 см2 пронизывает магнитный поток 2 мВб

при индукции поля 0,4 Тл. Угол между плоскостью контура и направле-

нием поля равен….

А) 300

В) 00

С) 900

D) 600

Е) 450

· Сила Ампера, действующая на проводник с током в магнитном поле,

определяется по формуле….

А)

B)

C)

D)

E)

· Энергия магнитного поля катушки с индуктивностью 200мкГн по которо-

му течет ток 1А равна…

А) 2×10-2 Дж

В) 200 Дж

С) 0,1 Дж

D) 4 Дж

Е) 10-4 Дж

· Правило Ленца…

A) индукционный ток в контуре имеет всегда такое направление, что

создаваемое им магнитное препятствует изменению магнитного

потока, вызвавшего этот индукционный ток

B) если ладонь левой руки расположить так, чтобы в нее входил вектор В,

а четыре вытянутых пальца расположить по направлению тока в

проводнике, то отогнутый большой палец покажет направление силы,

действующей на ток

C) головка винта буравчика, ввинчиваемого по направлению тока,

вращается в направлении линии магнитной индукции, возникающего в

 

й на ток.кционный ток.проводнике

D) алгебраическая сумма токов, сходящихся в узле, равна нулю

E) среди ответов нет правильного, правильный ответ следующий:

· ЭДС индукции в замкнутом проводящем контуре будет максимальной,

если…..

A) плоскость контура перпендикулярна линиям магнитной индукции

B) плоскость контура параллельна линиям магнитной индукции

C) плоскость контура составляет острый угол с линиями магнитной

индукции

D) плоскость контура составляет тупой угол с линиями магнитной

индукции

E) среди ответов нет правильного

· Закон Био – Савара - Лапласа в общем виде имеет вид…

А)

В)

С)

D)

Е)

· Электрон влетает в однородное магнитное поле со скоростью 16000 км/с.

Магнитная индукция поля, если электрон движется в магнитном поле по

окружности радиусом 1 см равна…

A) 14,5∙10-6 Тл

B) 9,1∙10-3 Тл

C) 5,68∙105 Тл

D) 8,5 Тл

E) 9,1∙10-6 Тл

 

· Направление магнитного момента рамки с током определяет….

A) правило левой руки

B) правило буравчика (правый винт)

C) правило Ленца

D) правило отбора

E) правило смещения

· ЭДС индукции в плоской рамке, равномерно вращающейся в однородном

магнитном поле можно увеличить, если…..

А) увеличить магнитный поток через рамку

В) уменьшить магнитный поток через рамку

C) уменьшить скорость изменения магнитного потока через рамку

D) увеличить скорость изменения магнитного потока через рамку

E) увеличить B или S

· Магнитожесткими являются ферромагнетики …..

A) с малой коэрцитивной силой и узкой петлей гистерезиса

B) с высокой точкой Кюри и узкой петлей гистерезиса

C) с большой остаточной намагниченностью

D) со слабой намагниченностью

E) с большой коэрцитивной силой и широкой петлей гистерезиса

· Напряженность в центре кругового витка радиусом 30 см, по которому

течет ток 15А равна…

A) 45 A/м

B) 50 A/м

С) 25 A/м

D) 4,5 A/м

E) 2 A/м

· Индукция магнитного поля в центре витка радиусом 2 см при силе тока

5А равна… (μ0=4π·10-7 Гн/м).

A) 6,28·10-4 Тл

B) 3,14·10-7 Тл

C) 6,28·10-7 Тл

D) 2,5·10-4 Тл

E) 15,7·10-5 Тл

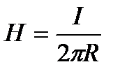
· Напряженность магнитного поля в центре кругового тока определяется

по формуле….

А)

В)

С)

D)

Е)

 

· Магнитный момент плоского контура 0,25 А·м2 при силе тока 15 А.

Площадь контура равна….

A) 0,2 м2

B) 0,03 м2

C) 0,016 м2

D) 2 м2

E) 3,75 м2

· Заряженная частица движется по окружности, если… (a – угол между

направлением скорости υ и направлением поля B)

A) a = 0

B) a = 180°

C) a = 90°

D) 0 < a < 90°

E) a = 45°

· Индуктивность контура зависит…..

