Студопедия

КАТЕГОРИИ:


Архитектура-(3434)Астрономия-(809)Биология-(7483)Биотехнологии-(1457)Военное дело-(14632)Высокие технологии-(1363)География-(913)Геология-(1438)Государство-(451)Демография-(1065)Дом-(47672)Журналистика и СМИ-(912)Изобретательство-(14524)Иностранные языки-(4268)Информатика-(17799)Искусство-(1338)История-(13644)Компьютеры-(11121)Косметика-(55)Кулинария-(373)Культура-(8427)Лингвистика-(374)Литература-(1642)Маркетинг-(23702)Математика-(16968)Машиностроение-(1700)Медицина-(12668)Менеджмент-(24684)Механика-(15423)Науковедение-(506)Образование-(11852)Охрана труда-(3308)Педагогика-(5571)Полиграфия-(1312)Политика-(7869)Право-(5454)Приборостроение-(1369)Программирование-(2801)Производство-(97182)Промышленность-(8706)Психология-(18388)Религия-(3217)Связь-(10668)Сельское хозяйство-(299)Социология-(6455)Спорт-(42831)Строительство-(4793)Торговля-(5050)Транспорт-(2929)Туризм-(1568)Физика-(3942)Философия-(17015)Финансы-(26596)Химия-(22929)Экология-(12095)Экономика-(9961)Электроника-(8441)Электротехника-(4623)Энергетика-(12629)Юриспруденция-(1492)Ядерная техника-(1748)

Доказательство теоремы

Замечание

В теореме можно поменять ролями x и y, т.е. можно предположить, что выполнены следующие два условия:

1) область D такова, что любая прямая, параллельная оси Ох, пересекает границу Г по целому отрезку либо не более чем в двух точках, ординаты которых есть и , где ;

2) функция интегрируема в области D и для любого допускает существование однократного интеграла ( - проекция области D на ось Оy). Тогда существует повторный интеграл и справедливо равенство .

Если область D можно записать неравенствами:

, то ,

.

Справа стоит повторный интеграл, в котором внутренний интеграл вычисляется по переменной y в предположении, что x = const; результатом вычисления внутреннего интеграла является некоторая функция Ф(x). Затем вычисляется внешний интеграл от Ф(x) по переменной x в постоянных пределах; в результате получается число.

Вывод формулы:

Т.к. не зависит от способа разбиения области D на части, то сделаем разбиение горизонтальными и вертикальными прямыми на прямоугольные элементарные части. Всего элементарных частей будет: , n1 - количество частей по оси OX, n2 - количество частей по оси OY. - площадь элементарной части.

{выполним суммирование сначала по j, т.е. по вертикальным элементарным частям при фиксированном , затем по i, т.е. просуммируем массы вертикальных полосок}

(1)

Здесь

Смысл формулы (1) можно также проиллюстрировать на объеме цилиндроида, зная формулу для вычисления объема тела с известной площадью поперечного сечения:

- площадь поперечного сечения,

Теорема 1. Пусть область V ограничена снизу и сверху поверхностями и , где и - непрерывные функции в замкнутой области плоскости XOY, и цилиндрической поверхностью, у которой образующие параллельны оси Oz, а направляющей является граница области . Тогда для любой функции , непрерывной в замкнутой области V, имеет место формула

(1)

позволяющая свести вычисление тройного интеграл к вычислению двойного интеграла от определенного интеграла (короче, к вычислению повторного интеграла).

Интеграл, стоящий в правой части равенства, обычно записывают в виде:

При вычислении тройного интеграла по формуле (1) с помощью повторного интеграла сначала вычисляют внутренний интеграл по переменной z при постоянных x и y (x и y – параметры) в пределах изменения z (для области V) при постоянных x и y, а затем полученная функция x и y интегрируется по переменным x и y по области .

Рис. 4.13.1

Если при этом область плоскости XOY ограничена линиями x = a, y = b (a < b), [ и непрерывные на отрезке [а, b] функции, причем (рис. 4.13.1.)], то, перейдя от двойного интеграла по области к повторному, получаем формулу

(2)

позволяющую вычисление тройного интеграла заменить последовательным вычислением трех определенных интегралов.

В частности, если область V – параллелепипед с гранями x = a, x = b (a < b), y = c, y = d (c < d), z = l, z = k (l < k), то по формуле (2) имеем:

Для функции , равной произведению функций, каждая из которых зависит от одного лишь переменного:

тройной интеграл по этому параллелепипеду V равен произведению трех определенных интегралов:

 

Рис. 4.13.2 Рис. 4.13.3

Это равенство непосредственно следует из свойств тройных и двойных интегралов.

  1. Цилиндрическая система координат.

 

Цилиндрические координаты точки Р(ρ,φ,z) – это полярные координаты ρ, φ проекции этой точки на плоскость Оху и аппликата данной точки z (рис.2).

Формулы перехода от цилиндрических координат к декартовым можно задать следующим образом:

x = ρ cosφ, y = ρ sinφ, z = z. (9.4)

 

  1. Сферическая система координат.

