Студопедия

КАТЕГОРИИ:


Архитектура-(3434)Астрономия-(809)Биология-(7483)Биотехнологии-(1457)Военное дело-(14632)Высокие технологии-(1363)География-(913)Геология-(1438)Государство-(451)Демография-(1065)Дом-(47672)Журналистика и СМИ-(912)Изобретательство-(14524)Иностранные языки-(4268)Информатика-(17799)Искусство-(1338)История-(13644)Компьютеры-(11121)Косметика-(55)Кулинария-(373)Культура-(8427)Лингвистика-(374)Литература-(1642)Маркетинг-(23702)Математика-(16968)Машиностроение-(1700)Медицина-(12668)Менеджмент-(24684)Механика-(15423)Науковедение-(506)Образование-(11852)Охрана труда-(3308)Педагогика-(5571)Полиграфия-(1312)Политика-(7869)Право-(5454)Приборостроение-(1369)Программирование-(2801)Производство-(97182)Промышленность-(8706)Психология-(18388)Религия-(3217)Связь-(10668)Сельское хозяйство-(299)Социология-(6455)Спорт-(42831)Строительство-(4793)Торговля-(5050)Транспорт-(2929)Туризм-(1568)Физика-(3942)Философия-(17015)Финансы-(26596)Химия-(22929)Экология-(12095)Экономика-(9961)Электроника-(8441)Электротехника-(4623)Энергетика-(12629)Юриспруденция-(1492)Ядерная техника-(1748)

Формула полной вероятности. Формула Байеса




 

Во многих прикладных задачах рассматриваются процессы, которые могут пойти по одному из нескольких возможных вариантов развития, т.е. процесс может «разветвляться» случайным образом.

Например, на заводе на нескольких станках обрабатываются однотипные детали, которые случайным образом попадают на станок и после обработки поступают в общий контейнер. В таких ситуациях возникают две различные постановки задачи:

· Найти вероятность изготовления бракованной детали, не зная на каком станке она обработана;

· Обнаружив бракованную деталь, попытаться оценить на каком станке она обрабатывалась.

Решение этих двух типов задач возможно с помощью формулы полной вероятности и формулы Байеса.

Пусть события образуют полную группу попарно несовместных событий и соответствуют всем возможным разветвлениям процесса. Пусть событие А происходит вместе с одним из событий (событие А произошло в результате одного из n разветвлений). Значит произошло одно из несовместных событий или , или … или . Это значит, что . По теореме о сумме попарно несовместных событий имеем . По теореме о произведении двух событий получим . Эта формула называется формулой полной вероятности.

События в формуле полной вероятности называются гипотезами.

Пример:

Два станка производят детали, поступающие в общий контейнер. Вероятность получения стандартной детали на первом станке равна 0,9, а на втором 0,85. Второй станок имеет производительность в два раза больше, чем первый. Какова вероятность того, что выбранная случайным образом деталь с конвейера стандартная?

Решение:

Введем события: А – наудачу взятая деталь с конвейера – стандартная;

В1 – взятая деталь изготовлена на 1 станке;

В2 – взятая деталь изготовлена на втором станке.

.

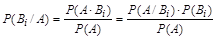
Пусть i принимает значения от 1 до n, тогда т.к. , то . Подставим в эту формулу вместо P (A) выражение из формулы полной вероятности.

-




Поделиться с друзьями:


Дата добавления: 2015-04-24; Просмотров: 799; Нарушение авторских прав?; Мы поможем в написании вашей работы!


Нам важно ваше мнение! Был ли полезен опубликованный материал? Да | Нет



studopedia.su - Студопедия (2013 - 2025) год. Все материалы представленные на сайте исключительно с целью ознакомления читателями и не преследуют коммерческих целей или нарушение авторских прав! Последнее добавление




Генерация страницы за: 0.008 сек.