A) только от геометрической формы контура

B) только от размеров контура

C) только от магнитной проницаемости среды, в которой находится

контур

D) правильный ответ при выполнении условий A), B), C)

E) среди ответов нет правильного.

· При размыкании цепи зависимость силы тока от времени выражается

формулой….

А)

В)

С)

D)

E)

· Площадь контура равна 4 см2, сила тока 20 А. Магнитный момент плоско-

го контура равен..

A) 0,002 А·м2

B) 0,2 А·м2

C) 0,008 А·м2

D) 2 А·м2

E) 3,5 А·м2

·

N
S
+
-
Направление вращения рамки с током в магнитном поле можно изменить,

если…

 

А) уменьшить силу тока

B) увеличить силу тока

C) изменить конфигурацию рамки

D) изменить полярность

E) среди ответов нет правильного

· Кольцо радиусом 10 см находится в однородном магнитном поле с

индукцией 0,3 Тл. Плоскость кольца составляет с линиями индукции угол

60°. Магнитный поток равен…

А) 0,6×10-2 Вб

B) 0,54×10-2 Вб

С) 0,31×10-2 Вб

D) 0,25×10-2 Вб

E) 0,47×10-2 Вб

· Электромагнитная индукция – это явление, когда…

A) электрические токи создают вокруг себя магнитное поле

B) магнитное поле вызывает появление электрических токов

C) изменение силы тока вызывает дополнительный ток в контуре

D) при помещении образца между полюсами сильного электромагнита

возникает разность потенциалов

E) в результате нарастающего тока выделяется большее количество

теплоты

· Напряженность магнитного поля возросла в 2 раза. Объемная плотность

энергии магнитного поля….

А) в 2 раза увеличилась

В) не изменилась

С) в 4 раза увеличилась

D) в 2 раза уменьшилась

Е) в 4 раза уменьшилась

· Ток замыкания выражается формулой…

А)

В)

С)

D)

E)

· Напряженность магнитного поля 250 А/м. Магнитная индукция этого

поля равна….

А) 126 Tл

B) 3,1· 10 –4 Тл

C) 5·10 –6

D) 6,5·10 7

E) 4,8·10 –5

· Закон Био – Савара - Лапласа конечного проводника с током имеет вид..

А)

В)

С)

D)

Е)

· Направление линий магнитной индукции определяется….

А) по правилу левой руки

В) по правилу буравчика (правый винт)

С) по правилу Ленца

D) по правилу отбора

Е) по правилу смещения

· Магнитомягкими являются ферромагнетики….

A) с малой коэрцитивной силой

B) с большой коэрцитивной силой

C) с большой остаточной намагниченностью

D) с малой магнитной восприимчивостью

E) с малой остаточной намагниченностью

· Контур с током вращается в магнитном поле, однако магнитный поток

через него не изменяется. Это ….

A) возможно, если ось вращения рамки параллельна индукции поля

B) возможно, если ось вращения рамки перпендикулярна индукции поля

C) нет, в любом случае поток через рамку изменяется

D) возможно, если только ток отсутствует

E) среди ответов нет правильного

· Магнитный поток однородного магнитного поля, создаваемый электро -

магнитом, если индукция магнитного поля 0.5Тл, а площадь поперечного

сечения 100 см 2 равен..

А) 2·10 2

B) 0,5 Вб

C) 5×10 –3 Вб

D) 0,5 Вб

E) 5 Вб

· Магнитный поток, создаваемый током в контуре с индуктивностью L

выражается формулой….

A)

B)

C)

D)

E)

· Генри - это …

A) индуктивность такого контура, магнитный поток самоиндукции

которого при силе в 1 А равен 1 Вб

B) магнитная индукция такого однородного магнитного поля, который

действует с силой в 1 Н на каждый метр длины прямолинейного

проводника, расположенного перпендикулярно направлению поля,

если по этому проводнику проходит ток в 1 А

C) напряженность такого поля, магнитная индукция которого в вакууме

равна 4p×10-7Тл

D) напряженность такого поля, который на точечный заряд 1Кл действует

с силой 1 Н

E) среди ответов нет правильного, правильный ответ следующий….

· Площадь контура равна 0,02м2, магнитный момент плоского контура

равен 0,38 А·м2. Сила тока равна….