 

В сферических координатах положение точки в пространстве определяется линейной координатой ρ – расстоянием от точки до начала декартовой системы координат (или полюса сферической системы), φ – полярным углом между положительной полуосью Ох и проекцией точки на плоскость Оху, и θ – углом между положительной полуосью оси Оz и отрезком OP (рис.3). При этом

Зададим формулы перехода от сферических координат к декартовым:

x = ρ sinθ cosφ, y = ρ sinθ sinφ, z = ρ cosθ. (9.5)

 

Якобиан и его геометрический смысл.

 

Рассмотрим общий случай замены переменных в двойном интеграле. Пусть в плоскости Оху дана область D, ограниченная линией L. Предположим, что х и у являются однозначными и непрерывно дифференцируемыми функциями новых переменных u и v:

x = φ(u, v), y = ψ(u, v). (9.6)

Рассмотрим прямоугольную систему координат Оuv, точка Р΄(u, v) которой соответствует точке Р(х, у) из области D. Все такие точки образуют в плоскости Оuv область D΄, ограниченную линией L΄. Можно сказать, что формулы (9.6) устанавливают взаимно однозначное соответствие между точками областей D и D΄. При этом линиям u = const и

v = const в плоскости Оuv будут соответствовать некоторые линии в плоскости Оху.

 

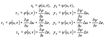
Рассмотрим в плоскости Оuv прямоугольную площадку ΔS΄, ограниченную прямыми u = const, u+Δu = const, v = const и v+Δv = const. Ей будет соответствовать криволинейная площадка ΔS в плоскости Оху (рис.4). Площади рассматриваемых площадок тоже будем обозначать ΔS΄ и ΔS. При этом ΔS΄ = Δu Δv. Найдем площадь ΔS. Обозначим вершины этого криволинейного четырехугольника Р1, Р2, Р3, Р4, где

P1(x1, y1), x1 = φ(u, v), y1 = ψ(u, v);

P2(x2, y2), x2 = φ(u+Δu, v), y2 = ψ(u+Δu, v);

P3(x3, y3), x3 = φ(u+Δu, v+Δv), y3 = ψ(u+Δu, v+Δv);

P4(x4, y4), x4 = φ(u, v+Δv), y4 = ψ(u, v+Δv).

Заменим малые приращения Δu и Δv соответствующими дифференциалами. Тогда

При этом четырехугольник Р1 Р2 Р3 Р4 можно считать параллелограммом и определить его площадь по формуле из аналитической геометрии:

(9.7)

Определение 9.3. Определитель называется функциональным определителем или якобианом функций φ(х, у) и ψ(х, у).

Переходя к пределу при в равенстве (9.7), получим геометрический смысл якобиана:

, (9.8)

то есть модуль якобиана есть предел отношения площадей бесконечно малых площадок ΔS и ΔS΄.

Замечание. Аналогичным образом можно определить понятие якобиана и его геометрический смысл для п-мерного пространства: если x1 = φ1(u1, u2,…,un), x2 = φ2(u1, u2,…,un),…, xn = φ(u1, u2,…, un), то

(9.8)

При этом модуль якобиана дает предел отношения «объемов» малых областей пространств х1, х2,…, хп и u1, u2,…, un.

 

Замена переменных в кратных интегралах.

 

Исследуем общий случай замены переменных на примере двойного интеграла.

Пусть в области D задана непрерывная функция z = f(x,y), каждому значению которой соответствует то же самое значение функции z = F(u, v) в области D΄, где

F(u, v) = f(φ(u, v), ψ(u, v)). (9.9)

Рассмотрим интегральную сумму

где интегральная сумма справа берется по области D΄. Переходя к пределу при , получим формулу преобразования координат в двойном интеграле:

(9.10)

Аналогичным образом можно вывести подобную формулу для тройного интеграла:

(9.11)

где x = φ(u, v, w), y = ψ(u, v, w), z = χ(u, v, w),

, (9.12)

а область V пространства Оxyz отображается в область V΄ пространства Ouvw.

 

Переход к цилиндрическим и сферическим координатам

в тройном интеграле.

 

Найдем, используя формулы (9.4), (9.5) и (9.12), якобианы перехода от декартовых координат к цилиндрическим и сферическим:

  1. для цилиндрических координат

(9.13)

  1. для сферических координат

(9.14)

Тогда формулы перехода к цилиндрическим или сферическим координатам в тройном интеграле будут выглядеть так: (9.15)

,

где смысл обозначений понятен из предыдущего текста.

 

<== предыдущая лекция | следующая лекция ==>
Учет и отчетность торгового объекта | Дозатор добавок
Поделиться с друзьями:


Дата добавления: 2015-04-24; Просмотров: 444; Нарушение авторских прав?; Мы поможем в написании вашей работы!


Нам важно ваше мнение! Был ли полезен опубликованный материал? Да | Нет



studopedia.su - Студопедия (2013 - 2026) год. Все материалы представленные на сайте исключительно с целью ознакомления читателями и не преследуют коммерческих целей или нарушение авторских прав! Последнее добавление




Генерация страницы за: 0.013 сек.