Студопедия

КАТЕГОРИИ:


Архитектура-(3434)Астрономия-(809)Биология-(7483)Биотехнологии-(1457)Военное дело-(14632)Высокие технологии-(1363)География-(913)Геология-(1438)Государство-(451)Демография-(1065)Дом-(47672)Журналистика и СМИ-(912)Изобретательство-(14524)Иностранные языки-(4268)Информатика-(17799)Искусство-(1338)История-(13644)Компьютеры-(11121)Косметика-(55)Кулинария-(373)Культура-(8427)Лингвистика-(374)Литература-(1642)Маркетинг-(23702)Математика-(16968)Машиностроение-(1700)Медицина-(12668)Менеджмент-(24684)Механика-(15423)Науковедение-(506)Образование-(11852)Охрана труда-(3308)Педагогика-(5571)Полиграфия-(1312)Политика-(7869)Право-(5454)Приборостроение-(1369)Программирование-(2801)Производство-(97182)Промышленность-(8706)Психология-(18388)Религия-(3217)Связь-(10668)Сельское хозяйство-(299)Социология-(6455)Спорт-(42831)Строительство-(4793)Торговля-(5050)Транспорт-(2929)Туризм-(1568)Физика-(3942)Философия-(17015)Финансы-(26596)Химия-(22929)Экология-(12095)Экономика-(9961)Электроника-(8441)Электротехника-(4623)Энергетика-(12629)Юриспруденция-(1492)Ядерная техника-(1748)

Розрахунок собівартості та ціни реалізації виробів усіх найменувань




Розрахункова форма №18

№ п/п Найменування показів Суми на виріб, грн.
А Б В Г
1. Основні матеріали 19,75 33,34 50,56 47,19
2. Зворотні відходи (віднімаються) 0,12 0,24 0,17 0,2
3. Основна зарплата основних виробничих робітників (розцінка) 11,4 5,29 9,15 7,03
4. Додаткова зарплата основних виробничих робітників 4,56 2,11 3,66 2,81
5. Відрахування у спеціальні фонди (з зарплати основних робітників) 5,9 2,74 4,73 3,64
6. Загальновиробничі витрати 17,67 8,2 14,18 10,9
7. Адміністративні витрати 6,55 3,04 5,26 4,04
8. Інші виробничі витрати 20,52 9,52 16,47 12,65
9. Збутові витрати 4,81 2,23 3,86 2,97
10. Повна собівартісь виробу 91,28 66,71 108,04 91,43
11. Планова рентабельність, %        
12. Плановий прибуток на виріб 31,94 10,01 27,01 27,42
13. Розрахункова (планова) ціна реалізації виробу 123,22 76,72 135,05 118,85

13. Розрахунок нормованих оборотних коштів підприємства

Оборотні кошти, в загальному, представляють собою фінансові ресурси, вкладені підприємством в його оборотні засоби, тобто об’єкти, використання яких відбувається протягом одного виробничого циклу або за період не більше одного календарного року. Ці об’єкти – оборотні засоби – змінюють власну натуральну форму і повністю переносять свою вартість на вартість виготовленої підприємством продукції.

Нормовані оборотні кошти визначають той мінімальний розмір ресурсів, який забезпечує нормальне і безперебійне функціонування виробничого процесу на підприємстві на протязі певного календарного періоду.

В даній курсовій роботі розрахунок нормованих оборотних коштів проводиться укрупнено, з урахуванням результатів попередньо проведених розрахунків.

Розрахунок вартості нормативу оборотних коштів виконуємо для кожного окремого елементу (k), необхідних підприємству ресурсів, за формулою (48):

(48)

де НОКk – розмір нормативу оборотних коштів ресурсу k-го виду, грн.;

РПk – потреба ресурсу k-го виду на річну виробничу програму підприємства, грн.;

Тнk – норматив запасу k-го елементу ресурсів, дні;

Тk – календарна тривалість року, дні (в курсовій роботі приймається, що Тk=365 днів).

Перелік усіх необхідних видів ресурсів оборотних коштів та рекомендовані для розрахунків в курсовій роботі значення Тнk наведено в розрахунковій формі №19.

Розрахунок річної потреби в кожному з необхідних елементів оборотних коштів проводиться наступним чином.

Річна потреба за елементом „Основні матеріали” приймається за результатами розрахунків п.6 у розмірі сумарних витрат основних матеріалів на річну виробничу програму підприємства ( - див. Розрахункову форму №8).

Річна потреба за елементом „Допоміжні матеріали” укрупнено приймається у розмірі 40% від значення вартості річної потреби за елементом „Основні матеріали”.

Річна потреба за елементом „Малоцінний та швидкозношуваний інструмент і пристрої” укрупнено приймається у розмірі 8% від сумарного значення первинної вартості усього устаткування (∑Ві – див. Розрахункову форму №9).

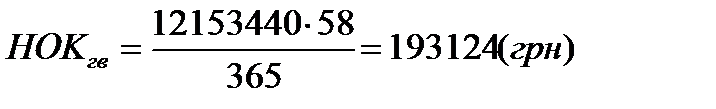
Річна потреба за елементом „Готовы вироби” (РПГВ) розраховується за формулою (49):

(49)

Усі розраховані значення РПk та НОКk округлюються до найближчого більшого цілого числа і зводяться в розрахункову форму №19.

 

 




Поделиться с друзьями:


Дата добавления: 2015-05-22; Просмотров: 420; Нарушение авторских прав?; Мы поможем в написании вашей работы!


Нам важно ваше мнение! Был ли полезен опубликованный материал? Да | Нет



studopedia.su - Студопедия (2013 - 2025) год. Все материалы представленные на сайте исключительно с целью ознакомления читателями и не преследуют коммерческих целей или нарушение авторских прав! Последнее добавление




Генерация страницы за: 0.012 сек.