A) 2 А

B) 0,76 А

C) 19 А

D) 0,05 А

E) 3 А

· Диамагнетиками называются вещества, если…

А)

В)

С)

D)

Е)

· Направление силы Лоренца определяется по …

A) правилу левой руки

B) правилу буравчика

C) правилу Ленца

D) направлению силовых линий

E) правильного ответа нет

· Закон электромагнитной индукции выражается формулой…..

A)

B)

C)

D )

E )

 

· Магнитный поток 40 мВб пронизывает замкнутый контур. Cреднее зна -

чение ЭДС индукции, возникающей в контуре, если магнитный поток

изменился до нуля за время 2 мс равно….

A) 2 B

B) 20 B

C) 4 B

D) 40 B

E) 80 B

· Ток размыкания определяется по формуле….

А)

В)

С)

D)

E)

· Закон Био – Савара - Лапласа на оси кругового тока….

А)

В)

С)

D)

Е)

· Явление взаимной индукции…..

А) при изменении потока магнитной индукции в замкнутом проводящем

контуре возникает ЭДС индукции

B) возникновение ЭДС индукции в одном из контуров при изменении

силы тока в другом

C) возникновение ЭДС индукции в проводящем контуре при изменении в

нем силы тока

D) быстропеременный ток вытесняется на поверхность проводника

Е) нет правильного ответа

· Парамагнетиками называются вещества …

А)

В)

С)

D)

Е)

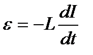
· ЭДС самоиндукции определяется по формуле...

A)

B)

C)

D)

E)

· По соленоиду электрический ток с силой 2 А. Число витков соленоида

200, а длина 1 м. Напряженность магнитного поля соленоида равна….

А) 300 А/м

В) 400 А/м

С) 150 А/м

D) 250 А/м

Е) 200 А/м

· Закон полного тока для магнитного поля в вакууме имеет вид….

A)

B)

C)

D)

E)

· В прямолинейном бесконечном длинном проводе, расположенном в воз-

духе, сила тока равна 6,28 А. Индукция магнитного поля этого тока на

расстоянии 40 см от провода, равна…..

А) 7,85 мТл

В) 7,57 мТл

С) 0,2 мТл

D) 3,14 мкТл

Е) 3,14 мТл

· Сила тока в горизонтально расположенном проводнике длиной 10 см и

массой 10 г равна 5А. Чтобы сила тяжести уравновешивалась силой

Ампера, индукция перпендикулярного проводнику магнитного поля

должна быть равна……

A) 5.10-3

B)

C) Тл

D) 0,2 Тл

E) Тл

 

· Ферромагнетики – это магнетики, у которых магнитная восприим-

чивость…

А) положительна и мала по величине

В) положительна и достигает очень больших значений

С) то положительна, то отрицательна в зависимости от молекулярного

строения вещества

D) отрицательна и мала по абсолютной величине

Е) отрицательна и достигает по абсолютной величине больших значений

· В однородном магнитном поле с индукцией В равномерно с угловой

скоростью ω вращается рамка, содержащая N витков площадью S. Ось

вращения лежит в плоскости рамки и перпендикулярна линиям индукции.

Максимальная ЭДС индукции, возникающая в рамке равна:

А) NBS cos ωt

B)

C) NBS ω

D) NBS

E)

· Магнитный поток через поверхность, ограниченную замкнутым прово -

водящим контуром, увеличивается прямо пропорционально времени.

Что можно сказать о силе индукционного тока, возникающего в этом

контуре….

А) сила тока постоянна

В) сила тока увеличивается прямо пропорционально времени.

С) сила тока равна нулю

D) в контуре возникает переменный ток

Е) сила тока равномерно убывает

· Стационарное магнитное поле обусловлено….

А) движущимися зарядами, т.е. токами

В) изменением электрического поля

С) электрическими зарядами

D) электрическим полем

Е) магнитным потоком

· Вращающий момент, действующий на контур с током в магнитном поле,

вычисляется по формуле….

А)

B)

C)

D)

E)

· Вектор индукции магнитного поля характеризует поле, создаваемое…..

