Студопедия

КАТЕГОРИИ:


Архитектура-(3434)Астрономия-(809)Биология-(7483)Биотехнологии-(1457)Военное дело-(14632)Высокие технологии-(1363)География-(913)Геология-(1438)Государство-(451)Демография-(1065)Дом-(47672)Журналистика и СМИ-(912)Изобретательство-(14524)Иностранные языки-(4268)Информатика-(17799)Искусство-(1338)История-(13644)Компьютеры-(11121)Косметика-(55)Кулинария-(373)Культура-(8427)Лингвистика-(374)Литература-(1642)Маркетинг-(23702)Математика-(16968)Машиностроение-(1700)Медицина-(12668)Менеджмент-(24684)Механика-(15423)Науковедение-(506)Образование-(11852)Охрана труда-(3308)Педагогика-(5571)Полиграфия-(1312)Политика-(7869)Право-(5454)Приборостроение-(1369)Программирование-(2801)Производство-(97182)Промышленность-(8706)Психология-(18388)Религия-(3217)Связь-(10668)Сельское хозяйство-(299)Социология-(6455)Спорт-(42831)Строительство-(4793)Торговля-(5050)Транспорт-(2929)Туризм-(1568)Физика-(3942)Философия-(17015)Финансы-(26596)Химия-(22929)Экология-(12095)Экономика-(9961)Электроника-(8441)Электротехника-(4623)Энергетика-(12629)Юриспруденция-(1492)Ядерная техника-(1748)

Темп прироста. Абсолютный приростхарактеризует увеличение (уменьшение) уровня ряда за определенный промежуток времени




Темп роста

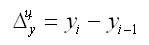
Абсолютные приросты

Абсолютный прирост характеризует увеличение (уменьшение) уровня ряда за определенный промежуток времени. Он определяется по формуле:

- цепной

- базисный

 

Темп роста (Тр) — это показатель интенсивности изменения уровня ряда, который выражается в процентах, а в долях выражается коэффициент роста (Кр). Кр определяется как отношение последующего уровня к предыдущему или к показателю принятому за базу сравнения. Он определяет, во сколько раз увеличился уровень по сравнению с базисным, а в случае уменьшения — какую часть базисного уровня составляет сравниваемый.

 

Темп роста определяется по формулам:

Коэффициент роста может быть рассчитан по формулам:

 

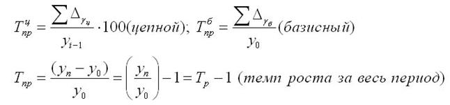
Темп прироста (Тпр) показывает относительную величину прироста и показывает, на сколько процентов сравниваемый уровень больше или меньше уровня, принятого за базу сравнения. Он может быть как положительным, так и отрицательным или равным нулю, он выражается в процентах и долях (коэффициенты прироста); рассчитывается как отношение абсолютного прироста к абсолютному уровню, принятому за базу:

Темп прироста можно получить из темпа роста:

 

Коэффициент прироста может быть получен таким образом:

 

14. Механическое и аналитическое сглаживание динамических рядов.

Сглаживание ряда – построение нового ряда данных, значение которых максимально приближены к значениям последнего ряда. Выполняется для выявления основной тенденции развития явления.

Выделяют два метода сглаживания – механический и аналитический.

Механическое сглаживание – способ скользящей средней» - заключается в том, что каждые несколько последних значений ряда поочерёдно заменяются их средней арифметической, т.е. строится новый ряд.

Уср = (Ут-1 + У1 + У т+1)/3

Аналитическое сглаживание происходит путём построения уравнения тренда.

Уравнение линейной функции y=a0+a1t

Уравнение квадратичной параболы y=a0+a1t+a2t2

Кубическая парабола y=a0+a1t+a2t2+a3t3

Показательная функция y=a0*a1t

Степенная функция y=a0*ta1

Полулогарифмическая y=a0+a1*Int

15. Расчёт средних аналитических показателей динамики.

Средней величиной называется статистический показатель, который дает обобщенную характеристику варьирующего признака однородных единиц совокупности.

 

Величина средней дает обобщающую количественную характеристику всей совокупности и характеризует ее в отношении данного признака.

 

Так, например, средняя заработная плата дает обобщающую количественную характеристику состояния оплаты труда рассматриваемой совокупности работников. Кроме того, используя средние величины, имеется возможность сопоставлять различные информационные совокупности. Так, например, можно сравнивать различные организации по уровню производительности труда, а также по уровню фондоотдачи, материалоотдачи и по другим показателям.

 

Сущность средней заключается в том, что в ней взаимопогашаются случайные отклонения значений признака и учитываются изменения вызванные основным фактором.

 




Поделиться с друзьями:


Дата добавления: 2015-04-24; Просмотров: 841; Нарушение авторских прав?; Мы поможем в написании вашей работы!


Нам важно ваше мнение! Был ли полезен опубликованный материал? Да | Нет



studopedia.su - Студопедия (2013 - 2026) год. Все материалы представленные на сайте исключительно с целью ознакомления читателями и не преследуют коммерческих целей или нарушение авторских прав! Последнее добавление




Генерация страницы за: 0.008 сек.