Студопедия

КАТЕГОРИИ:


Архитектура-(3434)Астрономия-(809)Биология-(7483)Биотехнологии-(1457)Военное дело-(14632)Высокие технологии-(1363)География-(913)Геология-(1438)Государство-(451)Демография-(1065)Дом-(47672)Журналистика и СМИ-(912)Изобретательство-(14524)Иностранные языки-(4268)Информатика-(17799)Искусство-(1338)История-(13644)Компьютеры-(11121)Косметика-(55)Кулинария-(373)Культура-(8427)Лингвистика-(374)Литература-(1642)Маркетинг-(23702)Математика-(16968)Машиностроение-(1700)Медицина-(12668)Менеджмент-(24684)Механика-(15423)Науковедение-(506)Образование-(11852)Охрана труда-(3308)Педагогика-(5571)Полиграфия-(1312)Политика-(7869)Право-(5454)Приборостроение-(1369)Программирование-(2801)Производство-(97182)Промышленность-(8706)Психология-(18388)Религия-(3217)Связь-(10668)Сельское хозяйство-(299)Социология-(6455)Спорт-(42831)Строительство-(4793)Торговля-(5050)Транспорт-(2929)Туризм-(1568)Физика-(3942)Философия-(17015)Финансы-(26596)Химия-(22929)Экология-(12095)Экономика-(9961)Электроника-(8441)Электротехника-(4623)Энергетика-(12629)Юриспруденция-(1492)Ядерная техника-(1748)

Експериментальна довжину хвилі де Бройля для кульки та електрона, що рухаються?




Еталон розв 'язку

Згідно з гіпотезою де Бройля, будь-яким частинкам або предметам, що рухаються, притаманні хвильові властивості. Вони можуть бути охарактеризовані довжиною хвилі, яка пов'язана зі швидкістю руху формулою

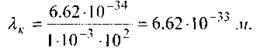
Розрахуємо довжину хвилі де Бойля для кульки

Розрахуємо довжину хвилі де Бойля для електрона

Відповідь:

Зауваження: для кульки, що рухається, довжина хвилі настільки мала, що не може бути виміряна ніякими експериментальними методами, тоді як для електрона вимірювання Я можна здійснити по дифракційній картині, що одержується на просторових структурах - кристалічних решітках.

 

2. Електронний мікроскоп, його межа розрізнення.

Задача 2

Знайти межу розрізнення електронного мікроскопа, якщо прискорююча напруга а кутова апертури

Еталон разв 'язку

Межа розрізнення мікроскопа визначається довжиною хвилі випромінювання, яке використовується, числовою апертурою і можебути розрахована за формулою:

"Освітлення" об'єкта в електронному мікроскопі здійс­нюють електронним пучком. Довжина хвилі, що характе­ризує електрони пучка, визначається швидкістю їх руху

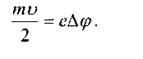
Швидкість електронів може бути визначена з умови, що кінетична енергія електрона дорівнює роботі електричного поля по переміщенню заряду електрона, а саме:

Враховуючи всі наведені вище формули та співвідно­шення sin φ ~ в для малих кутів, для межі розрізнення електронного мікроскопа отримаємо

3. Співвідношення невизначеностей Гейзенберга.

Задача З




Поделиться с друзьями:


Дата добавления: 2015-05-24; Просмотров: 859; Нарушение авторских прав?; Мы поможем в написании вашей работы!


Нам важно ваше мнение! Был ли полезен опубликованный материал? Да | Нет



studopedia.su - Студопедия (2013 - 2025) год. Все материалы представленные на сайте исключительно с целью ознакомления читателями и не преследуют коммерческих целей или нарушение авторских прав! Последнее добавление




Генерация страницы за: 0.011 сек.