А) только микротоками

В) макротоками и микротоками

С) только свободными и связанными зарядами

D) свободными и связанными зарядами

Е) только макротоками

· Собственный механический момент импульса электрона однозначно

характеризуется…

А) магнитным квантовым числом m

В) набором квантовых чисел n, s

C) спиновым квантовым числом s

D) главным квантовым числом n

Е) орбитальным квантовым числом l

· Вихревыми называются….

А) индукционные токи, возникающие в замкнутых проводниках

B) токи, возникающие при облучении проводника радиоволнами

C) индукционные токи, возникающие при изменении магнитного поля

D) токи, возникающие под действием внешнего электрического поля

E) токи, возникающие в самом контуре, по которому текут переменные

токи

· На проводник длиной 0,5м, помещенный в однородное магнитное поле с

индукцией 0,4Тл, действует сила 0,2Н. Сила тока в проводнике, если он

расположен под углом 300 к линиям магнитной индукции равна..

А) 0,2 А

В) 4 А

С) 2 А

D) 3 А

Е) 1 А

· Прямой провод длиной 0,1м, по которому течет ток силой 10А, находится

в однородном магнитном поле с индукцией 0,22Тл. Угол между направ-

лениями вектора магнитной индукции и тока, если на провод действует

сила 10мН равен...

А) 450

В) 900

С) 600

D) 300

Е) 00

· Ферромагнетик превращается в парамагнетик….

А) при увеличении напряженности внешнего магнитного поля

В) при изменении направления вектора напряженности внешнего

магнитного поля

С) при нагревании до точки Кюри

D) ни при каких условиях

Е) при уменьшении напряженности внешнего магнитного поля

· Если число витков катушки уменьшить в 6 раз, но сохранить ее геомет -

рические размеры и ток в обмотке, то индуктивность катушки….

A) увеличится в 36 раз

B) увеличится в 6 раз

C) не изменится, т.к. не зависит от числа витков

D) уменьшится в 36 раз

E) уменьшится в 6 раз

· Постоянное магнитное поле над движущейся в нем заряженной частицей

совершает работу, равную…

А)

В) А =0

С)

D)

Е)

· Чтобы при изменении магнитной индукции от 0,2 до 0,6Тл в течение 4мс

В катушке с площадью поперечного сечения 50 возбуждалась ЭДС

индукции 5В, она должна содержать количество витков, равное…

А) 50

В) 200

С) 100

D) 100

Е) 10

· Начальная скорость заряженной частицы составляет угол α =900 c линия-

ми индукции однородного магнитного поля. Частица движется….

A) по прямой

B) по эллипсу

C) по окружности

D) по параболе

E) по винтовой линии

· Энергия магнитного поля при увеличении силы тока в 4 раза…..

A) увеличится в 2 раза

B) уменьшится в 4 раза

C) увеличится в 4 раза

D) увеличится в 16 раз

E) уменьшится в 2 раза

· Индуктивность бесконечного соленоида при его заполнении однородным

изотропным магнетиком с проницаемостью μ …..

А) не изменится

В) увеличится в μ 2 раз

С) уменьшится в μ 2 раз

D) увеличится в μ раз

Е) уменьшится в μ раз

· Формула плотности энергии магнитного поля имеет вид..

А)

В) I²R t

С)

D)

Е) cm∆t

· При увеличении в 3 раза скорости частицы и уменьшении в 3 раза индук-

ции магнитного поля радиус кривизны траектории движения заряженной

частицы в масс-спектрографе....

A) уменьшится в 3 раза

B) увеличится в 3 раза

C) не изменится

D) увеличится в 9 раз

E) уменьшится в 9 раз

· По катушке с индуктивностью 0,1Гн течет электрический ток с силой 10А

Магнитный поток самоиндукции пронизывающий этукатушку равен..

А) 2 Вб

В) 1,5 Вб

С) 1 Вб

D) 2,5 Вб

Е) 3 Вб

· По катушке индуктивностью 2Гн проходит ток 4А, то магнитный поток

внутри катушки равен….

А) 6 Вб

В) 60 Вб

С) 8 Вб

D) 32 Вб

Е) 150 Вб

· Напряженность магнитного поля в точке, отстоящей на 2см от бесконечно

длинного провода, по которому течет ток в 5А равна...

A) 120 А/м

B) 4 А/м

C) 3,98 А/м

D) 39,8 А/м

E) 30,5 А/м

· Двухвалентный ион со скоростью 480км/с в однородном магнитном поле

индукцией 0,1Тл и описывает окружность радиусом 10см. Масса иона

равна….

