Студопедия

КАТЕГОРИИ:


Архитектура-(3434)Астрономия-(809)Биология-(7483)Биотехнологии-(1457)Военное дело-(14632)Высокие технологии-(1363)География-(913)Геология-(1438)Государство-(451)Демография-(1065)Дом-(47672)Журналистика и СМИ-(912)Изобретательство-(14524)Иностранные языки-(4268)Информатика-(17799)Искусство-(1338)История-(13644)Компьютеры-(11121)Косметика-(55)Кулинария-(373)Культура-(8427)Лингвистика-(374)Литература-(1642)Маркетинг-(23702)Математика-(16968)Машиностроение-(1700)Медицина-(12668)Менеджмент-(24684)Механика-(15423)Науковедение-(506)Образование-(11852)Охрана труда-(3308)Педагогика-(5571)Полиграфия-(1312)Политика-(7869)Право-(5454)Приборостроение-(1369)Программирование-(2801)Производство-(97182)Промышленность-(8706)Психология-(18388)Религия-(3217)Связь-(10668)Сельское хозяйство-(299)Социология-(6455)Спорт-(42831)Строительство-(4793)Торговля-(5050)Транспорт-(2929)Туризм-(1568)Физика-(3942)Философия-(17015)Финансы-(26596)Химия-(22929)Экология-(12095)Экономика-(9961)Электроника-(8441)Электротехника-(4623)Энергетика-(12629)Юриспруденция-(1492)Ядерная техника-(1748)

Re – Рейнольдс саны) формуласында l нені білдіреді? 1 страница




$$$094

$$$093

$$$092

$$$091

$$$090

$$$089

$$$088

$$$087

$$$086

$$$085

$$$084

$$$083

$$$082

$$$081

$$$080

$$$079

$$$078

$$$077

$$$076

$$$075

$$$074

$$$073

$$$072

$$$071

$$$070

$$$069

$$$068

$$$067

$$$066

$$$065

$$$064

$$$063

$$$062

$$$061

$$$060

$$$059

$$$058

$$$057

$$$056

$$$055

$$$054

$$$053

$$$052

$$$050

$$$049

$$$048

$$$047

$$$046

$$$045

$$$044

$$$043

$$$042

$$$041

$$$040

$$$039

$$$038

$$$037

$$$036

$$$035

$$$034

$$$033

$$$032

$$$031

$$$030

$$$029

$$$028

$$$027

$$$026

$$$025

$$$024

$$$023

$$$022

$$$021

$$$020

$$$019

$$$014

Тест

 

 

Задание # 1

Вопрос:

Как направлено давление p по отношению к действующей поверхности?

 

Выберите один из 4 вариантов ответа:

1) под углом 45°

2) под углом 90°

3) под углом 0°

4) под углом α=arctg(p/pатм)

 

Задание # 2

Вопрос:

Закон Паскаля

 

Выберите один из 4 вариантов ответа:

1) давление в точке всегда неизменно

2) давление на свободной поверхности жидкости передаётся во все точки жидкости одинаково

3) p=p0+ρgh

4) давление направлено по нормали к поверхности

 

Задание # 3

Вопрос:

Основное уравнение гидростатики

 

Выберите один из 4 вариантов ответа:

1) p=ρgh

2) p=p0*ρgh

3) F= ρgV

4) p=p0+ρgh

 

Задание # 4

Вопрос:

По какой формуле определяется давление жидкости?

 

Выберите один из 4 вариантов ответа:

1) p=F*S

2) p=F/S

3) p=F+S

4) p= S/F

 

Задание # 5

Вопрос:

Какой прибор предназначен для измерения давления?

 

Выберите один из 4 вариантов ответа:

1) анемометр

2) ареометр

3) сталагмометр

4) манометр

 

Задание # 6

Вопрос:

Каким прибором измеряется избыточное давление?

 

Выберите один из 4 вариантов ответа:

1) манометр

2) вакуумметр

3) барометр

4) ареометр

 

Задание # 7

Вопрос:

Каким прибором измеряется атмосферное давление?

 

Выберите один из 4 вариантов ответа:

1) манометр

2) ареометр

3) барометр

4) вакуумметр

 

Задание # 8

Вопрос:

Что такое мановакуумметр?

