Студопедия

КАТЕГОРИИ:


Архитектура-(3434)Астрономия-(809)Биология-(7483)Биотехнологии-(1457)Военное дело-(14632)Высокие технологии-(1363)География-(913)Геология-(1438)Государство-(451)Демография-(1065)Дом-(47672)Журналистика и СМИ-(912)Изобретательство-(14524)Иностранные языки-(4268)Информатика-(17799)Искусство-(1338)История-(13644)Компьютеры-(11121)Косметика-(55)Кулинария-(373)Культура-(8427)Лингвистика-(374)Литература-(1642)Маркетинг-(23702)Математика-(16968)Машиностроение-(1700)Медицина-(12668)Менеджмент-(24684)Механика-(15423)Науковедение-(506)Образование-(11852)Охрана труда-(3308)Педагогика-(5571)Полиграфия-(1312)Политика-(7869)Право-(5454)Приборостроение-(1369)Программирование-(2801)Производство-(97182)Промышленность-(8706)Психология-(18388)Религия-(3217)Связь-(10668)Сельское хозяйство-(299)Социология-(6455)Спорт-(42831)Строительство-(4793)Торговля-(5050)Транспорт-(2929)Туризм-(1568)Физика-(3942)Философия-(17015)Финансы-(26596)Химия-(22929)Экология-(12095)Экономика-(9961)Электроника-(8441)Электротехника-(4623)Энергетика-(12629)Юриспруденция-(1492)Ядерная техника-(1748)

Интерфейс компьютера 2 страница




    компиляцией
      интерпретацией
      компоновкой
      генерацией кода

10. Для объектно-ориентированной технологии программирования верно утверждение, что …

  классы образуют иерархию на принципах наследования
    в качестве основных элементов программы используются процедуры, реализующие некоторые алгоритмы
    поведение объектов одного класса очень различается
    внешнее описание класса (интерфейс) отражает структуру объекта

Решение:
Объектно-ориентированное программирование (ООП) – это технология программирования, которая основана на представлении программы в виде совокупности объектов, каждый из которых является реализацией определенного класса, а классы образуют иерархию на принципах наследования.
Объектно-ориентированное программирование использует в качестве элементов конструкции классы и объекты, а не алгоритмы.
Идея классов является основой ООП и отражает строение объектов реального мира, поскольку каждый предмет или процесс обладает набором характеристик или отличительных черт, иными словами, свойствами и поведением.
Класс – описание множества объектов, связанных общностью структуры и поведением. Существует явное разделение внешнего и внутреннего описания класса (интерфейса и реализации). Интерфейс отражает внешнее поведение объекта, описывая абстракцию поведения всех объектов данного класса, но скрывает структуру и несущественные детали. Реализация составляет его внутреннее проявление и определяет особенности поведения.
Объект представляет собой особый опознаваемый предмет или сущность (реальную или абстрактную), имеющие четко определенное функциональное назначение в данной предметной области. Структура и поведение одинаковых объектов описываются в общем для них классе.
В ООП конкретные величины типа данных «класс» называются экземплярами класса, или объектами. Объекты взаимодействуют между собой, посылая и получая сообщения. Сообщение – это запрос на выполнение действия, содержащий набор необходимых параметров. Механизм сообщений реализуется с помощью вызова соответствующих функций или методов классов.
Основными принципами или свойствами ООП являются инкапсуляция, наследование и полиморфизм.

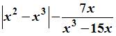
11. Выражению соответствует следующее арифметическое выражение на языке программирования (операция возведения в степень обозначена символом «^») …

   
     
     
     

12. Язык программирования АДА, который, в частности, был использован при разработке комплекса пилотажно-навигационного оборудования для российского самолета-амфибии Бе-200, был создан в _________ году.

     
       
       
       

13. Одно из основополагающих понятий объектно-ориентированного программирования «инкапсуляция» означает …

    объединение в единое целое данных и алгоритмов обработки этих данных
      свойство различных объектов выполнять одно и то же действие разными способами
      способность объекта сохранять свойства и методы класса-родителя
      заключение в отдельный модуль всех процедур работы с объектом

14. Для объектно-ориентированной технологии программирования верно утверждение, что наследование – это …

    способность объекта сохранять свойства и методы класса-родителя
      сокрытие информации и комбинирование данных и методов внутри объекта
      возможность задания в иерархии объектов различных действий в методе с одним именем
      заключение в отдельный модуль процедур работы с объектом

 

15. В технологической цепочке решения задач на ЭВМ

отсутствует пункт …

    математическая формализация
      определение данных и требуемых результатов
      графическое описание процесса
      ввод и редактирование программы

