Студопедия

КАТЕГОРИИ:


Архитектура-(3434)Астрономия-(809)Биология-(7483)Биотехнологии-(1457)Военное дело-(14632)Высокие технологии-(1363)География-(913)Геология-(1438)Государство-(451)Демография-(1065)Дом-(47672)Журналистика и СМИ-(912)Изобретательство-(14524)Иностранные языки-(4268)Информатика-(17799)Искусство-(1338)История-(13644)Компьютеры-(11121)Косметика-(55)Кулинария-(373)Культура-(8427)Лингвистика-(374)Литература-(1642)Маркетинг-(23702)Математика-(16968)Машиностроение-(1700)Медицина-(12668)Менеджмент-(24684)Механика-(15423)Науковедение-(506)Образование-(11852)Охрана труда-(3308)Педагогика-(5571)Полиграфия-(1312)Политика-(7869)Право-(5454)Приборостроение-(1369)Программирование-(2801)Производство-(97182)Промышленность-(8706)Психология-(18388)Религия-(3217)Связь-(10668)Сельское хозяйство-(299)Социология-(6455)Спорт-(42831)Строительство-(4793)Торговля-(5050)Транспорт-(2929)Туризм-(1568)Физика-(3942)Философия-(17015)Финансы-(26596)Химия-(22929)Экология-(12095)Экономика-(9961)Электроника-(8441)Электротехника-(4623)Энергетика-(12629)Юриспруденция-(1492)Ядерная техника-(1748)

Метод добавок




 

При роботі по цьому методу в мірну колбу вводять чітко визначений об’єм досліджуваного розчину, додають необхідні реагенти, доводять об’єм до мітки обраним розчинником, перемішують і вимірюють абсорбцію при обраному світлофільтрі. В інше мірну колбу вводять такий самий об’єм досліджуваного розчину і певну кількість стандартного розчину досліджуваної речовини, додають необхідні реагенти, доводять об’єм до мітки обраним розчинником, перемішують і вимірюють абсорбцію при обраному світлофільтрі. Невідому концентрацію досліджуваної речовини знаходять шляхом порівняння абсорбції досліджуваного розчину Аx = eCx і досліджуваного розчину з добавкою стандартного розчину досліджуваної речовини Ах + ст = e (Cх + Cст) .

(18)

Якщо приготувати декілька розчинів з однаковими добавками і виміряти їх абсорбції, то невідому концентрацію досліджуваної речовини можна знайти графічно (рис. 3).

Рисунок 3 - калібрувальна крива для визначення концентрації методом добавок

 

Для цього будують графік, по осі абсцис якого відкладають концентрацію стандартної речовини (добавки), а по осі ординат − абсорбцію. Через отримані точки проводять пряму. Відстань на осі абсцис від нуля до точки перетину цієї прямої з віссю абсцис визначає невідому концентрацію. Цей метод часто застосовується при аналізі складних об’єктів, коли визначенню забарвленої сполуки заважають велика кількість складових розчину і їх неможливо врахувати при побудові калібрувальної кривої. Метод добавок застосовують також у випадку, коли молярний коефіцієнт поглинання залежить від складу розчину.

 

 

6. Метод диференційної спектроскопії

 

Цей метод використовується для визначення великих концентрацій забарвленої речовини, коли значення абсорбції виходять за межі шкали приладу або коли відбуваються процеси асоціації, полімеризації тощо. При цьому порушується лінійна залежність абсорбції від концентрації. Теоретично доведено, що метод диференційної спектрофотометрії дає можливість підвищити точність визначення великих кількостей речовини.

Метод полягає в тому, що абсорбцію досліджуваної речовини вимірюють не відносно нульового розчину, а відносно забарвленого розчину досліджуваного елементу з концентрацією С0, близькою до концентрації досліджуваного розчину (С0 < Сх).

Концентрацію досліджуваного розчину визначають або за допомогою калібрувальної кривої або розрахунковим методом.

Для побудови калібрувальної кривої готують серію стандартних розчинів в інтервалі можливих концентрацій досліджуваного розчину і вимірюють їх абсорбції по відношенню до розчину порівняння з концентрацією С0. за отриманими даними будують криву в координатах абсорбція − концентрація речовини, приймаючи за початок відліку концентрацію розчину порівняння С0. концентрацію досліджуваного розчину Сх знаходять по цій калібрувальній кривій і абсорбції досліджуваного розчину (рис. 4).

Рисунок 4 - Калібрувальний графік в методі диференційної спектрофотометрії

7. Метод розрахунку концентрації

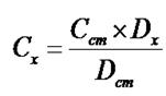
Обчислення в фотометрії ґрунтуються на використанні формули:

……………………………………….(19)

Сх – вміст йону в розчині
Сст – вміст йону в стандартному розчині
Dх – оптична густина аналізованого розчину
Dст– оптична густина стандартного розчину

 

 




Поделиться с друзьями:


Дата добавления: 2015-05-23; Просмотров: 615; Нарушение авторских прав?; Мы поможем в написании вашей работы!


Нам важно ваше мнение! Был ли полезен опубликованный материал? Да | Нет



studopedia.su - Студопедия (2013 - 2026) год. Все материалы представленные на сайте исключительно с целью ознакомления читателями и не преследуют коммерческих целей или нарушение авторских прав! Последнее добавление




Генерация страницы за: 0.009 сек.