Студопедия

КАТЕГОРИИ:


Архитектура-(3434)Астрономия-(809)Биология-(7483)Биотехнологии-(1457)Военное дело-(14632)Высокие технологии-(1363)География-(913)Геология-(1438)Государство-(451)Демография-(1065)Дом-(47672)Журналистика и СМИ-(912)Изобретательство-(14524)Иностранные языки-(4268)Информатика-(17799)Искусство-(1338)История-(13644)Компьютеры-(11121)Косметика-(55)Кулинария-(373)Культура-(8427)Лингвистика-(374)Литература-(1642)Маркетинг-(23702)Математика-(16968)Машиностроение-(1700)Медицина-(12668)Менеджмент-(24684)Механика-(15423)Науковедение-(506)Образование-(11852)Охрана труда-(3308)Педагогика-(5571)Полиграфия-(1312)Политика-(7869)Право-(5454)Приборостроение-(1369)Программирование-(2801)Производство-(97182)Промышленность-(8706)Психология-(18388)Религия-(3217)Связь-(10668)Сельское хозяйство-(299)Социология-(6455)Спорт-(42831)Строительство-(4793)Торговля-(5050)Транспорт-(2929)Туризм-(1568)Физика-(3942)Философия-(17015)Финансы-(26596)Химия-(22929)Экология-(12095)Экономика-(9961)Электроника-(8441)Электротехника-(4623)Энергетика-(12629)Юриспруденция-(1492)Ядерная техника-(1748)

Вычисление коэффициента потерь давления по длине иглы




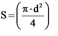
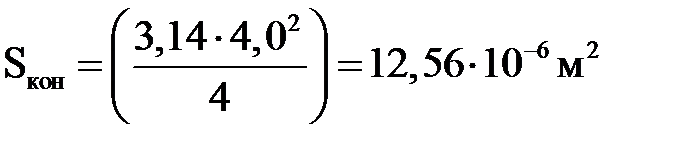
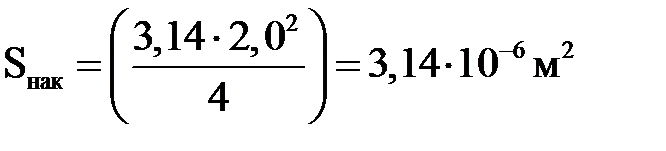
Вычисляем площади проходных сечений элементов гидропривода

Определение коэффициентов местных сопротивлений по длине тракта

Расчет указанных выше местных сопротивлений выполняем по следующему алгоритму.

(6)

3.2 Вычисляем коэффициенты местных сопротивлений по следующим формулам [1,2]:

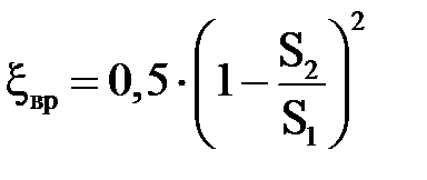
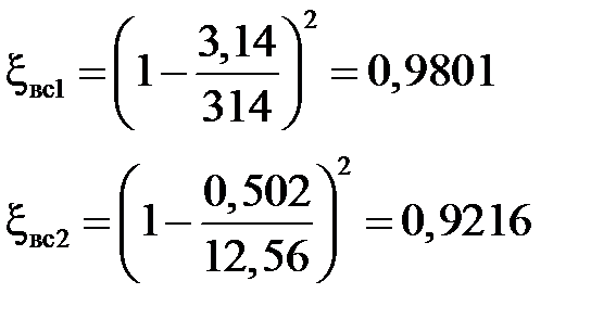
3.2.1 Для внезапного сужения:

, (7)

где –– меньшая площадь проходного сечения элемента, мм2;

–– большая площадь проходного сечения элемента, мм2

3.2.2 Для внезапного расширения:

(8)

3.3.1 Вычисляем расход в гидравлическом тракте «шприц – игла»

, (9)

где –– расчётный объём шприца, см3;

–– экспериментальное время инъекции, с.

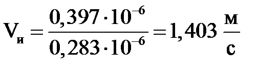
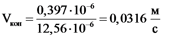
3.3.2 Вычисляем скорости потока в каждом элементе тракта

(10)

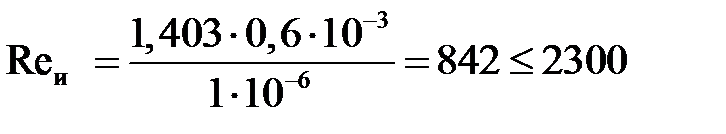
3.3.3 Вычисляем число Рейнольдса в игле

, (11)

где –– скорость потока в элементе;

d –– диаметр проходного сечения элемента;

–– кинематический коэффициент вязкости, принимаем

Анализ величин чисел Рейнольдса показывает, что гидравлическим сопротивлением тракта шприц-игла является сопротивление иглы, которое и будем учитывать в дальнейших расчетах.

Тогда отсюда следует, что режим течения в игле ламинарный.

3.3.4 Вычисляем коэффициент Дарси для сопротивления иглы

(12)

3.3.5 Вычисляем коэффициент потерь по длине иглы

(13)


4 Определение потерь давления в гидравлическом тракте «шприц – игла»

Предварительные расчеты показали, что гидравлические потери в канюле и наконечнике шприца ничтожно малы по сравнению с потерями в игле. Поэтому они и будут определяющими при расчете усилия пальца.

Вычисляем общее сопротивление тракта «шприц – игла», учитывая, что местными сопротивлениями по сравнению с сопротивлениями можно пренебречь, по формуле [1,2]

(14)





Поделиться с друзьями:


Дата добавления: 2015-05-23; Просмотров: 549; Нарушение авторских прав?; Мы поможем в написании вашей работы!


Нам важно ваше мнение! Был ли полезен опубликованный материал? Да | Нет



studopedia.su - Студопедия (2013 - 2025) год. Все материалы представленные на сайте исключительно с целью ознакомления читателями и не преследуют коммерческих целей или нарушение авторских прав! Последнее добавление




Генерация страницы за: 0.008 сек.