Студопедия

КАТЕГОРИИ:


Архитектура-(3434)Астрономия-(809)Биология-(7483)Биотехнологии-(1457)Военное дело-(14632)Высокие технологии-(1363)География-(913)Геология-(1438)Государство-(451)Демография-(1065)Дом-(47672)Журналистика и СМИ-(912)Изобретательство-(14524)Иностранные языки-(4268)Информатика-(17799)Искусство-(1338)История-(13644)Компьютеры-(11121)Косметика-(55)Кулинария-(373)Культура-(8427)Лингвистика-(374)Литература-(1642)Маркетинг-(23702)Математика-(16968)Машиностроение-(1700)Медицина-(12668)Менеджмент-(24684)Механика-(15423)Науковедение-(506)Образование-(11852)Охрана труда-(3308)Педагогика-(5571)Полиграфия-(1312)Политика-(7869)Право-(5454)Приборостроение-(1369)Программирование-(2801)Производство-(97182)Промышленность-(8706)Психология-(18388)Религия-(3217)Связь-(10668)Сельское хозяйство-(299)Социология-(6455)Спорт-(42831)Строительство-(4793)Торговля-(5050)Транспорт-(2929)Туризм-(1568)Физика-(3942)Философия-(17015)Финансы-(26596)Химия-(22929)Экология-(12095)Экономика-(9961)Электроника-(8441)Электротехника-(4623)Энергетика-(12629)Юриспруденция-(1492)Ядерная техника-(1748)

Алгебраические дроби №1

1. Укажите все выражения, являющиеся алгебраическими дробями: 1) ; 2) ; 3) ; 4) ; 5) ; 6) . 1) 1; 2; 3; 4; 6; 2) 1; 2; 3; 4; 3) 2; 4; 4) 5; 5) 1; 2; 3; 4; 5; 6.
2. Даны выражения: 1) ; 2) ; 3) ; 4) ; 5) . Какие из этих выражений не имеют смысла при ? 1) 1; 3; 4; 2) 2; 3; 5; 3) 2; 5; 4) 3; 5; 5) 1; 2; 4.
3. Укажите все верные равенства: 1) ; 2) ; 3) ; 4) ; 5) . 1) 1; 3; 2) 1; 3; 5; 3) 2; 3; 4; 4) 3; 5; 5) все равенства верные.
4. Найдите все значения переменной , при которых дробь равна нулю. 1) 3; 2) 3; ; 3) 3; ; ; 4) 3; ; 5) .
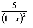
5. Сократите дробь: . 1) ; 2) ; 3) ; 4) ; 5) .
6. Упростите выражение: . 1) ; 2) ; 3) ; 4) ; 5) .
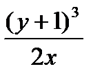
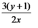
7. Куб алгебраической дроби равен:   1) ; 2) ; 3) ; 4) ; 5) .
8. Выполните деление 1) 1; 2) ; 3) ; 4) ; 5)
9. Выполните умножение: . 1) ; 2) ; 3) ; 4) ; 5) .
10. Найдите разность , если , а . 1) ; 2) ; 3) 0; 4) ; 5) .
11. Замените С таким двучленом, при котором верно равенство 1) ; 2) ; 3) ; 4) ; 5) .
12. Результат упрощения выражения равен: 1) ; 2) ; 3) – 2; 4) ; 5) .
13. Найдите значение выражения при
14. Найдите значение выражения при .
15. Найдите сумму всех значений m (значение, если оно единственное), при которых значение выражения равно 25.
16. Упростите выражение и найдите его значение при .
17. Найдите число, которое является результатом выполнения действий .
18. Результат упрощения выражения равен…
19. Найдите значение выражения при .
20. Найдите числа а, b и с, если верно равенство . В ответ запишите сумму чисел а, b и с.

 

<== предыдущая лекция | следующая лекция ==>
Соответствие заданий требованиям ГОС | Биология в контексте интеллектуальной культуры. Эволюционная концепция биологического уровня организации материи
Поделиться с друзьями:


Дата добавления: 2015-04-24; Просмотров: 681; Нарушение авторских прав?; Мы поможем в написании вашей работы!


Нам важно ваше мнение! Был ли полезен опубликованный материал? Да | Нет



studopedia.su - Студопедия (2013 - 2026) год. Все материалы представленные на сайте исключительно с целью ознакомления читателями и не преследуют коммерческих целей или нарушение авторских прав! Последнее добавление




Генерация страницы за: 0.013 сек.