Студопедия

КАТЕГОРИИ:


Архитектура-(3434)Астрономия-(809)Биология-(7483)Биотехнологии-(1457)Военное дело-(14632)Высокие технологии-(1363)География-(913)Геология-(1438)Государство-(451)Демография-(1065)Дом-(47672)Журналистика и СМИ-(912)Изобретательство-(14524)Иностранные языки-(4268)Информатика-(17799)Искусство-(1338)История-(13644)Компьютеры-(11121)Косметика-(55)Кулинария-(373)Культура-(8427)Лингвистика-(374)Литература-(1642)Маркетинг-(23702)Математика-(16968)Машиностроение-(1700)Медицина-(12668)Менеджмент-(24684)Механика-(15423)Науковедение-(506)Образование-(11852)Охрана труда-(3308)Педагогика-(5571)Полиграфия-(1312)Политика-(7869)Право-(5454)Приборостроение-(1369)Программирование-(2801)Производство-(97182)Промышленность-(8706)Психология-(18388)Религия-(3217)Связь-(10668)Сельское хозяйство-(299)Социология-(6455)Спорт-(42831)Строительство-(4793)Торговля-(5050)Транспорт-(2929)Туризм-(1568)Физика-(3942)Философия-(17015)Финансы-(26596)Химия-(22929)Экология-(12095)Экономика-(9961)Электроника-(8441)Электротехника-(4623)Энергетика-(12629)Юриспруденция-(1492)Ядерная техника-(1748)

Определение эластичности предложения по цене




ЭЛАСТИЧНОСТЬ ПРЕДЛОЖЕНИЯ – степень изменения предложения при изменении влияющих на него ценовых и неценовых факторов. Чаще всего рассматривают эластичность предложения по цене – зависимость изменения предложения от изменения цены.

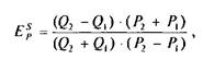
Формула расчета коэффициента эластичности:

Соответственно эластичность предложения по цене в данной точке исчисляется по формуле:

где Q1 и Q2 — первоначальный и текущий объем предложения; Р1 и Р2 — первоначальная и текущая цена. Обратите внимание, что здесь сразу применена формула центральной точки.

Рассмотрим следующие случаи, соответствующие графи­кам S1, S2, S3, S4, S5.

В зависимости от значения коэффициента эластичности предложения выделяют:

• неэластичное предложение (график S1): значительное про­центное изменение цены приводит к незначительному про­центному изменению объема предложения; коэффициент эластичности предложения меньше 1;

• эластичное предложение (график S2): незначительное про­центное изменение цены товара вызывает значительное воздействие на объемы предложения; коэффициент эла­стичности предложения больше 1;

• предложение с единичной эластичностью (график S3): из­менение цены товара, выраженное в процентах, в точности компенсируется аналогичным процентным изменением объема предложения; коэффициент эластичности предло­жения равен 1;

• абсолютно эластичное предложение (график S4): возможно существование только одной цены, при которой товар будет предлагаться для продажи; коэффициент эла­стичности стремится к бесконечности. Любое изменение цены приводит либо к полному отказу от производства то­вара (если цена понижается), либо к неограниченному уве­личению предложения (если цена повышается);

• абсолютно неэластичное предложение (гра­фик S5): как бы ни изменялась цена товара, в данном слу­чае его предложение будет постоянным (одинаковым); ко­эффициент эластичности равен нулю.

Эластичность предложения по цене определяется рядом фак­торов, наиболее весомые из которых следующие:

1. Эластичность предложениям тем выше, чем больше воз­можности длительного хранения товара и чем ниже издержки его хранения.

2. Предложение товара будет эластично, если технология производства позволяет производителю быстро увеличить объе­мы выпуска в случае роста рыночной цены на его продукцию или столь же быстро переориентироваться на производство ка­кой-либо другой продукции в случае ухудшения рыночной конъ­юнктуры и снижения цены товара.

3. Степень эластичности предложения зависит от фактора времени: чем больше у производителя времени «приспособить­ся» к новым рыночным условиям, связанным с изменениями цены, тем эластичнее предложения.

 




Поделиться с друзьями:


Дата добавления: 2015-04-24; Просмотров: 455; Нарушение авторских прав?; Мы поможем в написании вашей работы!


Нам важно ваше мнение! Был ли полезен опубликованный материал? Да | Нет



studopedia.su - Студопедия (2013 - 2026) год. Все материалы представленные на сайте исключительно с целью ознакомления читателями и не преследуют коммерческих целей или нарушение авторских прав! Последнее добавление




Генерация страницы за: 0.012 сек.