Студопедия

КАТЕГОРИИ:


Архитектура-(3434)Астрономия-(809)Биология-(7483)Биотехнологии-(1457)Военное дело-(14632)Высокие технологии-(1363)География-(913)Геология-(1438)Государство-(451)Демография-(1065)Дом-(47672)Журналистика и СМИ-(912)Изобретательство-(14524)Иностранные языки-(4268)Информатика-(17799)Искусство-(1338)История-(13644)Компьютеры-(11121)Косметика-(55)Кулинария-(373)Культура-(8427)Лингвистика-(374)Литература-(1642)Маркетинг-(23702)Математика-(16968)Машиностроение-(1700)Медицина-(12668)Менеджмент-(24684)Механика-(15423)Науковедение-(506)Образование-(11852)Охрана труда-(3308)Педагогика-(5571)Полиграфия-(1312)Политика-(7869)Право-(5454)Приборостроение-(1369)Программирование-(2801)Производство-(97182)Промышленность-(8706)Психология-(18388)Религия-(3217)Связь-(10668)Сельское хозяйство-(299)Социология-(6455)Спорт-(42831)Строительство-(4793)Торговля-(5050)Транспорт-(2929)Туризм-(1568)Физика-(3942)Философия-(17015)Финансы-(26596)Химия-(22929)Экология-(12095)Экономика-(9961)Электроника-(8441)Электротехника-(4623)Энергетика-(12629)Юриспруденция-(1492)Ядерная техника-(1748)

Основные теоретические положения. Цель работы:1.Получить навыки сборки и испытания трёхфазных цепей при соединении приёмников звездой




ПРИ СОЕДИНЕНИИ ПРИЁМНИКА ПО СХЕМЕ ЗВЕЗДА

ИССЛЕДОВАНИЕ ТРЁХФАЗНОЙ ЦЕПИ

 

Цель работы: 1. Получить навыки сборки и испытания трёхфазных цепей при соединении приёмников звездой. 2. Практически освоить особенности расчёта трёхфазных цепей и построения векторных диаграмм.

 

Трёхфазными электрическими цепями называются объединённые в одну три подобные цепи, в каждой из которых действует свой источник энергии переменного тока. Все три источника являются независимыми и имеют одинаковую частоту ЭДС. ЭДС этих источников, как правило, одинаковы по амплитуде, но сдвинуты по фазе друг относительно друга на 120º (2π/3). Объединяемые цепи принято называть фазами трёхфазной цепи.

В электротехнике термин “фаза” применяется в двух различных смыслах: во-первых, это аргумент синусоидальной функции времени (ω t +ψ), а во-вторых, наименование составной части трёхфазной цепи.

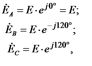
Как правило, источники энергии трёхфазной цепи конструктивно объединены в одном электротехническом устройстве, называемом трёхфазным генератором. Все элементы трёхфазного генератора, относящиеся к одному из трёх независимых источников энергии, принято называть фазой генератора. Эти источники энергии можно представить в виде источников ЭДС (рис.1). Зажимы фаз генератора, в сторону которых направлены положительные направления ЭДС, принято называть началами фаз генератора (A, B, C на рис. 1). Другие зажимы – концами фаз генератора (X, Y, Z). При этом участки цепи называют фазами генератора. Если принять начальную фазу ЭДС генератора равной нулю, то можно записать выражения для мгновенных значений всех ЭДС в виде

(1)

Такая система ЭДС называется трехфазной симметричной системой. Последовательность в обозначении фаз генератора, т. е. порядок чередования фаз, не может быть случайной. Например, последовательность, приведённую в (1) называют прямой последовательностью фаз. Для такой последовательности характерно, что ЭДС фазы В отстаёт от ЭДС фазы А на угол 120º, а ЭДС фазы С отстаёт от ЭДС фазы В также на угол 120º. Если поменять местами любые две фазы, то полученная новая последовательность будет называться обратной последовательностью фаз. Соотношение (1) можно представить в комплексной форме

(2)

где – модуль фазной ЭДС генератора (конкретное действующее значение синусоидальной фазной ЭДС). Представим последние два соотношения в алгебраической форме

 

(3)

и сложим (3) и первое равенство (2) вместе

(4)

Равенство (4) справедливо в любой момент времени, следовательно:

. (5)

Таким образом, алгебраическая сумма мгновенных значений фазных ЭДС генератора равна нулю в любой момент времени. Это условие вытекает непосредственно из закона сохранения заряда и свидетельствует, что в генераторе абсолютная величина заряда всегда равна нулю.

Изобразим соотношения (2) на комплексной плоскости (рис. 2). При этом видно, что сумма векторов также равна нулю.

