Студопедия

КАТЕГОРИИ:


Архитектура-(3434)Астрономия-(809)Биология-(7483)Биотехнологии-(1457)Военное дело-(14632)Высокие технологии-(1363)География-(913)Геология-(1438)Государство-(451)Демография-(1065)Дом-(47672)Журналистика и СМИ-(912)Изобретательство-(14524)Иностранные языки-(4268)Информатика-(17799)Искусство-(1338)История-(13644)Компьютеры-(11121)Косметика-(55)Кулинария-(373)Культура-(8427)Лингвистика-(374)Литература-(1642)Маркетинг-(23702)Математика-(16968)Машиностроение-(1700)Медицина-(12668)Менеджмент-(24684)Механика-(15423)Науковедение-(506)Образование-(11852)Охрана труда-(3308)Педагогика-(5571)Полиграфия-(1312)Политика-(7869)Право-(5454)Приборостроение-(1369)Программирование-(2801)Производство-(97182)Промышленность-(8706)Психология-(18388)Религия-(3217)Связь-(10668)Сельское хозяйство-(299)Социология-(6455)Спорт-(42831)Строительство-(4793)Торговля-(5050)Транспорт-(2929)Туризм-(1568)Физика-(3942)Философия-(17015)Финансы-(26596)Химия-(22929)Экология-(12095)Экономика-(9961)Электроника-(8441)Электротехника-(4623)Энергетика-(12629)Юриспруденция-(1492)Ядерная техника-(1748)

Средние величины




 

1. Средняя величина- это:

1. Обобщающая величина нескольких значений одного явления;

2. Относительная величина;

3. Сокращенный вариант нескольких значений;

4. Структурная переменная.

 

2. Средняя величина характеризует:

1. Изучение тенденций развития явлений;

2. Измерение взаимосвязей явлений;

3. Всю совокупность в целом одним числом;

4. Все ответы верны.

 

3. Средняя арифметическая простая:

1. Находится отношением суммы произведения варианты на частоту к сумме частот.

2. Находится отношением значения варианты к частоте;

3. Находится отношением суммы частот к сумме отношений частоты к своему варианту.

4. Находится отношением суммы вариант к числу вариант.

 

4. Средняя арифметическая взвешенная:

1. Находится отношением суммы произведения варианты на частоту к сумме частот.

2. Находится отношением значения варианты к частоте;

3. Находится отношением суммы частот к сумме отношений частоты к своему варианту.

4. Нет правильного ответа.

 

5. Для определения общей средней из групповых средних (удельный вес групп неодинаков) следует применить формулу средней:

1. Арифметической простой;

2. Гармонической простой;

3. Арифметической взвешенной;

4. Гармонической взвешенной.

 

6. Когда применяется средняя гармоническая взвешенная величина:

1. Когда индивидуальные значения признака встречаются одинаковое число раз;

2. Когда значения признака представлены на определенную дату;

3. Когда известны значения признака и их произведение на частоты;

4. Нет правильного ответа.

 

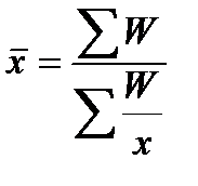
7. Свойство, какой формы средней отражено выражением :

1. Геометрической;

2. Квадратической;

3. Гармонической;

4. Арифметической.

 

8. Средняя величина не рассчитывается для случаев:

1. Когда признак принимает целые значения;

2. Когда признак принимает только дробные значения;

3. Когда признак не варьирует;

4. Когда признак атрибутивный.

 

 

9. Варианта – это:

1. Структурная переменная;

2. Как часто повторялись значения признака;

3. Значения одного явления;

4. Все ответы верны.

 

10. Какой вид средней величины используется для расчета среднего темпа роста:

1. Средняя гармоническая;

2. Средняя геометрическая;

3. Средняя хронологическая;

4. Средняя квадратическая.

 

11. Если известны фактические данные показателя и процент выполнения плана, то расчет среднего процента выполнения плана производится по формуле средней:

1. Гармонической;

2. Арифметической;

3. Геометрической;

4. Хронологической.

