Студопедия

КАТЕГОРИИ:


Архитектура-(3434)Астрономия-(809)Биология-(7483)Биотехнологии-(1457)Военное дело-(14632)Высокие технологии-(1363)География-(913)Геология-(1438)Государство-(451)Демография-(1065)Дом-(47672)Журналистика и СМИ-(912)Изобретательство-(14524)Иностранные языки-(4268)Информатика-(17799)Искусство-(1338)История-(13644)Компьютеры-(11121)Косметика-(55)Кулинария-(373)Культура-(8427)Лингвистика-(374)Литература-(1642)Маркетинг-(23702)Математика-(16968)Машиностроение-(1700)Медицина-(12668)Менеджмент-(24684)Механика-(15423)Науковедение-(506)Образование-(11852)Охрана труда-(3308)Педагогика-(5571)Полиграфия-(1312)Политика-(7869)Право-(5454)Приборостроение-(1369)Программирование-(2801)Производство-(97182)Промышленность-(8706)Психология-(18388)Религия-(3217)Связь-(10668)Сельское хозяйство-(299)Социология-(6455)Спорт-(42831)Строительство-(4793)Торговля-(5050)Транспорт-(2929)Туризм-(1568)Физика-(3942)Философия-(17015)Финансы-(26596)Химия-(22929)Экология-(12095)Экономика-(9961)Электроника-(8441)Электротехника-(4623)Энергетика-(12629)Юриспруденция-(1492)Ядерная техника-(1748)

Языки программирования высокого уровня




Кц

Все

Выбор

Все

Выбор

Все

Выбор

Кц

значение переменной d равно

 

(1)При выполнении подпрограммы

Aлг пpl (арг цел X. рез цел F) Нач

еслнХ<= 1

to F:= 2 иначе F:= F (X - 2) + 3 все кон

с параметрами (2. А) значение переменной А будет равно

●3

 

(1)При выполнении подпрограммы

Air пpl (арг цел X. рез цел F) Нач

еслиХ<= 1

to F:= 2 иначе F:= F (X - 2) + 3 все кон

с параметрами (2. А) значение переменной А будет равно

●3

 

 

(1)При выполнении подпрограммы

Air пpl (арг цел X. рез цел F) Нач

еслиХ<= 1

toF:= 2 иначе F:= F (X - 1) + 3 все кон

с параметрами (2. А) значение переменной А будет равно

 

(1)В результате работы алгоритма

:= X + 5 Х:= Y

:= X + Y вывод Y

переменная Y приняла значение 14. Укажите число, которое являлось значением переменной X до начала работы алгоритма.

 

(1)В результате работы алгоритма

:= X -1 X:= Y +2

:= X + Y вывод Y

переменная Y приняла значение 10. Укажите число, которое являлось значением переменной X до начала работы алгоритма.

"

●5

 

(1) В результате выполнения фрагмента программы

X:=5

Y:=7

P:=X=Y

Q:=Y>X

P:=P AND Q

значения переменных будут равны

P = False; Q = True

P = True; Q = True

P = True; Q = False

P = False; Q = False

 

(1)После выполнения фрагмента программы

 

X:= 5

Z:= 7

вывод (“X= “, X<Z, “ X= “, Z>X, Z+X);

 

на печать будет выведено

X= TRUE X= TRUE12

X= X<Z X= Z>12

X= TRUE X= TRUEZ+X

X= 5<7 X= 7>512

 

(1) Значение переменной d после выполнения фрагмента алгоритма (операции mod (x, y) - получение остатка целочисленного деления х на y, div (x, y) - целочисленное деление х на у)

k:=50

| при div (k, 12) = 4: d:=k;

| при mod (k, 12) < 5: d:=2;

 

| при mod (k, 12) > 9: d:=3;

 

| иначе d:=1;

равно

 

(1) Значение переменной d после выполнения фрагмента алгоритма (операции mod (x, y) - получение остатка целочисленного деления х на y, div (x, y) - целочисленное деление х на у)

k:=30

| при div (k, 12) = 4: d:=k;

| при div (k, 12) < 5: d:=2;

 

| при mod (k, 12) > 9: d:=3;

 

| иначе d:=1;

равно

 

(1) Значение переменной d после выполнения фрагмента алгоритма (операции mod (x, y) - получение остатка целочисленного деления х на y, div (x, y) - целочисленное деление х на у)

k:=70

| при mod (k, 12) = 7: d:=k;

| при mod (k, 12) < 5: d:=2;

 

| при mod (k, 12) > 9: d:=3;

 

| иначе d:=1;

равно

 

 

(1)В результате работы фрагмента блок-схемы алгоритма

а и b примут следующие значения...