Для того, чтобы получить трёхфазную цепь, необходимо фазы генератора соединить с трёхфазным приёмником (нагрузкой). Наиболее естественно каждую фазу генератора можно соединить с соответствующей фазой нагрузки двумя соединительными проводами. В результате получим шестипроводную несвязанную трёхфазную цепь. Такие цепи на практике не используются, как неэкономичные. Для уменьшения числа проводов линии электропередачи необходимо электрически соединить определенные зажимы фаз генератора между собой и, аналогично, фаз нагрузки.

Рассмотрим в данной работе соединение указанных элементов трёхфазной цепи по схеме звезда (). При таком соединении концы фаз генератора и отдельно нагрузки объединяются в общий узел: со стороны генератора – N (рис. 3) и со стороны нагрузки – n. Начала фаз генератора и приёмника присоединяются к линейным проводам. Узлы N и n называются нейтральными точками, а провод их соединяющий нейтральным проводом. Полученная трёхфазная цепь называется четырёхпроводной цепью. Рассмотрим на примере этой цепи основные элементы трёхфазной цепи и характерные для неё параметры режима работы. Провода, соединяющие начала фаз генератора и приёмника (Аа, Вв, Сс), называются линейными проводами. Участок цепи А,а,n,N называется фазой А. Аналогично можно определить участки, соответствующие фазам В и С. Участки цепи AN, BN, CN называются фазами со стороны генератора, участки an, bn, cn – фазами со стороны нагрузки.

Разность потенциалов между началом и концом фазы со стороны нагрузки называется фазным напряжением. Так есть фазные напряжения со стороны нагрузки. Разность потенциалов между линейными проводами называется линейным напряжением. Будем считать незначительными сопротивления линейных и нейтрального проводов. Т. е.

. (6)

В этом случае потери напряжения в линиях и в нейтральном проводе

(7)

и линейные напряжения вдоль линии не изменяются. На рис. 3 – линейные напряжения; – линейные токи; – токи в фазах нагрузки; – ток в нейтральном проводе; – напряжение смещения нейтрали.

С учётом (6) и (7) для контура фазы А можно составить уравнение по второму закону Кирхгофа (контур обозначен сплошной кривой со стрелкой)

;

Аналогично

. (8)

Следовательно, векторная диаграмма на рис. 2 будет отвечать и фазным напряжениям.

Для контура, обход которого обозначен штриховой линией, будет иметь

или

. (9)

Аналогично

(10)

Соотношения (9) и (10) устанавливают связь между линейными и фазными напряжениями при любом режиме работы данной трёхфазной цепи. Изобразим эти соотношения на комплексной плоскости (рис. 4). Из рис.4 видно, что модули фазных (U ф) и линейных (U л) напряжений связаны соотношением

. (11)

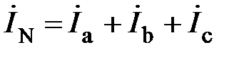
Ток в нейтральном проводе, согласно 1 закона Кирхгофа (для узла n) определится

. (12)

Все элементы электрической цепи в каждой фазе соединены последовательно, т. е. линейный ток равен соответствующему фазному току

. (13)

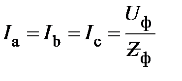
Если в трехфазную цепь включен приемник и сопротивления его фаз равны

, (14)

то такой приемник называют симметричным. Режим работы цепи также будет симметричным. При этом фазные токи

(15)

равны по модулю

(16)

и сдвинуты по фазе относительно соответствующего фазного напряжения по один и тот же угол

. (17)

где и соответственно, активное и реактивное сопротивления каждой фазы. На рис.4, в качестве примера, показаны вектора фазных токов для активно-индуктивной нагрузки фазы. Они образуют трёхфазную симметричную систему векторов и, согласно (4), их сумма равна нулю

. (18)

Т. е. при симметричном режиме работы четырёхпроводной трёхфазной цепи ток в нейтральном проводе отсутствует, и необходимость в этом проводе отпадает.

Если в трехфазную цепь включен несимметричный приемник (условие (14) не соблюдается), то режим работы цепи будет также несимметричным. При несимметричном режиме работы четырёхпроводной цепи, условие (14) нарушается, но остаётся справедливым условие (8). Т. е. благодаря нейтральному проводу фазные напряжения будут равны соответствующим фазным ЭДС генератора. Следовательно, нейтральный провод обеспечивает сохранение симметрии фазных напряжений несимметричного приёмника.

В то же время токи в каждой фазе, рассчитываемые по соотношениям (15), уже не будут образовывать трехфазную симметричную систему




Поделиться с друзьями:


Дата добавления: 2015-05-06; Просмотров: 357; Нарушение авторских прав?; Мы поможем в написании вашей работы!


Нам важно ваше мнение! Был ли полезен опубликованный материал? Да | Нет



studopedia.su - Студопедия (2013 - 2026) год. Все материалы представленные на сайте исключительно с целью ознакомления читателями и не преследуют коммерческих целей или нарушение авторских прав! Последнее добавление




Генерация страницы за: 0.013 сек.