 

16. Язык BASIC был создан для …

    обучения программированию
      выполнения научно-технических расчетов
      замены Ассемблера
      выполнения экономических расчетов

17. Языком логического программирования является …

    PROLOG
      LISP
      PASCAL
      C++

18. В объектно-ориентированном программировании определенный пользователем тип данных, который обладает внутренними данными и методами для работы с ними в форме процедур или функций, называется …

    классом
      атрибутом
      полем
      свойством

ЭВМ

1. Быстродействие накопителя информации характеризуется …

  средним временем доступа и скоростью передачи
    тактовой частотой и разрядностью
    объемом записываемой информации
    количеством битов информации, которое накопитель воспринимает как единое целое

2. В основу построения большинства компьютеров положены следующие принципы, сформулированные Джоном фон Нейманом: принцип программного управления, принцип однородности памяти и принцип …

  адресности
    трансляции
    системности
    структурности

3. Принцип «открытой архитектуры» при разработке персональных компьютеров, серийное производство которых было начато в 80-х гг. XX в., реализован фирмой …

 
   
   
   

4. Успех семейства машин IBM PC в первую очередь обеспечивается …

    построением по принципу открытой архитектуры
      наличием мощного микропроцессора
      наличием современной видеосистемы
      большим объемом оперативной памяти

5. Сигналы, определяющие характер обмена информацией (ввод или вывод), передаются по шине …

    управления
      данных
      адресной
      обмена

6. Из перечисленных компакт-дисков для записипользователемсвоих файлов не предназначен

    CD-ROM
      DVD-R
      CD-R
      CD-RW

7. Основными компонентами архитектуры персонального компьютера являются процессор, внутренняя память, видеосистема, устройства ввода-вывода, …

  внешняя память
    корпус компьютера
    драйверы
    контроллеры

8. BIOS (Basic Input Output System) является …

  группой программ в постоянном запоминающем устройстве
    стандартной кодовой таблицей
    частью оперативной памяти
    базовой частью микропроцессора

9. 28 триггеров могут хранить ___ байт информации.

    3,5
       
       
      2,5

10. В 1896 г. ___________ основывает фирму по производству табуляционных машин, которая в 1924 г. после серии слияний и переименований превратилась в знаменитую фирму ИБМ (IBM, International Business Machines Corporation).

  Герман Холлерит
    Конрад Цузе
    Клод Шеннон
    Алан Тьюринг

11. Наиболее эффективным способом защиты локального компьютера от несанкционированного доступа при его включении является …

    использование программно-аппаратных средств защиты
      установка пароля на BIOS
      установка пароля на операционную систему
      использование новейшей операционной системы

12. Для запоминания 8 байт информации потребуется ___ триггер (-а,-ов).

   
     
     
     

13. Первая отечественная ЭВМ была разработана под руководством …

    С.А. Лебедева
      М.В. Ломоносова
      С.П. Королева
      А.Н. Попова

14. К основным параметрам лазерных принтеров не относятся

    ширина каретки, максимальная скорость печати
    буфер данных, уровень шума
      разрешающая способность, буфер печати
      производительность, формат бумаги

15. Микропроцессоры различаются между собой …

    тактовой частотой и разрядностью
      многозадачностью
      набором арифметических команд
      счетчиками времени

16. Из перечисленных видов памяти наибольшей информационной емкостью обладает …

  оперативная память
    кэш-память
    микропроцессорная память
    CMOS

17. Быстродействие накопителя информации характеризуется …

  средним временем доступа и скоростью передачи
    тактовой частотой и разрядностью
    объемом записываемой информации
    количеством битов информации, которое накопитель воспринимает как единое целое

18. Фирма первоначально занималась …

    выпуском электрического оборудования
      статистической обработкой данных
      разработкой устройств, способных производить арифметические операции с двоичными числами
      созданием механических вычислительных устройств, способных решать сложные дифференциальные уравнения

19. Электронная вычислительная машина (ЭВМ) – это …

    комплекс технических средств, предназначенных для автоматической обработки информации
      комплекс аппаратных и программных средств для обработки информации
      модель, устанавливающая состав, порядок и принципы взаимодействия входящих в нее компонентов
      устройство для работы по заданной программе

20. Одним из параметров накопителя на жестких дисках является форм-фактор, который означает …

  диаметр дисков в дюймах
    количество цилиндров
    диаметр дисков в сантиметрах
    количество поверхностей

21. Первая в континентальной Европе ЭВМ называлась …

  МЭСМ
    MARK-1
    КОЛОСС
    Z1

22. Небольшая по объему высокоскоростная буферная память для хранения команд и данных – это …