а=4. b=2

а=0. b=0

●а=2, b=2

а=2. b=4

 

(1)При каких начальных значениях а и b алгоритм на блок-схеме закончит работу (a mod 2 - операция взятия числа а по модулю 2).

а=1, b=2

●а=2. b=2

а=1. b=1

а=2. b=1

 

 

(1)При каких начальных значениях переменных алгоритм на блок-схеме закончит работу (a mod 2 = остаток от деления а на 2).

а=1, b=3

а=5, b=3

а=2. b=3

а=6. b=3

(1)В результате работы фрагмента алгоритма

элементы массива A1, А2, A3, А4 при N=4 получат, соответственно, значения...

2, 8, 16, 32

4, 6, 12, 14

2, 4, 8, 12

●4, 6, 8, 10

 

(1) Представленный фрагмент блок-схемы алгоритма

 


25

1*2*3*4

1*2*3*4*5

24

 

(1)В результате выполнения фрагмента блок-схемы алгоритма

 


X и Y примут следующие значения …

X=3, Y=4,5

X=2, Y=2

X=2, Y=3,5

X=3, Y=0,5

 

(1)Задан одномерный массив Х1, Х2, …, ХN. Фрагмент алгоритма

 

 

 


определяет

номер последнего нулевого элемента

количество положительных элементов

количество нулевых элементов

номер первого нулевого элемента

 

(1)Задан одномерный массив Х1, Х2, …, ХN. Фрагмент алгоритма

 

 


определяет

произведение отрицательных элементов

произведение положительных элементов с четными номерами

произведение отрицательных элементов с четными номерами

количество положительных элементов с четными номерами

 

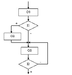
(1)Блок-схема на рисунке соответствует алгоритму

где кв - конец ветвления кц - конец цикла нц - начало цикла

●Ol; Если I1 то 02; кв; ОЗ; Пока не I2 выполнять нц ОЗ; кц;

Ol; Если I1 то 02; кв; ОЗ; Пока I2 выполнять нц ОЗ; кц;

Ol; Если I1 то 02; иначе ОЗ; кв; Пока не I2 выполнять нц ОЗ; кц;

Ol; Если I1 то 02; кв; Пока не I2 выполнять нц ОЗ; кц;

 

(1)Процедура KLMN

ПРОЦЕДУРА KLMN; НАЧАТЬ ПРОЦЕДУРУ

I I ПИСАТЬ('ВВЕДИТЕ ЗНАЧЕНИЕ К, L, M, N');
I|ЧИТАТЬ (К, L, M, N);

I1ЕСЛИ K=L TO I||1ЕСЛИ М<И ТО IIll|X:=1 IИНАЧЕ IIll|X:=2

II I I КОНЕЦ ЕСЛИ
I|ИНАЧЕ Х:=3

I|КОНЕЦ ЕСЛИ КОНЕЦ ПРОЦЕДУРЫ;

реализует следующее алгебраическое выражение...

(1) Процедура АВСD

 

Процедура АВСD;

НАЧАТЬ

| | писать (‘ ВВЕДИТЕ ЗНАЧЕНИЕ А, В, С, D’);

| | ЧИТАТЬ (А, В, С, D);

| | ЕСЛИ А=В ТО

| | | | ЕСЛИ С<D ТО

| | | | | | X: =1

| | | | ИНАЧЕ

| | | | | | Х:= 2

| | ИНАЧЕ Х: = 3

КОНЕЦ

 

реализует алгебраическое выражение вида…

 

 

 

 

(1)Укажите сколько раз выполнится цикл в программе

а:=3: b:=7;

wliile (а / 2) < (b / 3)

begin

а:=а+2;

b:=b+3; end:

●бесконечное число раз

 

(1)В представленном фрагменте программы

 

b:= 11; d:= 46

нц пока d >= b

| d:=d – b

 

тело цикла выполнится

 

3 раза

2 раза

1 раз

●4 раза

 

(1)Задан фрагмент алгоритма:

 

1. если а<b, то с=b-а, иначе с=2*(а-b)

2. d=0

3. пока с>а выполнить действия d=d+1, c=c-1

 

В результате выполнения данного алгоритма с начальными значениями

а=8, b=3, переменные c u d примут значения

с=-5, d=1

c=10, d=1

с=8, d=2

c=5, d=0

 

(1)Тектстуры являются объектами.

●двумерными

многомерными

трехмерными

одномерными

 

 

(1)Создание исполняемого файла из исходного текста программы предполагает выполнение процессов

а) компиляции

б) компоновки

в) интерпретации

г) исполнения программы

а.б.в

б,в,

●а,б

б,г

 

(1)Метод последовательного перебора применим

к упорядоченным и неупорядоченным структурам данных

●только к упорядоченным структурам данных

только к неупорядоченным структурам данных

только к списковым структурам данных

 

(1)Программа - компилятор...