 

12. При увеличении всех значений признака в 2 раза средняя величина признака:

1. Увеличится в 2 раза;

2. Не изменится;

3. Уменьшится в 2 раза;

4. Нет правильного ответа.

 

13. При уменьшении значений частот в средней арифметической взвешенной в 2 раза значение средней величины признака:

1. Увеличится в 2 раза;

2. Не изменится;

3. Уменьшится в 2 раза;

4. Нет правильного ответа.

 

14. Могут ли веса средней быть выражены относительными показателями?

1. Могут;

2. Не могут;

3. В отдельных случаях;

4. Нет правильного ответа.

 

15. Может ли одно и то же исходное соотношение быть реализовано на основе различных форм средней?

1. Да, может;

2. Нет, не может;

3. Верно 1 и 2;

4. При определенных условиях.

 

16. Взвешенные средние применяются:

1. Для характеристики структуры совокупности;

2. Для не сгруппированных данных;

3. Для сгруппированных данных;

4. Для характеристики однородности совокупности.

 

 

17. Если все варианты значений признака уменьшить в 3 раза, то средняя:

1. Изменение средней предсказать нельзя;

2. Уменьшится в 3 раза;

3. Увеличится в 3 раза;

4. Не изменится.

 

18. Рассчитайте среднюю заработную плату работников на фирме, состоящей из двух предприятий:

Средняя заработная плата, руб. Фонд заработной платы, руб.
     
     

 

1. 845,0 руб.; 2. 867,3 руб.; 3. 877,2 руб.; 4. 760,4 руб.

 

19. По средней …….. определяется средний уровень моментного ряда:

1. Геометрической;

2. Арифметической;

3. Квадратической;

4. Хронологической.

 

20. Расчет среднего стажа работы должен быть проведен в форме средней…….. при следующих данных:

Стаж работы, лет До 5 5-10 10-15 15 и более
Число рабочих        

1. Арифметической простой;

2. Арифметической взвешенной;

3. Гармонической взвешенной;

4. Гармонической простой;

5. Геометрической.

 

21. Рассчитайте средний курс доллара по двум биржам:

Биржа Курс доллара, руб. Объем продаж, тыс. руб.
ММВБ СПВБ   87,2 15,4

1. 4590,4 руб.; 2. 4592,5 руб.; 3. 4536,3 руб.; 4. 4604,7 руб.

 

22. Какой вид средних величин используется при расчете среднего значения первичного признака?

1. Арифметическая простая;

2. Арифметическая взвешенная;

3. Гармоническая простая;

4. Гармоническая взвешенная.

 

23. Установите соответствие:

□ Средняя гармоническая взвешенная 1.

□ Средняя арифметическая взвешенная 2. ;

□ Средняя геометрическая 3.

□ Средняя арифметическая простая 4. ;

□ Средняя квадратическая простая 5. ;

□ Средняя квадратическая взвешенная 6. ;

□ Средняя хронологическая 7. ;

 

24. Какой вид средних величин используется при расчете среднего значения вторичных признаков?

1. Простые средние;

2. Взвешенные средние;

3. Оба вида средних;

4. Нет правильного ответа.

 

25. В каких случаях используется средняя гармоническая?

1. Когда неизвестен числитель исходного соотношения;

2. Когда неизвестен знаменатель исходного соотношения;

3. Когда значения признака представлены на определенную дату;

4. Нет правильного ответа.

 

26. Для расчета средней величины по не сгруппированным данным в случае возможности их прямого суммирования следует применить формулу:

1. Гармонической взвешенной;

2. Арифметической взвешенной;

3. Гармонической простой;

4. Арифметической простой.

 

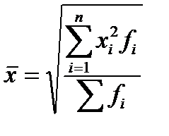
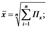
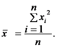
27. Какая из приведенных ниже формул является средней геометрической?

1. 2. 3. ; 4.

 

28. Для характеристики среднего уровня признака в неоднородных совокупностях используются:

1. Средняя арифметическая;

2. Мода и медиана;

3. Средняя геометрическая;

4. Средняя квадратическая.

29. В теории статистики объективность и типичность статистической средней обеспечивается, если статистическая совокупность соответствует следующим требованиям…..