 

Выберите один из 4 вариантов ответа:

1) Прибор для измерения атмосферного давления

2) Прибор для измерения вакуума

3) Прибор для измерения абсолютного давления

4) Прибор для измерения избыточного давления и давления ниже атмосферного

 

Задание # 9

Вопрос:

В каких единицах измеряется давление?

 

Выберите один из 4 вариантов ответа:

1) Н

2) л/мин

3) Па

4) Н/м

 

Задание # 10

Вопрос:

Закон Архимеда

 

Выберите один из 4 вариантов ответа:

1) F= ρgV

2) F= ρ+gV

3) p= ρgh

4) pV=const

 

Задание # 11

Вопрос:

Что такое расход?

 

Выберите один из 4 вариантов ответа:

1) Q=V*t

2) Q=V/t

3) Q=pV

4) Q= ρgV

 

Задание # 12

Вопрос:

Единицы измерения расхода

 

Выберите один из 4 вариантов ответа:

1) м/с

2) л/мин

3) мм/час

4) л*с

 

Задание # 13

Вопрос:

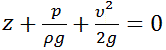
Уравнение Бернулли для идеальной жидкости

 

Выберите один из 4 вариантов ответа:

1)

2)

3)

4)

 

Задание # 14

Вопрос:

Уравнение Бернулли для реальной жидкости

 

Выберите один из 4 вариантов ответа:

1)

2)

3)

4)

 

Задание # 15

Вопрос:

Режимы течения жидкости

 

Выберите один из 4 вариантов ответа:

1) ламинарный и атомарный

2) турбулентный и ламинарный

3) турбулентный и эквивалентный

4) атомарный и эквивалентный

 

Задание # 16

Вопрос:

По какой формуле определяется Число Рейнольдса?

 

Выберите один из 4 вариантов ответа:

1) Re=v*d/ν

2) Re=v*d/L

3) Re=v+d/ν

4) Re=v*d/Q

 

Задание # 17

Вопрос:

Потери напора на местных сопротивлениях

 

Выберите один из 4 вариантов ответа:

1) h=v2/g

2) h=0,5*ζ*v2

3) h=ζ*v2/g

4) h=0,5*ζ*v2/g

 

 

Задание # 18

Вопрос:

Потери напора по длине трубопровода

 

Выберите один из 4 вариантов ответа:

1) h=0,5*λ*L/d*v2/g

2) h=λ*L/d*v2/g

3) h=L/d*v2/g

4) h=0,5*λ*d/L*v2/g

 

Задание # 19

Вопрос:

Что такое кавитация?

 

Выберите один из 4 вариантов ответа:

1) Осаждение частиц жидкости на стенках трубопровода

2) Хаотическое перемешивание жидкости

3) Явление местного вскипания жидкости

4) Гидравлический удар

 

Задание # 20

Вопрос:

Во сколько раз изменятся потери напора на местном сопротивлении при увеличении скорости течения в 2 раза?

 

Выберите один из 4 вариантов ответа:

1) увеличатся в 2 раза

2) увеличатся в 4 раза

3) не изменятся

4) уменьшатся в 4 раза

 

Задание # 21

Вопрос:

Во сколько раз изменятся потери напора по длине трубопровода при увеличении его длины в 2 раза?

 

Выберите один из 4 вариантов ответа:

1) увеличатся в 4 раза

2) увеличатся в 2 раза

3) уменьшатся в 4 раза

4) уменьшатся в 2 раза

 

Задание # 22

Вопрос:

Во сколько раз изменится скорость течения жидкости при уменьшении диаметра трубопровода в 2 раза?

 

Выберите один из 4 вариантов ответа:

1) уменьшится в 2 раза

2) уменьшится в 4 раза

3) увеличится в 4 раза

4) увеличится в 2 раза

 

Задание # 23

Вопрос:

Какое число называют критическим числом Рейнольдса?

 

Выберите один из 4 вариантов ответа:

1) 4000

2) 2300

3) 2800

4) 3500

 

Задание # 24

Вопрос:

При движении идеальной жидкости скорость течения уменьшилась. Что произойдёт с давлением?

 

Выберите один из 4 вариантов ответа:

1) уменьшится

2) не изменится

3) увеличится

4) станет равным атмосферному

 

Задание # 25

Вопрос:

Что такое неустановившееся движение жидкости?

