Студопедия

КАТЕГОРИИ:


Архитектура-(3434)Астрономия-(809)Биология-(7483)Биотехнологии-(1457)Военное дело-(14632)Высокие технологии-(1363)География-(913)Геология-(1438)Государство-(451)Демография-(1065)Дом-(47672)Журналистика и СМИ-(912)Изобретательство-(14524)Иностранные языки-(4268)Информатика-(17799)Искусство-(1338)История-(13644)Компьютеры-(11121)Косметика-(55)Кулинария-(373)Культура-(8427)Лингвистика-(374)Литература-(1642)Маркетинг-(23702)Математика-(16968)Машиностроение-(1700)Медицина-(12668)Менеджмент-(24684)Механика-(15423)Науковедение-(506)Образование-(11852)Охрана труда-(3308)Педагогика-(5571)Полиграфия-(1312)Политика-(7869)Право-(5454)Приборостроение-(1369)Программирование-(2801)Производство-(97182)Промышленность-(8706)Психология-(18388)Религия-(3217)Связь-(10668)Сельское хозяйство-(299)Социология-(6455)Спорт-(42831)Строительство-(4793)Торговля-(5050)Транспорт-(2929)Туризм-(1568)Физика-(3942)Философия-(17015)Финансы-(26596)Химия-(22929)Экология-(12095)Экономика-(9961)Электроника-(8441)Электротехника-(4623)Энергетика-(12629)Юриспруденция-(1492)Ядерная техника-(1748)

Пример решения




Разработанная схема приведена на рисунке 4.

СИФУ- система импульсно-фазового управления

Рисунок 4- Схема управляемого выпрямителя со средней точкой трансформатора

1 Выбор тиристоров

Ток нагрузки максимальный:

A.

Для однофазного мостового выпрямителя среднее значение прямого тока через вентиль определяется как

A.

Обратное максимальное напряжение на вентиле равно:

В.

Выбираем вентили 2N5064, для которых

А > A;

 

В > В.

2 Определение параметров трансформатора.

Для однофазного мостового выпрямителя действующее значение вторичного напряжения равно:

В.

Расчётная мощность определяется как

В∙А.

Выбираем трансформатор: ТПП 262-127/220-50

В∙А > В∙А.

При последовательном соединении вторичных обмоток Б, В,Г, получаем

В

Откуда коэффициент трансформации

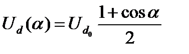
3 Регулировочная характеристика выпрямителя.

Регулировочную характеристику управляемого выпрямителя рассчитываем по формуле

,

где - максимальное значение выпрямленного напряжения при угле регулирования .

В нашем случае для выбранного трансформатора

В.

Тогда

.

Регулировочная характеристика представлена на рисунке 5.

Рисунок 5 – Регулировочная характеристика выпрямителя

По характеристике находим, что для , а для .

4 Моделирование работы управляемого выпрямителя в среде Multisim.

Рисунок 6- Модель управляемого выпрямителя

Результаты моделирования: U2=28,202 В, Id= 0,297 А, Ud=23,796В.

Рисунок 7- временные диаграммы работы управляемого выпрямителя

Задача 4. Расчёт параметрического стабилизатора напряжения.

Разработать схему, выполнить расчёт и выбор элементов параметрического стабилизатора напряжения на заданном стабилитроне 1N4752А. Исходные данные к задаче (сопротивление нагрузки R Н=180 Om, минимальное напряжение источника U min=57 В, максимальное напряжение источника U max=65 В). Необходимо определить величину балластного сопротивления Rб, описать принцип работы схемы, осуществить моделирование её работы в среде Multisim, проверить работоспособность схемы во всём диапазоне изменения входного напряжения, определить коэффициент стабилизации.

 

Схема параметрического стабилизатора напряжения приведена на рисунке 1.4.

Рисунок 8 – Схема параметрического стабилизатора напряжения

 

Из справочника определяем параметры стабилитрона 1N4752А:

– напряжение стабилизации Uст =33 В;

– минимальный ток стабилизации Iст min=12 мА;

– максимальный ток стабилизации Iст max= 135 мА.

 

Найдём среднее значение напряжения источника Uср и тока стабилитрона Iср ст:

 

В,

 

мА.

 

Составим уравнение по второму закону Кирхгофа:

 

 

Из чего определим балластное сопротивление Rб:

 

Ом,

 

где IН – номинальный ток нагрузки,

 

А = 183 мА.

 

Принимаем из стандартного ряда Е24 (приложение В) Rб = 200 Ом.

Рассмотрим, будет ли обеспечена стабилизация во всём диапазоне изменения входного напряжения:

 

В.

 

В.

 

Таким образом, стабилизация обеспечивается во всём диапазоне изменения входного напряжения.

Модель параметрического стабилизатора напряжения в среде Multisim приведена на рисунке 1.5. Входное напряжение задаётся с помощью источника постоянного напряжения U 1или с помощью источника переменного напряжения U 2 = (65-57)/2 = 4 В с постоянным смещением Uср = +12,5 В (напряжение смещения).

 

Коэффициент стабилизации

 

 

 

Задача 9. Разработка устройства на логических элементах.

Разработать устройство управления механизмом на логических элементах серии (К555 (74LS), работа которого описывается выражением

). Осуществить моделирование работы схемы при комбинации логических сигналов на входах

X1,X2,X3,X4,X5,X6,X7,X8=0,0,0,1,0,1,1,0.

 

Пример решения

Сигналы Х1 и Х2 и Х3 логически умножаются и инвертируются. Это делается с помощью логического элемента 3И-НЕ выход которого обозначим У 1. Сигналы Х4 и Х5 логически умножаются выход обозначим У 2. Сигналы Х6 и Х7 логически умножаются, а затем, полученный результат складывается с помощью логического элемента 2ИЛИ с выходом У3. Выходные сигналы У1, У2 и У3 логически складываются с выходом У.

Схема устройства на логических элементах DD1 К561ЛЕ5 (2ИЛИ-НЕ), DD2 К561ЛА7 (2И-НЕ), DD3 К561ЛН2 (НЕ) представлена на рисунке.

Определим значение логической функции при заданных входных переменных:

У1= =0*0*0=1*1*0=0=1;

У2= =

У3= = 1*1 =1

У= У2+У1+Y3=0+0+1=1

 

Задача 10. Разработать функциональную схему на логических элементах 2И-НЕ триггера, условное обозначение которого имеет вид, показанный на рисунке 13. Составить таблицу состояний и временные диаграммы.

Рисунок 11 – Асинхронный RS–триггер




Поделиться с друзьями:


Дата добавления: 2015-05-06; Просмотров: 2128; Нарушение авторских прав?; Мы поможем в написании вашей работы!


Нам важно ваше мнение! Был ли полезен опубликованный материал? Да | Нет



studopedia.su - Студопедия (2013 - 2026) год. Все материалы представленные на сайте исключительно с целью ознакомления читателями и не преследуют коммерческих целей или нарушение авторских прав! Последнее добавление




Генерация страницы за: 0.009 сек.