1. Качественная однородность;

2. Достаточно большой объем совокупности;

3. Содержит существенно различные единицы наблюдения;

4. Имеет небольшой объем.

 

 

31. По предприятию имеются следующие данные:

Фонд заработной платы, руб. Средняя заработная плата, руб.
     
     

 

Какую форму средней следует использовать для расчета средней заработной платы по предприятию в целом?

1. Арифметическую простую;

2. Гармоническую простую;

3. Геометрическую;

4. Арифметическую взвешенную;

5. Гармоническую взвешенную.

 

32. Имеются данные о выпуске одинаковой продукции на двух предприятиях:

  Предприятие 1 квартал 2 квартал
Себестоимость изделия, руб. Количество изделий, тыс. шт. Себестоимость изделия, руб. Количество изделий, тыс. шт.
  17,10   17,00  
  17,80   17,70  

 

Как изменилась средняя себестоимость продукции во втором квартале по сравнению с первым по двум предприятиям, вместе взятым за два квартала.

1. Уменьшилась;

2. Возросла;

3. Осталась без изменений; уточнить

4. Уменьшилась незначительно.

 

33. Уставной капитал АО «Октябрь» разделен между акционерами следующим образом:

460 акционеров владеют – 1 акцией, 10 акционеров – 2 акциями, 1 акционер – 500 акциями. Каково среднее количество акций?

1. 0,5; 2. 3,0; 3. 2,1; 4. 2,6.

 

 

34. По сельскохозяйственным предприятиям области имеются следующие данные:

 

Урожайность, ц/га Число предприятий Средняя посевная площадь, га
30-34    
34-38    
38-42    

 

Какую формулу средней необходимо использовать для расчета средней урожайности в целом по всем сельскохозяйственным предприятиям?

1. Среднюю арифметическую простую;

2. Среднюю арифметическую взвешенную;

3. Среднюю гармоническую простую;

4. Среднюю гармоническую взвешенную.

 

35. По предприятию известны следующие данные:

Средняя выработка на 1 рабочего бригады (деталей за смену) Число бригад Среднее число рабочих в бригаде Средний процент бракованных деталей на 1 рабочего
      3,5
      4,3
      4,1

 

Данные, каких граф будут использованы в качестве весов при расчете среднего процента бракованных деталей по предприятию в целом?

1. Всех граф, кроме первой;

2. Второй и третьей графы;

3. Всех граф, кроме четвертой;

4. Затрудняюсь ответить.

 

36. Известны следующие данные по заработной плате рабочих:

Средняя заработная плата рабочих бригады Число бригад Среднее число человек в бригаде
700-780    
780-860    
860-940    

 

Данные, каких граф будут выступать в качестве весов при расчете средней заработной платы по предприятию в целом?

 

1. 2 графы; 2. 3 графы; 3. 2 и 3 графы; 4. 1,2 и 3 графы; 5. Веса не нужны.

 

37. Рассчитайте среднюю заработную плату по всем работникам предприятия в целом:

Категории персонала Средняя заработная плата, руб. Численность работников, чел.
Рабочие    
Служащие    

 

1. 184,4 руб.; 2. 1000 руб.; 3. 869,8 руб.; 4. 936,5 руб.

 

38. Средняя является объективной характеристикой величины признака:

1. В неоднородной совокупности;

2. В однородной совокупности;

3. В любых совокупностях;

4. В выборках.

 

39. Какая из приведенных ниже формул является средней арифметической взвешенной?

 

1. 2. 3. ; 4. ; 5.

 

40. Имеются данные о доле экспортной продукции металлургического предприятия:

Вид продукции Доля экспортной продукции, % Стоимость экспортной продукции, тыс. руб.
Сталь арматурная 40,0  
Прокат листовой 32,0  

 

Определение доли экспортной продукции должно быть проведено по формуле:

1. Арифметической взвешенной;

2. Гармонической простой;

3. Гармонической взвешенной;

4. Геометрической.