 

Выберите один из 4 вариантов ответа:

1) Движение жидкости при котором скорость изменяется во времени

2) Движение жидкости при котором давление изменяется во времени

3) Движение жидкости при котором давление и скорость не изменяются во времени

4) Движение жидкости при котором давление и скорость изменяются во времени

 

Задание # 26

Вопрос:

Что такое насос?

 

Выберите один из 4 вариантов ответа:

1) Гидравлическая машина, которая преобразует энергию движения рабочей жидкости в механическую энергию

2) Гидравлическая машина, которая преобразует механическую энергию в энергию движения рабочей жидкости

3) Это механическое средство, которое позволяет управлять гидравлическими агрегатами

4) Гидравлическая машина, преобразующая поступательное движение во вращательное

 

Задание # 27

Вопрос:

Что такое гидромотор?

 

Выберите один из 4 вариантов ответа:

1) Гидравлическая машина, которая преобразует энергию движения рабочей жидкости в механическую энергию

2) Гидравлическая машина, которая преобразует механическую энергию в энергию движения рабочей жидкости

3) Это механическое средство, которое позволяет управлять гидравлическими агрегатами

4) Гидравлическая машина, преобразующая поступательное движение во вращательное

 

Задание # 28

Вопрос:

Что такое гидроцилиндр?

 

Выберите один из 4 вариантов ответа:

1) Гидравлическая машина, которая преобразует энергию движения рабочей жидкости в возвратно-поступательное движение

2) Гидравлическая машина, которая преобразует энергию движения рабочей жидкости во вращательное движение

3) Гидравлическая машина, которая преобразует механическую энергию в энергию движения рабочей жидкости

4) Гидроагрегат для преобразования давления

 

Задание # 29

Вопрос:

Что такое объёмная гидромашина?

 

Выберите один из 4 вариантов ответа:

1) Гидромашина, принцип работы которой основан на изменении объёма рабочих камер

2) Гидромашина, принцип работы которой основан на постоянстве объёма рабочих камер

3) Гидромашина, перекачивающая некоторый объём жидкости

4) Гидромашина, для перекачки больших объёмов жидкости

 

Задание # 30

Вопрос:

Рабочий объём насоса

 

Выберите один из 4 вариантов ответа:

1) W=k*z

2) W=Wk/k*z

3) W=Wk*k*z/2

4) W=Wk*k*z

 

Задание # 31

Вопрос:

Что такое рабочий объём насоса?

 

Выберите один из 4 вариантов ответа:

1) Это объём жидкости, который подаёт насос за два рабочих цикла

2) Это объём жидкости, который подаёт насос при работе

3) Это объём жидкости, который подаёт насос за один рабочий цикл

4) Это объём жидкости, который подаёт работающий насос

 

Задание # 32

Вопрос:

Полный кпд гидромашины

 

Выберите один из 4 вариантов ответа:

1) ή=ήобгм

2) ή=ήобгм

3) ή=ήобг+м

4) ή=(ήобг)/ήм

 

Задание # 33

Вопрос:

Мощность гидронасоса

 

Выберите один из 4 вариантов ответа:

1) N=p/Q

2) N=Q/p

3) N=32*p*Q

4) N=p*Q

 

Задание # 34

Вопрос:

Что относится к насосам объёмного типа?

 

Выберите один из 4 вариантов ответа:

1) Лопастной

2) Центробежный

3) Пластинчатый

4) Струйный

 

Задание # 35

Вопрос:

Обозначение напорной магистрали

 

Выберите один из 4 вариантов ответа:

1) P

2) T

3) A

4) B

 

Задание # 36

Вопрос:

Обозначение сливной магистрали

 

Выберите один из 4 вариантов ответа:

1) P

2) T

3) A

4) B

 

Задание # 37

Вопрос:

Как обозначается гидронасос

 

Выберите один из 4 вариантов ответа:

1)

2)

3)

4)

 

Задание # 38

Вопрос:

Как обозначается дроссель

 

Выберите один из 4 вариантов ответа:

1)

2)

3)

4)

 

Задание # 39

Вопрос:

Как обозначается распределитель?

 

Выберите один из 4 вариантов ответа:

1)

2)

3)

4)

 

Задание # 40

Вопрос:

Как обозначается предохранительный клапан?

 

Выберите один из 4 вариантов ответа:

1)

2)

3)

4)

 

Задание # 41

Вопрос:

По какой формуле определяется расход насоса?

