Студопедия

КАТЕГОРИИ:


Архитектура-(3434)Астрономия-(809)Биология-(7483)Биотехнологии-(1457)Военное дело-(14632)Высокие технологии-(1363)География-(913)Геология-(1438)Государство-(451)Демография-(1065)Дом-(47672)Журналистика и СМИ-(912)Изобретательство-(14524)Иностранные языки-(4268)Информатика-(17799)Искусство-(1338)История-(13644)Компьютеры-(11121)Косметика-(55)Кулинария-(373)Культура-(8427)Лингвистика-(374)Литература-(1642)Маркетинг-(23702)Математика-(16968)Машиностроение-(1700)Медицина-(12668)Менеджмент-(24684)Механика-(15423)Науковедение-(506)Образование-(11852)Охрана труда-(3308)Педагогика-(5571)Полиграфия-(1312)Политика-(7869)Право-(5454)Приборостроение-(1369)Программирование-(2801)Производство-(97182)Промышленность-(8706)Психология-(18388)Религия-(3217)Связь-(10668)Сельское хозяйство-(299)Социология-(6455)Спорт-(42831)Строительство-(4793)Торговля-(5050)Транспорт-(2929)Туризм-(1568)Физика-(3942)Философия-(17015)Финансы-(26596)Химия-(22929)Экология-(12095)Экономика-(9961)Электроника-(8441)Электротехника-(4623)Энергетика-(12629)Юриспруденция-(1492)Ядерная техника-(1748)

Ограждающие конструкции стен




Определение теплотехнических характеристик

 

Определяем расчетные значения приведенного сопротивления теплопередаче наружной 4-х слойной стены из условия

где, Rreqw – нормативное сопротивление теплопередаче стены

r – коэффициент теплотехнической однородности. Для стен жилых зданий из кирпича с утеплителем r должна быть не менее 0,74 при δст =510 мм

αв – коэффициент теплоотдачи внутренней поверхности ограждающей конструкции (СНиП 23-02-2003), αв=8,7, ()

αн – коэффициент теплоотдачи наружной поверхности ограждающей конструкции для условий холодного периода (СНиП 23-02-2003), αн=23, ()

R1, R2, R4 – сопротивление теплопередаче соответственно 1, 2 и 4-го слоя ограждающей конструкции

где, δn – толщина слоя ограждающей конструкции, м;

λn – коэффициент теплопередачи данного слоя ограждающей конструкции, Вт/м2˚С.

 

  — 4 3 2 1 + 1.Известково-песчаная штукатурка d=0,012 м; g0=1600 кг/ м2; 2.Кладка из селикатного 14-ти пустотного кирпича на цп растворе d=0,51; g0 = 1400 кг/ м2; 3. Минераловатная плита d=Хм; g0 = 100 кг/ м2; 4. Ц.п. штукатурка по металлической сетке d=0,015 м; g0 = 1800 кг/ м2.

 

l1=0,7 , l3=0,06

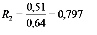
l2=0,64 , l4=0,76

, (м2˚С/Вт).

, (м2˚С/Вт).

, (м2˚С/Вт).

(интерполируем Dd=5488), 4000 - 2,8

5488 - Х=3,32

6000 - 3,5

 

, (м2˚С/Вт).

 

d3=3,49×0,06=0,209 (м)

Принимаем толщину утеплителя 210 мм

, (м2˚С/Вт).

 

 

, м2˚С/Вт

Условие выполняется, принимаем толщину утеплителя 210 мм.




Поделиться с друзьями:


Дата добавления: 2015-04-24; Просмотров: 779; Нарушение авторских прав?; Мы поможем в написании вашей работы!


Нам важно ваше мнение! Был ли полезен опубликованный материал? Да | Нет



studopedia.su - Студопедия (2013 - 2026) год. Все материалы представленные на сайте исключительно с целью ознакомления читателями и не преследуют коммерческих целей или нарушение авторских прав! Последнее добавление




Генерация страницы за: 0.008 сек.