Студопедия

КАТЕГОРИИ:


Архитектура-(3434)Астрономия-(809)Биология-(7483)Биотехнологии-(1457)Военное дело-(14632)Высокие технологии-(1363)География-(913)Геология-(1438)Государство-(451)Демография-(1065)Дом-(47672)Журналистика и СМИ-(912)Изобретательство-(14524)Иностранные языки-(4268)Информатика-(17799)Искусство-(1338)История-(13644)Компьютеры-(11121)Косметика-(55)Кулинария-(373)Культура-(8427)Лингвистика-(374)Литература-(1642)Маркетинг-(23702)Математика-(16968)Машиностроение-(1700)Медицина-(12668)Менеджмент-(24684)Механика-(15423)Науковедение-(506)Образование-(11852)Охрана труда-(3308)Педагогика-(5571)Полиграфия-(1312)Политика-(7869)Право-(5454)Приборостроение-(1369)Программирование-(2801)Производство-(97182)Промышленность-(8706)Психология-(18388)Религия-(3217)Связь-(10668)Сельское хозяйство-(299)Социология-(6455)Спорт-(42831)Строительство-(4793)Торговля-(5050)Транспорт-(2929)Туризм-(1568)Физика-(3942)Философия-(17015)Финансы-(26596)Химия-(22929)Экология-(12095)Экономика-(9961)Электроника-(8441)Электротехника-(4623)Энергетика-(12629)Юриспруденция-(1492)Ядерная техника-(1748)

Додаткові теоретичні відомості. Концентраційний потенціал відноситься до типу рівно­важних потенціалів




Концентраційний потенціал відноситься до типу рівно­важних потенціалів. Розглядаючи різні умови руху іонів у просторі, можна одержати різні типи електричних потен­ціалів.

Рівноважний потенціал Нернста виникає при нерівно­мірному розподілі концентрації певних іонів у разі, коли мембрана проникна лише для цих іонів, і описується такою формулою:

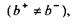
Доннанівський потенціал виникає на мембрані, яка проникна для малих іонів різних знаків та непроникна для великих заряджених молекул (наприклад, білків), розташованих всередині клітинного простору. Формула для потенціалу Доннана має такий вигляд:

де - концентрація білкових аніонів всередині клітини; - концентрація неорганічних іонів зовні.

Рис. 4.45. Ілюстрація механізму виникнення концентраційного потенціалу.

Дифузійний рівноважний потенціал встановлюється в середовищі при наявності градієнта концентрацій іонів різного знака, що мають різну рухливість відповідно до формули

Концентраційний потенціал виникає при зануренні будь-якого металу у водний розчин власної солі певної концентрації. Така структура становить концентраційний елемент.

Розглянемо виникнення концентраційного потенціалу на прикладі концентраційного елемента, що складається з мідного електрода, зануреного у розчин мідного купоросу (рис. 4.45а). Взаємодію електрода з розчином можна охарактеризувати двома процесами: а) розчиненням мідного електрода, зумовленим різницею концентрацій міді в електроді та розчині (цей процес описується рівнянням Фіка); перехід іонів міді у розчин (потік ) спричинює перерозподіл зарядів і створення електричного поля; б) існуванням зворотного потоку іонів міді зумовленого виникненням градієнта потенціалу.

Рівноважний стан характеризується рівністю цих пото­ків, тобто умовою, що сумарний потік іонів міді

або

звідки

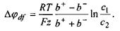
Інтегруючи одержане рівняння, з урахуванням значень концентрацій міді в електроді і розчині одержимо таку величину концентраційного потенціалу

або

де - деяка постійна величина, що визначається природою електрода та іонів у розчині.

Якщо занурені в розчини електроди з'єднати провідним соляним містком (рис. 4.45б), то між електродами виникає концентраційна різниця потенціалів

або

Примітка. Соляний місток (СМ) заповнений агар-агаром з розчином У цьому середовищі іони рухаються з однаковою швидкістю і відповідно вирівнювання потенці­алів розчинів відбувається без внесення додаткової дифу­зійної різниці потенціалів.

У цій роботі вимірюється різниця потенціалів між двома мідними електродами, зануреними в розчини мідного купоросу різних концентрацій (див. рис. 4.45б), тобто електрорушійна сила концентраційного елемента.

Електрорушійна сила джерела електричного струму дорівнює, як відомо, різниці потенціалів між полюсами джерела при розімкненому зовнішньому колі. Для вимірю­вання електрорушійної сили джерела струму не можна користуватися вольтметром, бо при його увімкненні одер­жимо замкнене коло, по якому потече струм. Тому електро­рушійну силу джерела струму вимірюють методом компенсації.

Рис. 4.46. Електрична схема для вимірювання електрорушійної сили концентраційного елемента методом компенсації.

Для вимірювання електрорушійної сили концентрацій­ного елемента прилади з'єднують так, як показано на рис. 4.46.

Слід підкреслити, що в точці реохорда джерело струму та концентраційний елемент під'єднують однойменними полюсами. Коло, в яке під'єднані концентра­ційний елемент та гальванометр, називають вимірю­вальним. Можна підібрати таке положення рухливого контакту реохорда, щоб стрілка гальванометра при замиканні вмикача не відхилялася, що свідчить про відсутність струму у вимірювальному колі або про рівність потенціалів точки реохорда та точки на електроді концентраційного елемента. Точки та також еквіпотен­ціальні.

У цьому випадку електрорушійна сила концентра­ційного елемента дорівнюватиме різниці потенціалів на ділянці реохорда, тобто

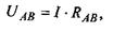
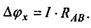
Отже, за законом Ома на ділянці падіння напруги становить

тобто

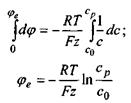
При відсутності електричного струму у вимірюваль­ному колі сила струму через реохорд буде такою:

де - падіння напруги на всій довжині реохорда, яке визначаємо за допомогою вольтметра.

Таким чином, значення концентраційного елемен­та одержимо за формулою

де - довжина реохорда; - довжина ділянки реохорда, на якій відбувається компенсація концентра­ційного елемента.

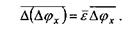
Середню відносну похибку при визначенні концентраційного елемента розраховують за формулою

звідки одержать значення абсолютної похибки

Остаточний результат слід подати у такому вигляді:

Усі виміри необхідно повторити три рази і результати занести до таблиці.

Таблиця. Результати вимірів

 




Поделиться с друзьями:


Дата добавления: 2015-05-24; Просмотров: 1677; Нарушение авторских прав?; Мы поможем в написании вашей работы!


Нам важно ваше мнение! Был ли полезен опубликованный материал? Да | Нет



studopedia.su - Студопедия (2013 - 2026) год. Все материалы представленные на сайте исключительно с целью ознакомления читателями и не преследуют коммерческих целей или нарушение авторских прав! Последнее добавление




Генерация страницы за: 0.008 сек.