Студопедия

КАТЕГОРИИ:


Архитектура-(3434)Астрономия-(809)Биология-(7483)Биотехнологии-(1457)Военное дело-(14632)Высокие технологии-(1363)География-(913)Геология-(1438)Государство-(451)Демография-(1065)Дом-(47672)Журналистика и СМИ-(912)Изобретательство-(14524)Иностранные языки-(4268)Информатика-(17799)Искусство-(1338)История-(13644)Компьютеры-(11121)Косметика-(55)Кулинария-(373)Культура-(8427)Лингвистика-(374)Литература-(1642)Маркетинг-(23702)Математика-(16968)Машиностроение-(1700)Медицина-(12668)Менеджмент-(24684)Механика-(15423)Науковедение-(506)Образование-(11852)Охрана труда-(3308)Педагогика-(5571)Полиграфия-(1312)Политика-(7869)Право-(5454)Приборостроение-(1369)Программирование-(2801)Производство-(97182)Промышленность-(8706)Психология-(18388)Религия-(3217)Связь-(10668)Сельское хозяйство-(299)Социология-(6455)Спорт-(42831)Строительство-(4793)Торговля-(5050)Транспорт-(2929)Туризм-(1568)Физика-(3942)Философия-(17015)Финансы-(26596)Химия-(22929)Экология-(12095)Экономика-(9961)Электроника-(8441)Электротехника-(4623)Энергетика-(12629)Юриспруденция-(1492)Ядерная техника-(1748)

Расчёт для активно-индуктивной нагрузки




Расчёт для активной нагрузки.

 

Ключ К замкнут, ток не проходит через индуктивность, нагрузка чисто активная.

 

Амплитуда напряжения в первичной обмотке:

 

Действующее значение напряжения во вторичной обмотке:

.

 

Коэффициент трансформации:

Амплитуда напряжения во вторичной обмотке и напряжения на нагрузке:

.

Максимальное значение прямого напряжения на вентиле:

Максимальное значение обратного напряжения на вентиле:

 

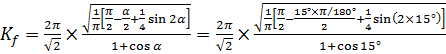
Коэффициент формы:

= 1,595.

Среднее значение тока через вентиль:

 

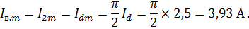
Действующее значение тока через вентиль и тока вторичной обмотки:

 

Амплитуда тока через вентиль, тока вторичной обмотки и тока на нагрузке:

 

Действующее значение тока первичной обмотки:

 

Амплитуда тока первичной обмотки:

 

 

Ключ К разомкнут, ток проходит через Ld, нагрузка активно-индуктивная. Считаем, что величина индуктивности Ld достаточно большая (). В таком случае форма токов становится прямоугольной, а их амплитуды равны величине выпрямленного тока .

 

Действующее значение тока вторичной обмотки:

 

Ток вентиля имеет амплитуду, равную величине выпрямленного тока нагрузки:

Действующее значение тока вентиля меньше амплитудного в раз:

 

Максимальное значение прямого напряжения на вентиле:

 

Остальные значения равны найденным ранее для активной нагрузки.

 




Поделиться с друзьями:


Дата добавления: 2015-05-06; Просмотров: 612; Нарушение авторских прав?; Мы поможем в написании вашей работы!


Нам важно ваше мнение! Был ли полезен опубликованный материал? Да | Нет



studopedia.su - Студопедия (2013 - 2025) год. Все материалы представленные на сайте исключительно с целью ознакомления читателями и не преследуют коммерческих целей или нарушение авторских прав! Последнее добавление




Генерация страницы за: 0.007 сек.