  кэш-память
    CMOS-память
    ПЗУ
    флэш-память

23. Основными компонентами архитектуры персонального компьютера являются процессор, внутренняя память, видеосистема, устройства ввода-вывода, …

    внешняя память
      корпус компьютера
      драйверы
      контроллеры

24. Целью создания «пятого поколения ЭВМ» являлось(-лась) …

  реализация возможности моделирования человеческого интеллекта
    достижение сверхвысокой производительности компьютеров
    создание дешевых компьютеров
    создание единого человеко-машинного интеллекта

Решение:
В 1981 г. японский Комитет научных исследований в области ЭВМ опубликовал проект, согласно которому предполагалось, что к 1991 г. будут созданы принципиально новые компьютеры, ориентированные на решение задач искусственного интеллекта. Планировалось осуществить качественный переход от хранения и обработки данныхк хранению и обработке знаний. Для компьютеров пятого поколения не пришлось бы писать программ, а достаточно было бы объяснить на «почти естественном» языке, что от них требуется. Учитывая сложность реализации поставленных перед пятым поколением задач, вполне возможно разбиение его на более обозримые и лучше ощущаемые этапы, первый из которых во многом реализован в рамках настоящего четвертого поколения.

25.

. На рисунке представлена функциональная схема ЭВМ, предложенная …

    Дж. фон Нейманом
      Чарльзом Бэббиджем
      Биллом Гейтсом
      Аланом Тьюрингом

26. В состав микропроцессора входит …

    устройство управления
      постоянное запоминающее устройство
      шина данных
      шина управления

27. В основу построения большинства компьютеров положены следующие принципы, сформулированные Джоном фон Нейманом: принцип программного управления, принцип однородности памяти и принцип …

    адресности
      трансляции
      системности
      структурности

28. Основными параметрами, характеризующими запоминающие устройства компьютера, являются …

    информационная емкость, время доступа, стоимость
      энергопотребление, тип интерфейса, стоимость
      информационная емкость, размер кластера, частота вращения диска
      тип интерфейса, скорость передачи данных, информационная емкость

29. Автоматическое шифрование-расшифрование информации при записи на носители обеспечивает файловая система …

    NTFS
      FAT-32
      FAT-64
      DFS

30.На некотором жестком диске размер кластера составляет 512 байт. На этот диск записаны четыре файла размерами 100, 200, 1000 и 2500 байт. Для хранения всех четырех файлов необходимо ___________ кластера(-ов).

     
       
       
      7,5

31.Периферийные устройства выполняют функцию …

    ввода-вывода информации
      управления работой ЭВМ по заданной программе
      оперативного сохранения информации
      обработки данных, вводимых в ЭВМ

32. По принципам действия средства вычислительной техники подразделяют на …

    цифровые, аналоговые, комбинированные
      цифровые, аналоговые, электронные
      ламповые, транзисторные, микропроцессорные
      универсальные и специализированные

33. Информация на магнитных дисках записывается …

    по концентрическим дорожкам и секторам
      в специальных магнитных окнах
      по индексным отверстиям
      в дисковых регистрах

34. Из перечисленных видов памяти компьютера самой быстродействующей является …

    микропроцессорная память
      кэш-память
      оперативная память
      CMOS-память

Решение:
Из перечисленных видов памяти компьютера самой быстродействующей является микропроцессорная память, которая реализуется на том же кристалле, что и процессор. Она предназначена для хранения небольшого количества информации (до нескольких десятков слов, а в RISC-архитектурах – до сотни), обрабатываемой в текущий момент времени. Обращение к этой памяти производится непосредственно по командам процессора.

35. Электронная микросхема EPROM является …

    ПЗУ с возможностью перепрограммирования
      неперепрограммируемым ПЗУ
      частью ОЗУ
      разновидностью DVD-ROM

36. В состав служебного программного обеспечения входят …

    средства диагностики
    средства обеспечения компьютерной безопасности
      браузеры
      системы видеомонтажа

37. В состав мультимедиа-компьютера обязательно входит …




Поделиться с друзьями:


Дата добавления: 2015-04-24; Просмотров: 1236; Нарушение авторских прав?; Мы поможем в написании вашей работы!


Нам важно ваше мнение! Был ли полезен опубликованный материал? Да | Нет



studopedia.su - Студопедия (2013 - 2026) год. Все материалы представленные на сайте исключительно с целью ознакомления читателями и не преследуют коммерческих целей или нарушение авторских прав! Последнее добавление




Генерация страницы за: 0.016 сек.