Студопедия

КАТЕГОРИИ:


Архитектура-(3434)Астрономия-(809)Биология-(7483)Биотехнологии-(1457)Военное дело-(14632)Высокие технологии-(1363)География-(913)Геология-(1438)Государство-(451)Демография-(1065)Дом-(47672)Журналистика и СМИ-(912)Изобретательство-(14524)Иностранные языки-(4268)Информатика-(17799)Искусство-(1338)История-(13644)Компьютеры-(11121)Косметика-(55)Кулинария-(373)Культура-(8427)Лингвистика-(374)Литература-(1642)Маркетинг-(23702)Математика-(16968)Машиностроение-(1700)Медицина-(12668)Менеджмент-(24684)Механика-(15423)Науковедение-(506)Образование-(11852)Охрана труда-(3308)Педагогика-(5571)Полиграфия-(1312)Политика-(7869)Право-(5454)Приборостроение-(1369)Программирование-(2801)Производство-(97182)Промышленность-(8706)Психология-(18388)Религия-(3217)Связь-(10668)Сельское хозяйство-(299)Социология-(6455)Спорт-(42831)Строительство-(4793)Торговля-(5050)Транспорт-(2929)Туризм-(1568)Физика-(3942)Философия-(17015)Финансы-(26596)Химия-(22929)Экология-(12095)Экономика-(9961)Электроника-(8441)Электротехника-(4623)Энергетика-(12629)Юриспруденция-(1492)Ядерная техника-(1748)

Завдання. Характеристика єлементів виробничої структури підприємства




Характеристика єлементів виробничої структури підприємства.

Первичным элементом ПСП является рабочее место – это неделимое в организационном отношении звено производственного процесса, обслуживаемое одним или несколькими рабочими, предназначенное для выполнения одного или нескольких пр-х или обслуживающих операций, оснащенное соответственным оборудованием и технологической оснасткой. Участок – представляет собой пр-ое подразделение, объединяющее ряд рабочих мест, сгруппированных по определенному признаку, осуществляющие часть общего производственного процесса по изготовлению продукции. Различают: - основные; - вспомогательные; - обслуживающие; -побочные. Цех – это организационно-обособленное подразделение П, состоящее из ряда пр-х, вспомогательных и обслуживающих участков, выполняющее пр-ные функции, обусловленные характером внутризаводской кооперации. Цеха классифицируются: -основные; - вспомогательные; -обслуживающие; -побочные.К основным относятся цеха изготавливающие основную продукцию П: - кузнечный; - литейно-прессовый; - штамповочный; - механический; - термический; - сборочный.Вспомогательный цех изготавливает продукцию необходимую для функционирования П:- ремонтный; - инструментальный; - энергетический.Обслуживающие предназначены для обслуживания всех подразделений П: - транспортный; - складские помещения. К побочным относятся такие подразделения, которые перерабатывают отходы, полученные в пр-м процессе: - цех обработки металлолома; - изготовление товаров народного потребления; - тарный цех.

 

Введіть відповіді на запитання (запитання на слайді) у відповідні комірки електронної таблиці і дізнайтеся ключове слово, яке принесе вам перший успішний бал (Рене Декарт).

Переходимо до бліц-опитування (за правильну відповідь – 1 бал).

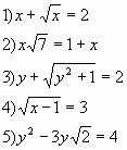
Завдання 1. Увага на екран. Знайдіть, будь-ласка, серед запропонованих рівнянь ірраціональні (слайд):

Завдання 2. Чи являється число коренем рівняння:

1) ,

2) ,

Завдання 3. Знайдіть корені рівняння:

1)

2)

3)

4)

Висновок: повторено означення ірраціонального рівняння, коренів рівняння, властивості кореня n-го степеня та розв’язування найпростіших ірраціональних рівнянь.

IІІ. Узагальнення та систематизація знань




Поделиться с друзьями:


Дата добавления: 2015-05-22; Просмотров: 212; Нарушение авторских прав?; Мы поможем в написании вашей работы!


Нам важно ваше мнение! Был ли полезен опубликованный материал? Да | Нет



studopedia.su - Студопедия (2013 - 2026) год. Все материалы представленные на сайте исключительно с целью ознакомления читателями и не преследуют коммерческих целей или нарушение авторских прав! Последнее добавление




Генерация страницы за: 0.011 сек.