оптимизирует код программы

строит задачу

обрабатывает структуры данных программы

●переводит исходный текст в машинный код

 

(1)Результатом компиляции является...

исходный текст

дисплейный файл

командный файл

●загрузочный модуль

 

(1)Компилятор используется при программировании

на естественном языке

●на языке высокого уровня

на языке сверхуровня

на языке машинных команд

 

(1)Фаза анализа компилятора не может содержать этапы...

семантический анализ

●генерация промежуточного кода

синтаксический анализ

лексический анализ

(1)Какая стадия трансляции занимается проверкой типов в выражениях?

генерация кода

лексический анализ

синтаксический анализ

●семантический анализ

 

(1)Для чего используется таблица символов в процессе трансляции

для хранения значений переменных

для хранения результатов выполнения процедур

●для хранения имён переменных и имён функций

 

(1)На какой стадии трансляции может быть выявлена ошибка "пропущена точка с запятой"?

на стадии оптимизации кода

на стадии семантического анализа

●на стадии синтаксического анализа

на стадии лексического анализа

 

(1)Процесс описания объекта на искусственном языке называют _____________объекта.

семантическим анализом

●формализацией

компиляцией

синтаксическим анализом

 

(1)Режим интерпретации можно использовать...

●при отладке программ

при изменения грамматики

для изменения синтаксиса языка программирования

для изменения семантики языка программирования

 

(1) Укажите правильное определение действий интерпретатора.

воспринимает исходную программу на исходном языке и выполняет ее

выполняет отладку исходной программы

создает объектный файл

создает комментарии внутри программного кода

 

(1)Системами программирования являются:

а) MS DOS

б) Java

в) Adobe PhotoShop

г) Visual C++

д) Borland Delphi

а,г

в,д

а,в

●б.г.д

 

(1)Языками программирования являются:

а) C++

б) MPI

в) Pascal

г) Far

д) Maple

а,б

б,в

г,д

●а, в

 

(1)Языками декларативного программирования являются...

языки сценариев

●логические языки

структурные языки

процедурные языки

 

(1)Язык Lisp относится к языкам...

структурного программирования

неопределенного программирования

системного программирования

●функционального программирования

 

(1)В языке программирования С используются подпрограммы...

●функции

модули

методы

процедуры

 

(1)Языком логического программирования является

●Prolog

Assembler

Fortran

LISP

 

(1)В языке Prolog при решении задачи используется...

конструктор основного класса программы

основная функция программы

прямая цепочка логического вывода

●обратная цепочка логического вывода

 

(1)Для системеного программирования наиболее подходят языки …

С, С++ и Ассемблер

PHP и Java

Ассемблер и Prolog

PHP и Prolog

 

(1)В состав средств программирования на языке высоко уровня обязательно входит

табличный редактор

●транслятор

жесткий диск

инструкция программиста

(1)Языки программирования высокого уровня характеризует:

близость к машинному языку

зависимость от архитектуры конкретного компьютера

●наличие понятия типа данных и близость к естественному языку

 

(1)Ассемблер, является

языком высокого уровня

двоичным кодом

инструкцией по использованию машинного кода

●языком низкого уровня

 

(1)Языком программирования низкого уровня является

ЛИСП

Бейсик

АДА

Ассемблер

 

(1)К какому типу языков относится ассемблер

●машинно - ориентированные

проблемно - ориентированные

машинные

высокого уровня

 

(1)Ассемблер относится к языкам ________________ типа

проблемно-ориентированного

●машинно-ориентированного

процедурно-ориентированного

объектно-ориентированного

 

(1)Кто является создателем языка Pascal?

Блез Паскаль

●Никлаус Вирт

Бъерн Стрayструп

Деннис Ритчи

 

(1)Способ записи программ, допускающий их непосредственное выполнение на ЭВМ. называется

логическим языком программирования

процедурным языком программирования

функциональным языком программирования

●машинным языком программирования

 

(1)В любом языке программирования отсутствуют выражения

арифметические

логические

текстовые

●физические




Поделиться с друзьями:


Дата добавления: 2015-04-24; Просмотров: 1219; Нарушение авторских прав?; Мы поможем в написании вашей работы!


Нам важно ваше мнение! Был ли полезен опубликованный материал? Да | Нет



studopedia.su - Студопедия (2013 - 2026) год. Все материалы представленные на сайте исключительно с целью ознакомления читателями и не преследуют коммерческих целей или нарушение авторских прав! Последнее добавление




Генерация страницы за: 0.008 сек.