Студопедия

КАТЕГОРИИ:


Архитектура-(3434)Астрономия-(809)Биология-(7483)Биотехнологии-(1457)Военное дело-(14632)Высокие технологии-(1363)География-(913)Геология-(1438)Государство-(451)Демография-(1065)Дом-(47672)Журналистика и СМИ-(912)Изобретательство-(14524)Иностранные языки-(4268)Информатика-(17799)Искусство-(1338)История-(13644)Компьютеры-(11121)Косметика-(55)Кулинария-(373)Культура-(8427)Лингвистика-(374)Литература-(1642)Маркетинг-(23702)Математика-(16968)Машиностроение-(1700)Медицина-(12668)Менеджмент-(24684)Механика-(15423)Науковедение-(506)Образование-(11852)Охрана труда-(3308)Педагогика-(5571)Полиграфия-(1312)Политика-(7869)Право-(5454)Приборостроение-(1369)Программирование-(2801)Производство-(97182)Промышленность-(8706)Психология-(18388)Религия-(3217)Связь-(10668)Сельское хозяйство-(299)Социология-(6455)Спорт-(42831)Строительство-(4793)Торговля-(5050)Транспорт-(2929)Туризм-(1568)Физика-(3942)Философия-(17015)Финансы-(26596)Химия-(22929)Экология-(12095)Экономика-(9961)Электроника-(8441)Электротехника-(4623)Энергетика-(12629)Юриспруденция-(1492)Ядерная техника-(1748)

Закон Стефана-Больцмана




 

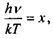
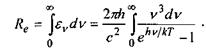
Враховуючи формулу Планка (6.25) для спектральної густини енергетичної світності абсолютно чорного тіла, отримаємо формулу для інтегральної енергетичної світ­ності. Згідно з (6.22) маємо

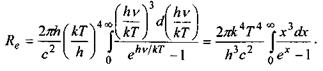
Застосувавши заміну змінної отримаємо

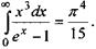
Можна показати, що інтеграл В результаті маємо

(6.26)

де - стала Стефана-Больцмана.

Таким чином, згідно з формулою (6.26), інтегральна енергетична світність абсолютно чорного тіла пропор­ційна четвертій степені його абсолютної температури. Це і є закон Стефана-Больцмана. Закон був встановлений спочатку на підставі експериментальних даних австрійсь­ким фізиком Стефаном у 1879 р., а пізніше був отриманий теоретично також австрійським фізиком Больцманом у 1884 р. Закон свідчить про надзвичайно швидке зростання потужності теплового випромінювання із збільшенням температури тіла. Закон Стефана-Больцмана можна засто­совувати до теплового випромінювання тіла людини, вважаючи його "сірим". У цьому випадку замість сталої Стефана-Больцмана використовують наведений коефіцієнт випромінювання

де тобто наведений коефіцієнт випромінювання дорівнює добутку сталої Стефана - Больцмана на коефіцієнт поглинання який є менший за одиницю для сірих тіл.

 




Поделиться с друзьями:


Дата добавления: 2015-05-24; Просмотров: 363; Нарушение авторских прав?; Мы поможем в написании вашей работы!


Нам важно ваше мнение! Был ли полезен опубликованный материал? Да | Нет



studopedia.su - Студопедия (2013 - 2026) год. Все материалы представленные на сайте исключительно с целью ознакомления читателями и не преследуют коммерческих целей или нарушение авторских прав! Последнее добавление




Генерация страницы за: 0.012 сек.