Студопедия

КАТЕГОРИИ:


Архитектура-(3434)Астрономия-(809)Биология-(7483)Биотехнологии-(1457)Военное дело-(14632)Высокие технологии-(1363)География-(913)Геология-(1438)Государство-(451)Демография-(1065)Дом-(47672)Журналистика и СМИ-(912)Изобретательство-(14524)Иностранные языки-(4268)Информатика-(17799)Искусство-(1338)История-(13644)Компьютеры-(11121)Косметика-(55)Кулинария-(373)Культура-(8427)Лингвистика-(374)Литература-(1642)Маркетинг-(23702)Математика-(16968)Машиностроение-(1700)Медицина-(12668)Менеджмент-(24684)Механика-(15423)Науковедение-(506)Образование-(11852)Охрана труда-(3308)Педагогика-(5571)Полиграфия-(1312)Политика-(7869)Право-(5454)Приборостроение-(1369)Программирование-(2801)Производство-(97182)Промышленность-(8706)Психология-(18388)Религия-(3217)Связь-(10668)Сельское хозяйство-(299)Социология-(6455)Спорт-(42831)Строительство-(4793)Торговля-(5050)Транспорт-(2929)Туризм-(1568)Физика-(3942)Философия-(17015)Финансы-(26596)Химия-(22929)Экология-(12095)Экономика-(9961)Электроника-(8441)Электротехника-(4623)Энергетика-(12629)Юриспруденция-(1492)Ядерная техника-(1748)

Доказательство теоремы. Ответы на тесты по Технологическому оборудованию

Замечание

Ответы на тесты по Технологическому оборудованию


 


№ задания ответ
1.  
2.  
3.  
4.  
5.  
6.  
7.  
8.  
9.  
10.  
11.  
12.  
13.  
14.  
15.  
16.  
17.  
18.  
19.  
20.  
21.  
22.  
23.  
24.  
25.  
26.  
27.  
28.  
29.  
30.  
31.  
32.  
33.  
34.  
35.  
36.  
37.  
38.  
39.  
40.  
41.  
42.  
43.  
44.  
45.  
46.  
47.  
48.  
49.  
50.  
51.  
52.  
53.  
54.  
55.  
56.  
57.  
58.  
59.  
60.  

 

 


 

 

В теореме можно поменять ролями x и y, т.е. можно предположить, что выполнены следующие два условия:

1) область D такова, что любая прямая, параллельная оси Ох, пересекает границу Г по целому отрезку либо не более чем в двух точках, ординаты которых есть и , где ;

2) функция интегрируема в области D и для любого допускает существование однократного интеграла ( - проекция области D на ось Оy). Тогда существует повторный интеграл и справедливо равенство .

Если область D можно записать неравенствами:

, то ,

.

Справа стоит повторный интеграл, в котором внутренний интеграл вычисляется по переменной y в предположении, что x = const; результатом вычисления внутреннего интеграла является некоторая функция Ф(x). Затем вычисляется внешний интеграл от Ф(x) по переменной x в постоянных пределах; в результате получается число.

Вывод формулы:

Т.к. не зависит от способа разбиения области D на части, то сделаем разбиение горизонтальными и вертикальными прямыми на прямоугольные элементарные части. Всего элементарных частей будет: , n1 - количество частей по оси OX, n2 - количество частей по оси OY. - площадь элементарной части.

{выполним суммирование сначала по j, т.е. по вертикальным элементарным частям при фиксированном , затем по i, т.е. просуммируем массы вертикальных полосок}

(1)

Здесь

Смысл формулы (1) можно также проиллюстрировать на объеме цилиндроида, зная формулу для вычисления объема тела с известной площадью поперечного сечения:

- площадь поперечного сечения,

Теорема 1. Пусть область V ограничена снизу и сверху поверхностями и , где и - непрерывные функции в замкнутой области плоскости XOY, и цилиндрической поверхностью, у которой образующие параллельны оси Oz, а направляющей является граница области . Тогда для любой функции , непрерывной в замкнутой области V, имеет место формула

(1)

позволяющая свести вычисление тройного интеграл к вычислению двойного интеграла от определенного интеграла (короче, к вычислению повторного интеграла).

Интеграл, стоящий в правой части равенства, обычно записывают в виде:

При вычислении тройного интеграла по формуле (1) с помощью повторного интеграла сначала вычисляют внутренний интеграл по переменной z при постоянных x и y (x и y – параметры) в пределах изменения z (для области V) при постоянных x и y, а затем полученная функция x и y интегрируется по переменным x и y по области .

Рис. 4.13.1

Если при этом область плоскости XOY ограничена линиями x = a, y = b (a < b), [ и непрерывные на отрезке [а, b] функции, причем (рис. 4.13.1.)], то, перейдя от двойного интеграла по области к повторному, получаем формулу

(2)

позволяющую вычисление тройного интеграла заменить последовательным вычислением трех определенных интегралов.

В частности, если область V – параллелепипед с гранями x = a, x = b (a < b), y = c, y = d (c < d), z = l, z = k (l < k), то по формуле (2) имеем:

Для функции , равной произведению функций, каждая из которых зависит от одного лишь переменного:

тройной интеграл по этому параллелепипеду V равен произведению трех определенных интегралов:

 

Рис. 4.13.2 Рис. 4.13.3

Это равенство непосредственно следует из свойств тройных и двойных интегралов.

  1. Цилиндрическая система координат.

