Студопедия

КАТЕГОРИИ:


Архитектура-(3434)Астрономия-(809)Биология-(7483)Биотехнологии-(1457)Военное дело-(14632)Высокие технологии-(1363)География-(913)Геология-(1438)Государство-(451)Демография-(1065)Дом-(47672)Журналистика и СМИ-(912)Изобретательство-(14524)Иностранные языки-(4268)Информатика-(17799)Искусство-(1338)История-(13644)Компьютеры-(11121)Косметика-(55)Кулинария-(373)Культура-(8427)Лингвистика-(374)Литература-(1642)Маркетинг-(23702)Математика-(16968)Машиностроение-(1700)Медицина-(12668)Менеджмент-(24684)Механика-(15423)Науковедение-(506)Образование-(11852)Охрана труда-(3308)Педагогика-(5571)Полиграфия-(1312)Политика-(7869)Право-(5454)Приборостроение-(1369)Программирование-(2801)Производство-(97182)Промышленность-(8706)Психология-(18388)Религия-(3217)Связь-(10668)Сельское хозяйство-(299)Социология-(6455)Спорт-(42831)Строительство-(4793)Торговля-(5050)Транспорт-(2929)Туризм-(1568)Физика-(3942)Философия-(17015)Финансы-(26596)Химия-(22929)Экология-(12095)Экономика-(9961)Электроника-(8441)Электротехника-(4623)Энергетика-(12629)Юриспруденция-(1492)Ядерная техника-(1748)

Определение физических свойств связных (глинистых) грунтов




Определение влажности, границ текучести и раскатывания пылевато-глинистых грунтов по ГОСТ 5780-84

№ пробы Номер выработки Глубина отбора образца в м Визуальное описание грунта Номер бюкса Масса влажного грунта с бюксом m1 Масса высушенного грунта с бюксом, m2 Масса бюкса, m Вода, m1 – m2 Сухой грунт, m2 - m Влажность, W, д.ед. Число пластичности L=Wт - Wp Показатель консистенции
Отдельной пробы Средняя
                         
    0,5   16,5 15,9 12,2 0,6 3,7 0,16 0,14    
  17,2 16,5 10,2 0,7 6,3 0,11    
  1,5   11,3 10,8 7,9 0,5 2,9 0,17 0,18 JP=0,14  
  11,2 10,7 7,9 0,5 2,8 0,18  
  17,8 16,4 7,8 1,4 8,6 0,16 0,22  
  18,8 17,3 11,7 1,5 5,6 0,27  
  12,7 12,3 7,9 0,4 4,4 0,09 0,08  
  16,6 10,2 12,3 0,3 4,3 0,07  
  2,5   9,3 9,1 7,8 0,2 1,3 0,15 0,13 JP=0,08  
  10,1 9,9 8,0 0,2 1,9 0,11  
  17,7 15,9 7,8 1,8 8,1 0,22 0,22  
  24,2 22,1 12,3 2,1 9,8 0,21  
  21,9 20,7 12,2 1,2 8,4 0,14 0,14  
  18,6 17,6 10,2 1,0 7,4 0,14  
  3,5   14,5 13,1 7,9 1,4 5,2 0,27 0,23 JP=0,10  
  21,3 19,8 11,3 1,5 8,5 0,18  
  13,7 12,0 6,3 1,7 5,7 0,3 0,29  
  16,7 14,8 8,1 1,9 6,7 0,28  
  12,1 11,4 7,9 0,7 3,5 0,2 0,19  
  12,1 11,5 8,0 0,6 3,5 0,17  

 

 

Остальные показатели физических свойств грунтов определяли расчетным способом.

1. Наименование (разновидность) глинистого грунта определяли по числу пластичности (таблица 1).

Число пластичности I p – разность влажностей, соответствующая двум состояниям грунта: на границе текучести WL и на границе раскатывания W p. W L и W p определяют по ГОСТ 5180 (таблица 1).

(1)

Основные разновидности грунтов по Ip (по ГОСТ 25100-95, табл.Б.11)

№ образца   Влажность, д. ед. Влажность, д. ед. JP, д. ед.
WL WP
  0,22 0,08 0,14
  0,22 0,14 0,08
  0,29 0,19 0,10

Таблица 1

Разновидность глинистых грунтов Чисто пластичности, д.ед.
Супесь 0,01—0,07
Суглинок 0,07—0,17
Глина >0,17

 

По полученным данным JP определяем разновидность грунта:

2 образец – суглинок;

3 образец – суглинок.

4 образец – суглинок.

 

2. Для характеристики консистенции глинистого грунта в строительных целях используют показатель текучести (консистенции) IL:

(2)

где W – естественная влажность грунта, д.ед.;

Wp – нижний предел пластичности (влажность на границе раскатывания), д.ед.;

Ip – число пластичности, д.ед.