A) 7,7 кг

B) 6,7 кг

C) 1.54 кг

D) 6,7 кг

E) 3,3 кг

· Сила взаимодействия между проводами двухпроводной линии постоянно-

го тока на каждый метр длины равна 10-4Н, расстояние между проводами

20см. Сила тока в проводах равна…..

А) 10 А

В) 6,3 А

С) 20 А

D) 4 А

Е) 2 А

· ЭДС самоиндукции в катушке с индуктивностью 2Гн, если сила тока в

ней за 0,1с равномерно уменьшилась от 5А до 3А равна…

А) 100 В

B) 40 В

C) 10 В

D) 20 В

E) 0,4 В

· При равномерном изменении силы тока в обмотке электромагнита индук-

тивностью 0,8Гн за 0,02с на 3 А в ней возбуждается ЭДС самоиндукции...

А) 48 В

B) 24 В

C) 12 В

D) 240 В

E) 120 В

· Если длину соленоида уменьшить вдвое, оставив прежними значения

числа витков и силу тока, то индукция магнитного поля…..

A) увеличится в 4 раза

B) уменьшится в 4 раза

C) увеличится в 2 раза

D) не изменится

Е) уменьшится в 2 раза

· На проводник с током 1,5А, помещенный в однородное магнитное поле

индукцией 4Тл, действует сила 10Н. Проводник расположен под углом

45° к линиям магнитной индукции. Длина активной части проводника

равна…

A) 4,67 м

B) 5,34 м

C) 0,42 м

D) 10,7 м

E) 2,38 м

· Величина модуля нормальной составляющей ускорения заряженной

частицы в постоянном магнитном поле равна….

A)

B)

C)

D)

E)

· Единица напряженности магнитного поля….

А) Вб

В) А/м

C) B×c/A

D) Тл

Е) Н/А

· Ферромагнетик размагничивается на участке…

 

A) 0-1 B) 2-3 C) 3-4 D) 6-l E) 0-6

· Индуктивность катушки с железным сердечником равна 25Гн. ЭДС само-

индукции в момент размыкания цепи, если скорость изменения силы тока

в ней равна .

A) - 0,25В

B) - 2500В

C) 250В

D) - 250В

E) - 25В

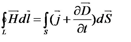
· Уравнение Максвелла, отражающее тот факт, что в пространстве, где

изменяется электрическое поле, возникает вихревое магнитное поле….

А)

В)

С)

D)

Е)

· В прямолинейном бесконечном длинном проводе, расположенном в воз-

духе, сила тока равна 6,28А. Индукция магнитного поля этого тока на

расстоянии 40сот провода, равна….

А) 7,85 мТл

В) 3,14 мТл

С) 0,2 мТл

D) 7,57 мТл

Е) 3,14 мкТл

· Закон Ампера в скалярном виде…

А)

В)

С)

D)

Е)

· Из провода изготовлена катушка длиной 6,28см радиусом 1см. Она содер-

жит 200 витков и по ней проходит ток 1А. Магнитный поток внутри ка -

тушки равен…

A) 6,28∙10-7 Вб

B) 3,14∙10-6 Вб

C) 12,56∙10-7 Вб

D) 12,56∙10-6 Вб

E) 125,6∙10-6 Вб

· Электромагнитное взаимодействие ответственно за…..

А) стабильность g

B)стабильность нейтрона

C) стабильность атомов и молекул

D) стабильность протона

E) стабильность ядер

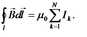
· Циркуляция вектора напряженности магнитного поля вдоль контура L,

охватывающего 3 из 5 проводников с током равна… Величины и направле-

ния токов в проводниках указаны на рисунке…

2A




Поделиться с друзьями:


Дата добавления: 2014-12-26; Просмотров: 895; Нарушение авторских прав?; Мы поможем в написании вашей работы!


Нам важно ваше мнение! Был ли полезен опубликованный материал? Да | Нет



studopedia.su - Студопедия (2013 - 2026) год. Все материалы представленные на сайте исключительно с целью ознакомления читателями и не преследуют коммерческих целей или нарушение авторских прав! Последнее добавление




Генерация страницы за: 0.011 сек.