 

Выберите один из 4 вариантов ответа:

1) Q=V*n

2) Q=V/n

3) Q=M*n

4) Q=V*p

 

Задание # 42

Вопрос:

Какой распределитель представлен на рисунке?

Изображение:

 

Выберите один из 4 вариантов ответа:

1) Четырёхлинейный трёхпозиционный

2) Трёхлинейный трёхпозиционный

3) Трёхлинейный четырёхпозиционный

4) Четырёхлинейный четырёхпозиционный

 

Задание # 43

Вопрос:

Чем ограничен объём рабочей камеры шестерённого насоса?

 

Выберите один из 4 вариантов ответа:

1) Шестернями

2) Корпусом

3) Корпусом, шестернями и уплотнительными узлами

4) Корпусом и шестернями

 

Задание # 44

Вопрос:

Что такое кратность насоса?

 

Выберите один из 4 вариантов ответа:

1) Во сколько раз полный объём насоса больше объёма одной рабочей камеры

2) Число рабочих камер

3) Отношение производительности насоса к его давлению

4) Число подач рабочей жидкости за один оборот вала

 

Задание # 45

Вопрос:

Какой элемент гидропривода изображён на рисунке?

Изображение:

 

Выберите один из 4 вариантов ответа:

1) Насос

2) Реверсивный гидромотор

3) Регулируемый насос

4) Регулируемый реверсивный гидромотор

 

Задание # 46

Вопрос:

Во сколько раз изменится расход объёмного насоса при увеличении частоты вращения вала в 2 раза?

 

Выберите один из 4 вариантов ответа:

1) увеличится в 4 раза

2) увеличится в 2 раза

3) уменьшится в 2 раза

4) уменьшится в 4 раза

 

Задание # 47

Вопрос:

Что такое гидрозамок?

 

Выберите один из 4 вариантов ответа:

1) Неуправляемый обратный клапан

2) Управляемый обратный клапан

3) Механический замок с гидравлическим ключом

4) Механический замок с гидравлическим затвором

 

Задание # 48

Вопрос:

Найдите регулируемый реверсивный гидромотор

 

Выберите один из 4 вариантов ответа:

1)

2)

3)

4)

 

Задание # 49

Вопрос:

Что является основным рабочим элементом гидроаппаратов?

 

Выберите один из 4 вариантов ответа:

1) Запорно-регулирующий элемент

2) Запорный элемент

3) Запорно-управляющий элемент

4) Регулирующий элемент

 

Задание # 50

Вопрос:

Какой насос относится к динамическим?

 

Выберите один из 4 вариантов ответа:

1) Шестерённый

2) Пластинчатый

3) Центробежный

4) Плунжерный

 

 

Ответы:

1) Верный ответ (1 б.): 2;

2) Верный ответ (1 б.): 2;

3) Верный ответ (1 б.): 4;

4) Верный ответ (1 б.): 2;

5) Верный ответ (1 б.): 4;

6) Верный ответ (1 б.): 1;

7) Верный ответ (1 б.): 3;

8) Верный ответ (1 б.): 4;

9) Верный ответ (1 б.): 3;

10) Верный ответ (1 б.): 1;

11) Верный ответ (1 б.): 2;

12) Верный ответ (1 б.): 2;

13) Верный ответ (1 б.): 1;

14) Верный ответ (1 б.): 2;

15) Верный ответ (1 б.): 2;

16) Верный ответ (1 б.): 1;

17) Верный ответ (1 б.): 4;

18) Верный ответ (1 б.): 1;

19) Верный ответ (1 б.): 3;

20) Верный ответ (1 б.): 2;

21) Верный ответ (1 б.): 2;

22) Верный ответ (1 б.): 3;

23) Верный ответ (1 б.): 2;

24) Верный ответ (1 б.): 3;

25) Верный ответ (1 б.): 4;

26) Верный ответ (1 б.): 2;

27) Верный ответ (1 б.): 1;

28) Верный ответ (1 б.): 1;

29) Верный ответ (1 б.): 1;

30) Верный ответ (1 б.): 4;

31) Верный ответ (1 б.): 3;

32) Верный ответ (1 б.): 2;

33) Верный ответ (1 б.): 4;

34) Верный ответ (1 б.): 3;

35) Верный ответ (1 б.): 1;

36) Верный ответ (1 б.): 2;

37) Верный ответ (1 б.): 2;

