Студопедия

КАТЕГОРИИ:


Архитектура-(3434)Астрономия-(809)Биология-(7483)Биотехнологии-(1457)Военное дело-(14632)Высокие технологии-(1363)География-(913)Геология-(1438)Государство-(451)Демография-(1065)Дом-(47672)Журналистика и СМИ-(912)Изобретательство-(14524)Иностранные языки-(4268)Информатика-(17799)Искусство-(1338)История-(13644)Компьютеры-(11121)Косметика-(55)Кулинария-(373)Культура-(8427)Лингвистика-(374)Литература-(1642)Маркетинг-(23702)Математика-(16968)Машиностроение-(1700)Медицина-(12668)Менеджмент-(24684)Механика-(15423)Науковедение-(506)Образование-(11852)Охрана труда-(3308)Педагогика-(5571)Полиграфия-(1312)Политика-(7869)Право-(5454)Приборостроение-(1369)Программирование-(2801)Производство-(97182)Промышленность-(8706)Психология-(18388)Религия-(3217)Связь-(10668)Сельское хозяйство-(299)Социология-(6455)Спорт-(42831)Строительство-(4793)Торговля-(5050)Транспорт-(2929)Туризм-(1568)Физика-(3942)Философия-(17015)Финансы-(26596)Химия-(22929)Экология-(12095)Экономика-(9961)Электроника-(8441)Электротехника-(4623)Энергетика-(12629)Юриспруденция-(1492)Ядерная техника-(1748)

Потенціал Доннана. Доннанівська рівновага




Розглянемо потенціал спокою, який характеризує елект­ричні властивості клітин з послабленим метаболізмом.

Якщо всередині і зовні клітини знаходяться іони протилежних знаків, то умова рівноваги між водними фазами по обидва боки мембрани зводиться до умови електронейтральності середовищ, що означає:

1) повний заряд по обидва боки мембрани дорівнює нулю

2) відсутня різниця потенціалів

Розглянемо випадок, коли всередині і зовні клітини ми маємо іони двох типів, що несуть протилежні заряди, скажімо іони Умова електронейтральності для цього випадку матиме вигляд

(4.44)

звідки

(4.45)

Рівноважні потенціали Нернста для цих іонів

(4.46)

(4.47)

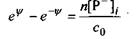
З рівнянь (4.45)-(4.47) випливає

або

(4.48)

Коефіцієнт називають відношенням Доннана. З рівняння (4.48) маємо

(4.49)

Рівняння (4.49) називають умовою доннанівської рівно­ваги.

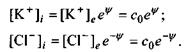
Так, робота - насоса утворює нерівномірний розподіл іонів внаслідок чого виникає мембранний концентраційний потенціал , який, в свою чергу, потребує забезпечення доннанівської рівноваги для Тепер врахуємо, що у внутрішньоклітинному середо­вищі присутні в певних концентраціях аніони білкового походження для яких мембрана майже непроникна. Заряджені макромолекули, що знаходяться всередині кліти­ни, суттєво впливають на перерозподіл іонів між клітиною і позаклітинним середовищем.

Умови електронейтральності у внутрішньоклітинному і позаклітинному середовищах відповідно матимуть вигляд

(4.50)

(4.51)

де - кількість зарядів на кожній білковій молекулі.

Використовуючи безрозмірний потенціал Нернста (4.35), відношення Доннана (4.48) можна подати у вигляді

(4.52)

Поєднуючи рівняння (4.51) та (4.52), маємо

(4.53)

Враховуючи (4.53), умова електронейтральності у внутрішньоклітинному середовищі (4.50) матиме такий вигляд:

(4.54)

або

(4.55)

Розкладаючи функції в ряди

і обмежуючись першими двома членами цих розкладів, маємо

або, враховуючи (4.34),

(4.56)

Таким чином, доннанівський потенціал прямопропор-ційний концентрації заряджених макромолекул всередині клітини і обернено пропорційний концентрації електроліту в позаклітинному середовищі.

Проведемо чисельну оцінку потенціалу Доннана.

Звичайно , тоді тобто потенціал Доннана майже на порядок менший за концентраційні потенціали спокою, саме тому він і стає помітним лише на мембранах мертвих клітин або клітин з послабленим метаболізмом.

 




Поделиться с друзьями:


Дата добавления: 2015-05-24; Просмотров: 743; Нарушение авторских прав?; Мы поможем в написании вашей работы!


Нам важно ваше мнение! Был ли полезен опубликованный материал? Да | Нет



studopedia.su - Студопедия (2013 - 2026) год. Все материалы представленные на сайте исключительно с целью ознакомления читателями и не преследуют коммерческих целей или нарушение авторских прав! Последнее добавление




Генерация страницы за: 0.011 сек.