Основные разновидности глинистых грунтов по IL (по ГОСТ 25100-95, табл.Б.14)

№ образца   W, д. ед. WP, д. ед. JP, д. ед. JL, д. ед.
  0,18 0,08 0,14 0,71
  0,13 0,14 0,08 -0,125
  0,23 0,19 0,10 0,4

 

Таблица 2.

Разновидность глинистых грунтов Показатель текучести IL
Супесь:  
— твердая < 0
— пластичная 0–1
—текучая > 1
Суглинки и глины: — твердые   <0
— полутвердые 0–0,25
— тугопластичные 0,25–0,50
— мягкопластичные 0,50–0,75
— текучепластичиые 0,75–1,00
— текучие > 1,00

 

По полученным данным JL определяем что:

2 образец – суглинок мягкопластичный;

3 образец – суглинок твёрдый.

4 образец – суглинок тугопластичный.

 

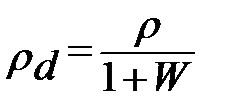
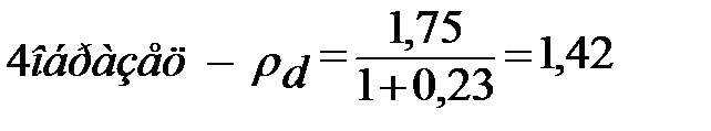
3. Рассчитывают плотность сухого грунта r d, г/см3 – отношение массы грунта (за вычетом массы воды и льда) к его объему:

(5)

где r — плотность грунта, г/см3;

W — влажность грунта, д. е.

 

№ образца   Влажность, д. ед. Плотность, г/см3 ρd, г/см3
W ρ
  0,18 1,69 1,43
  0,13 1,47 1,3
  0,23 1,75 1,42

 

4. Пористость грунта n, %, доли ед., – отношение объема пор ко всему объему грунта:

(6)

где ρs – плотность частиц грунта – масса единицы объема минеральной части, г/см3;

rd – плотность сухого грунта, г/см3.

 

№ образца   Плотность, г/см3 n, д. ед.
ρs ρd
  2,71 1,43 0,47
  2,71 1,3 0,52
  2,73 1,42 0,50

 

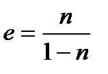
5. Коэффициент пористости е, доли ед., – отношение объема пор к объему твердой части скелета грунта:

или (7)

 

№ образца   n, д. ед. Плотность, г/см3
ρs ρd
  0,47 2,71 1,43 0,90
  0,52 2,71 1,3 1,09
  0,50 2,73 1,42 0,92

 

6. Коэффициент водонасыщения (степень влажности) Sr, доли ед., – степень заполнения объема пор водой:

(8)

где ρs – плотность частиц грунта, г/см3;

W –природная влажность, доли ед.;

е коэффициент пористости, доли ед.;

ρw плотность воды, принимаемая равной 1,0г/см3.

 

№ образца ρs, г/см3 W, д. ед. Sr
  2,71 0,18 0,90 0,54
  2,71 0,13 1,09 0,32
  2,73 0,23 0,92 0,68

 

7. Определяют степень морозной пучинистости грунта по его полной характеристике, (по ГОСТ 25100-95, табл.Б.27).

Таблица 3.

Разновидность грунтов Относительная деформация пучения e fn, д. е.   Характеристика грунтов
Практически непучинистый < 0,01 Глинистые при IL £ 0 Пески гравелистые, крупные и средней круп­ности, пески мелкие и пылеватые при Sr £ 0,б, а также пески мелкие и пылеватые, содержащие менее 15 % по массе частиц мельчи 0,05 мм (независимо от значения Sr). Крупнообломочные грунты с заполнителем до 10 %
Слабопучинистый 0,01 ¾ 0,035 Глинистые при 0 < IL £ 0,25 Пески пылеватые и мелкие при 0,6 < Sr £ 0,8 Крупнообломочные с заполнителем (глинистым, песком мелким и пылеватым) от 10 до 30 % по массе
Среднепучинистый 0,035 ¾ 0,07 Глинистые при 0,25 < IL £ 0,50 Пески пылеватые и мелкие при 0,80 < Su £ 0,95 Крупнообломочные с заполнителем (глинистым, песком пылеватым и мелким) более 30 % по массе
Сильнопучинистый и чрезмерно пучинистый > 0,07 Глинистые при IL > 0,50. Пески пылеватые и мелкие при Sr > 0,95

 

2 образец – Сильнопучинистый

3 образец – Практически непучинистый

4 образец – Среднепучинистый

 





Поделиться с друзьями:


Дата добавления: 2015-04-24; Просмотров: 723; Нарушение авторских прав?; Мы поможем в написании вашей работы!


Нам важно ваше мнение! Был ли полезен опубликованный материал? Да | Нет



studopedia.su - Студопедия (2013 - 2025) год. Все материалы представленные на сайте исключительно с целью ознакомления читателями и не преследуют коммерческих целей или нарушение авторских прав! Последнее добавление




Генерация страницы за: 0.007 сек.