38) Верный ответ (1 б.): 4;

39) Верный ответ (1 б.): 1;

40) Верный ответ (1 б.): 1;

41) Верный ответ (1 б.): 1;

42) Верный ответ (1 б.): 1;

43) Верный ответ (1 б.): 3;

44) Верный ответ (1 б.): 4;

45) Верный ответ (1 б.): 2;

46) Верный ответ (1 б.): 2;

47) Верный ответ (1 б.): 2;

48) Верный ответ (1 б.): 4;

49) Верный ответ (1 б.): 1;

50) Верный ответ (1 б.): 3;

 

Сұйықтың негізгі физикалық қасиеттерін атаңыз

А) электрөткізгіштік, ерігіштік, жылутарту

В).масса, көлем, қайнау, газдардың еруі

С).Сұйықтың тартылуға кедергісі, капиллярлық

D).тығыздық, сығылу, тұтқырлық, беттік тартылу

E).булану, қайнау, қату

$$$015

Гидростатикалық қысым калай анықталады?

А)

В)

С)

D)

E)

$$$016

Гидростатикалық қысымның шамасы қандай (скалярлы ма векторлы ма)?

А) Әр-бір жағдайда әр түрлі

В) Скалярлы

С) Сыртқы атмосфералық қысым болғанда- векторлы

D) Векторлы

E) Сыртқы атмосфералық қысым болғанда- векторлы

$$$017

СИ жүйесіндегі гидростатикалық қысымның өлшем бірлігін атаңыз

А) стокс

В) паскаль.

С) ампер

D) м

E) сек

$$$018

Манометрлік (артық) қысым р 0 = р атм болған жағдайда қалай анықталады?

А)

В)

С)

D)

E)

Вакууметрлік қысым қалай анықталады?

А)

В)

С)

D)

E)

Гидростатиканың негізгі теңдеуін көрсетіңіз

А)

В)

С)

D)

E)

Гидростатикалық қысымның эпюрасы нені көрсетеді?

А) жылдамдықтың үлестірілу заңдылығын

В) Кинематикалық қысым күшінің үлестірілу заңдылығын

С) Сұйық ішінде вертикаль бойынша жылдамдықтың үлестірілу заңдылығын

D) Гидродинамикалық күштің заңдылыәын

E) Тыныштық күйдегі сұйық ішіндегі гидростатикалық қысымның үлестірілу заңдылығын

Гидростатикалық парадокс дегеніміз не?

А) Қысым Р0, тыәыздық r, ыдыс табанының ауданы w және тереңдікh

тең болған жағдайда ыдыстың пішініне тәуелсіз ыдыстың

горизонтальді табанына әсер ететін судың қысым күші бірдей

болады

В). Қысым Р0, тыәыздық r, ыдыс табанының ауданы w және тереңдікh

тең болған жағдайда ыдыстың горизонтальді табанына әсер ететін

судың қысым күші ыдыстың пішініне тәуелді

С) Қысым Р0, тыәыздық r, ыдыс табанының ауданы w және тереңдікh

тең болған жағдайда ыдыс орналасқан стол бетіне судың қысым

күші бірдей болады

D) Қысым Р0, тыәыздық r, ыдыс табанының ауданы w және тереңдікh

тең болған жағдайда ыдыстың горизонтальді табанына әсер ететін

судың қысым күші тура пропорционалды

E) Қысым Р0 ыдыстың пішініне тәуелді

Қандай құрал арқылы екі нүкте арасындағы қысымның айырмасын анықтауға болады?

А) дифференциалды манометрмен

В) барометрмен

С) анемометрмен

D) термометрмен

E) спидометрмен

Құбырда орналасқан пьезометр, серіппелі және сынапты манометрлер қандай қысымды көрсетеді?

А) Серіппелі және сынапты манометрлер манометрлік қысымды,




Поделиться с друзьями:


Дата добавления: 2015-05-23; Просмотров: 1860; Нарушение авторских прав?; Мы поможем в написании вашей работы!


Нам важно ваше мнение! Был ли полезен опубликованный материал? Да | Нет



studopedia.su - Студопедия (2013 - 2026) год. Все материалы представленные на сайте исключительно с целью ознакомления читателями и не преследуют коммерческих целей или нарушение авторских прав! Последнее добавление




Генерация страницы за: 0.014 сек.