 

41. Имеются данные о распределении по стажу рабочих предприятия:

Стаж работы До 5 лет 5 – 10 лет 10 – 15 лет Более 15 лет
Количество рабочих        

 

Осреднение стажа рабочих должно быть проведено по формуле:

1. Арифметической простой;

2. Арифметической взвешенной;

3. Гармонической простой;

4. Гармонической взвешенной.

 

42. Имеются данные о размере «скрытой» заработной платы в общей сумме полученного заработка (в %) в 2008 году у мужчин и женщин, занятых на предприятиях г. Тюмени:

Скрытый заработок, в % Количество ответивших мужчин, в % Количество ответивших женщин, в %
До 20 9,2 22,1
20 - 30 16,3 29,6
30 - 50 31,9 40,8
50 - 70 21,2 7,2
Свыше 70 21,4 0,3

 

Определите средний размер «скрытой» заработной платы женщин.

1. 29,2%; 2. 48,1 %; 3. 45,6%; 4. 20,5%.

 

43. По данным предыдущей задачи определите средний размер «скрытой» заработной мужчин:

1. 31,6%; 2. 48,7%; 3. 45,4%; 4. 20,5%.

 

 

44. Имеются данные о стоимости денежных средств на предприятии в феврале – марте 2009 года (тыс. руб.):

01. 02. 08. 02. 22.02. 01.03. 08.03. 15.03. 31.03.

200 400 500 300 200 400 300

Средняя стоимость денежных средств на предприятии в марте 2009 года составила к уровню февраля этого же года (в %):

1. 47,06; 2. 60,00; 3. 87,73; 4. 150,0.

 

45. Какой путь вычислений средней урожайности пшеницы в совхозах правилен?

 

Виды пшеницы Урожайность, ц/га Число полей Средняя площадь поля, га
Яровая      
Озимая      

; 2.: ; 3.:

 

4.: 5.: 6.: 2 С… 1000</m:t></m:r></m:num><m:den><m:r><w:rPr><w:rFonts w:ascii="Cambria Math" w:h-ansi="Cambria Math"/><wx:font wx:val="Cambria Math"/><w:i/></w:rPr><m:t>6 С… 20 + 36 С… 2 </m:t></m:r></m:den></m:f><m:r><w:rPr><w:rFonts w:ascii="Cambria Math" w:h-ansi="Cambria Math"/><wx:font wx:val="Cambria Math"/><w:i/></w:rPr><m:t>=26,0;</m:t></m:r></m:oMath></m:oMathPara></w:p><w:sectPr wsp:rsidR="00000000"><w:pgSz w:w="12240" w:h="15840"/><w:pgMar w:top="1134" w:right="850" w:bottom="1134" w:left="1701" w:header="720" w:footer="720" w:gutter="0"/><w:cols w:space="720"/></w:sectPr></w:body></w:wordDocument>">

 

7.:

 

46. Какой путь вычисления средней плотности населения трех областей в целом является правильным:

 

Области Плотность населения, чел./ Общее число жителей, тыс. чел.
     
     
     

1. По формуле: 2. По формуле: 3. По формуле:

4. По формуле: ; 5. По формуле: ; 6. По формуле: .

 

47. Каково правильное соотношение между средними величинами разных видов из одних и тех же индивидуальных величин?

1.

2.

3.

4.

5.

 

48. Средняя величина характеризует:

1. Уровень вариации явления;

2. Уровень развития явления в целом по совокупности при большом количестве наблюдений;

3. Зависимость между единицами совокупности;

4. Динамику развития социально-экономического явления.

 

49. При расчете среднего уровня цен, если в качестве весов используют показатели количества товаров в натуральном выражении, применяют формулу средней……

1. Средней хронологической;

2. Арифметической взвешенной;

3. Геометрической;

4. Гармонической.

 




Поделиться с друзьями:


Дата добавления: 2015-03-31; Просмотров: 2827; Нарушение авторских прав?; Мы поможем в написании вашей работы!


Нам важно ваше мнение! Был ли полезен опубликованный материал? Да | Нет



studopedia.su - Студопедия (2013 - 2025) год. Все материалы представленные на сайте исключительно с целью ознакомления читателями и не преследуют коммерческих целей или нарушение авторских прав! Последнее добавление




Генерация страницы за: 0.012 сек.