Студопедия

КАТЕГОРИИ:


Архитектура-(3434)Астрономия-(809)Биология-(7483)Биотехнологии-(1457)Военное дело-(14632)Высокие технологии-(1363)География-(913)Геология-(1438)Государство-(451)Демография-(1065)Дом-(47672)Журналистика и СМИ-(912)Изобретательство-(14524)Иностранные языки-(4268)Информатика-(17799)Искусство-(1338)История-(13644)Компьютеры-(11121)Косметика-(55)Кулинария-(373)Культура-(8427)Лингвистика-(374)Литература-(1642)Маркетинг-(23702)Математика-(16968)Машиностроение-(1700)Медицина-(12668)Менеджмент-(24684)Механика-(15423)Науковедение-(506)Образование-(11852)Охрана труда-(3308)Педагогика-(5571)Полиграфия-(1312)Политика-(7869)Право-(5454)Приборостроение-(1369)Программирование-(2801)Производство-(97182)Промышленность-(8706)Психология-(18388)Религия-(3217)Связь-(10668)Сельское хозяйство-(299)Социология-(6455)Спорт-(42831)Строительство-(4793)Торговля-(5050)Транспорт-(2929)Туризм-(1568)Физика-(3942)Философия-(17015)Финансы-(26596)Химия-(22929)Экология-(12095)Экономика-(9961)Электроника-(8441)Электротехника-(4623)Энергетика-(12629)Юриспруденция-(1492)Ядерная техника-(1748)

Билет 13




Состояние электрической аппаратуры и электрических устройств автоматизации электроприводов.

При последовательном соединении проводников сила тока в любых частях цепи одна и та же:

Полное напряжение в цепи при последовательном соединении, или напряжение на полюсах источника тока, равно сумме напряжений на отдельных участках цепи:

[править]Резисторы

[править]Катушка индуктивности

[править]Электрический конденсатор

.

Если стороны треугольника напряжений (фиг. 155, а) разделить на ток I (фиг. 155, б), то углы треугольника от этого не из менятся, и мы получим новый треугольник, подобный первому — треугольник сопротивлений (фиг. 155, в).

В треугольнике сопротивления, показанном отдельно на фиг. 156, все стороны обозначают сопротивления, причем гипотенуза его является полным или кажущимся сопротивлением цепи.

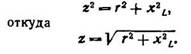
Из треугольника сопротивлений видно, что полное или кажущееся сопротивление z равно геометрической сумме активного r и индуктивного xL сопротивлений.

Применяя теорему Пифагора к треугольнику сопротивлений, получаем:

 

ТРЕУГОЛЬНИК НАПРЯЖЕНИЙ - графическое изображение активного Ua, реактивного Ul и входного Uвх напряжений в цепи переменного тока с активным сопротивлением и индуктивностью.

Угол сдвига фаз между напряжением и током определяется из треугольника через
cos ф = Ua/U или tg ф = Ul/Ua.

Сила тока в неразветвленной части цепи равна сумме сил токов в отдельных параллельно соединённых проводниках:

Напряжение на участках цепи АВ и на концах всех параллельно соединённых проводников одно и то же:

[править]Резистор

При параллельном соединении резисторов складываются величины, обратно пропорциональные сопротивлению (то есть общая проводимость складывается из проводимостей каждого резистора )

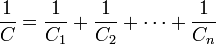
Если цепь можно разбить на вложенные подблоки, последовательно или параллельно включённые между собой, то сначала считают сопротивление каждого подблока, потом заменяют каждый подблок его эквивалентным сопротивлением, таким образом находится общее(искомое) сопротивление.

Доказательство [показать]

Для двух параллельно соединённых резисторов их общее сопротивление равно: .

Если , то общее сопротивление равно:

При параллельном соединении резисторов их общее сопротивление будет меньше наименьшего из сопротивлений.

[править]Катушка индуктивности

[править]Электрический конденсатор

Треугольник проводимостей, подобный треугольнику токов, приведен на рис. 23.

 
 


Выражение комплексного сопротивления цепи на рис. 21 имеет вид:




Поделиться с друзьями:


Дата добавления: 2015-05-06; Просмотров: 437; Нарушение авторских прав?; Мы поможем в написании вашей работы!


Нам важно ваше мнение! Был ли полезен опубликованный материал? Да | Нет



studopedia.su - Студопедия (2013 - 2025) год. Все материалы представленные на сайте исключительно с целью ознакомления читателями и не преследуют коммерческих целей или нарушение авторских прав! Последнее добавление




Генерация страницы за: 0.011 сек.