 

Цилиндрические координаты точки Р(ρ,φ,z) – это полярные координаты ρ, φ проекции этой точки на плоскость Оху и аппликата данной точки z (рис.2).

Формулы перехода от цилиндрических координат к декартовым можно задать следующим образом:

x = ρ cosφ, y = ρ sinφ, z = z. (9.4)

 

  1. Сферическая система координат.

В сферических координатах положение точки в пространстве определяется линейной координатой ρ – расстоянием от точки до начала декартовой системы координат (или полюса сферической системы), φ – полярным углом между положительной полуосью Ох и проекцией точки на плоскость Оху, и θ – углом между положительной полуосью оси Оz и отрезком OP (рис.3). При этом

Зададим формулы перехода от сферических координат к декартовым:

x = ρ sinθ cosφ, y = ρ sinθ sinφ, z = ρ cosθ. (9.5)

Якобиан и его геометрический смысл.

Рассмотрим общий случай замены переменных в двойном интеграле. Пусть в плоскости Оху дана область D, ограниченная линией L. Предположим, что х и у являются однозначными и непрерывно дифференцируемыми функциями новых переменных u и v:

x = φ(u, v), y = ψ(u, v). (9.6)

Рассмотрим прямоугольную систему координат Оuv, точка Р΄(u, v) которой соответствует точке Р(х, у) из области D. Все такие точки образуют в плоскости Оuv область D΄, ограниченную линией L΄. Можно сказать, что формулы (9.6) устанавливают взаимно однозначное соответствие между точками областей D и D΄. При этом линиям u = const и

v = const в плоскости Оuv будут соответствовать некоторые линии в плоскости Оху.

 

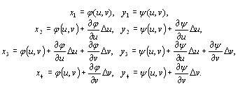
Рассмотрим в плоскости Оuv прямоугольную площадку ΔS΄, ограниченную прямыми u = const, u+Δu = const, v = const и v+Δv = const. Ей будет соответствовать криволинейная площадка ΔS в плоскости Оху (рис.4). Площади рассматриваемых площадок тоже будем обозначать ΔS΄ и ΔS. При этом ΔS΄ = Δu Δv. Найдем площадь ΔS. Обозначим вершины этого криволинейного четырехугольника Р1, Р2, Р3, Р4, где

P1(x1, y1), x1 = φ(u, v), y1 = ψ(u, v);

P2(x2, y2), x2 = φ(u+Δu, v), y2 = ψ(u+Δu, v);

P3(x3, y3), x3 = φ(u+Δu, v+Δv), y3 = ψ(u+Δu, v+Δv);

P4(x4, y4), x4 = φ(u, v+Δv), y4 = ψ(u, v+Δv).

Заменим малые приращения Δu и Δv соответствующими дифференциалами. Тогда

При этом четырехугольник Р1 Р2 Р3 Р4 можно считать параллелограммом и определить его площадь по формуле из аналитической геометрии:

(9.7)

Определение 9.3. Определитель называется функциональным определителем или якобианом функций φ(х, у) и ψ(х, у).

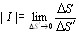
Переходя к пределу при в равенстве (9.7), получим геометрический смысл якобиана:

, (9.8)

то есть модуль якобиана есть предел отношения площадей бесконечно малых площадок ΔS и ΔS΄.

Замечание. Аналогичным образом можно определить понятие якобиана и его геометрический смысл для п-мерного пространства: если x1 = φ1(u1, u2,…,un), x2 = φ2(u1, u2,…,un),…, xn = φ(u1, u2,…, un), то

(9.8)

При этом модуль якобиана дает предел отношения «объемов» малых областей пространств х1, х2,…, хп и u1, u2,…, un.

 

Замена переменных в кратных интегралах.

 

Исследуем общий случай замены переменных на примере двойного интеграла.

Пусть в области D задана непрерывная функция z = f(x,y), каждому значению которой соответствует то же самое значение функции z = F(u, v) в области D΄, где

F(u, v) = f(φ(u, v), ψ(u, v)). (9.9)

Рассмотрим интегральную сумму

где интегральная сумма справа берется по области D΄. Переходя к пределу при , получим формулу преобразования координат в двойном интеграле:

(9.10)

Аналогичным образом можно вывести подобную формулу для тройного интеграла:

(9.11)

где x = φ(u, v, w), y = ψ(u, v, w), z = χ(u, v, w),

, (9.12)

а область V пространства Оxyz отображается в область V΄ пространства Ouvw.

 

Переход к цилиндрическим и сферическим координатам

в тройном интеграле.

 

Найдем, используя формулы (9.4), (9.5) и (9.12), якобианы перехода от декартовых координат к цилиндрическим и сферическим:

  1. для цилиндрических координат

(9.13)

  1. для сферических координат

(9.14)

Тогда формулы перехода к цилиндрическим или сферическим координатам в тройном интеграле будут выглядеть так: (9.15)

,

где смысл обозначений понятен из предыдущего текста.

 

<== предыдущая лекция | следующая лекция ==>
Обучаемость – важнейшая характеристика субъектов учебной деятельности | Методика архитектурного проектирования
Поделиться с друзьями:


Дата добавления: 2015-04-24; Просмотров: 507; Нарушение авторских прав?; Мы поможем в написании вашей работы!


Нам важно ваше мнение! Был ли полезен опубликованный материал? Да | Нет



studopedia.su - Студопедия (2013 - 2025) год. Все материалы представленные на сайте исключительно с целью ознакомления читателями и не преследуют коммерческих целей или нарушение авторских прав! Последнее добавление




Генерация страницы за: 0.014 сек.