Студопедия

КАТЕГОРИИ:


Архитектура-(3434)Астрономия-(809)Биология-(7483)Биотехнологии-(1457)Военное дело-(14632)Высокие технологии-(1363)География-(913)Геология-(1438)Государство-(451)Демография-(1065)Дом-(47672)Журналистика и СМИ-(912)Изобретательство-(14524)Иностранные языки-(4268)Информатика-(17799)Искусство-(1338)История-(13644)Компьютеры-(11121)Косметика-(55)Кулинария-(373)Культура-(8427)Лингвистика-(374)Литература-(1642)Маркетинг-(23702)Математика-(16968)Машиностроение-(1700)Медицина-(12668)Менеджмент-(24684)Механика-(15423)Науковедение-(506)Образование-(11852)Охрана труда-(3308)Педагогика-(5571)Полиграфия-(1312)Политика-(7869)Право-(5454)Приборостроение-(1369)Программирование-(2801)Производство-(97182)Промышленность-(8706)Психология-(18388)Религия-(3217)Связь-(10668)Сельское хозяйство-(299)Социология-(6455)Спорт-(42831)Строительство-(4793)Торговля-(5050)Транспорт-(2929)Туризм-(1568)Физика-(3942)Философия-(17015)Финансы-(26596)Химия-(22929)Экология-(12095)Экономика-(9961)Электроника-(8441)Электротехника-(4623)Энергетика-(12629)Юриспруденция-(1492)Ядерная техника-(1748)

Варіант 6. 1. Відкрийте свій документ Група_№варіанта.doc




1. Відкрийте свій документ " Група_№варіанта.doc ". Скопіюйте текст та вставте його в кінець документа.

2. На першої сторінці введіть заголовок «Форматування» жирним шрифтом та вирівняйти його по центру.

- Для першої половини тексту встановіть параметри шрифта згідно варіанта з табл.1.

- Для другої половини тексту встановіть параметри абзацу згідно варіанта з табл.2.

3. На другій сторінці введіть заголовок «Пошук та заміна».

- Для першої половини сторінки створіть елемент автозаміни, що складається зі літеросполучення “ то ” та цифри " это ".

- У другій половині сторінки замініть літери " ш "на " & " з урахуванням регістру символів в автоматичному режимі.

- Розташуйте текст в другій частині другої сторінки на 2 колонках шириною по 11,7см.

4. Додайте третю сторінку у документ з заголовком “ Научно-технічна інформація ”.

- Створіть таблицю з 6 стовпців і 4 рядків. Застосуйте один зі способів автоформатування таблиці. Введіть дані в кожну комірку кожного рядка таблиці (для введення основного тексту користуйтесь шрифтом Times New Roman, розмір 12).

Преса України
Назва Тип кількість Ціна Вартість
  Голос України газета   1,45  
           
Разом      

- Встановіть ширину першого стовпця 1,5 см, другого — 3,5 см, третього — 1,5 см, четвертого – 2,5 см, останні стовпці вирівняйте по ширині. Встановить висоту рядків... см і вирівняйте всі рядки таблиці по висоті починаючи з 2.

- В останній стовпець таблиці вставте формули, за якими розраховують вартість видання (ціна*кількість). Комірка 6 останнього рядка — формули, за якими розраховують загальну вартість всіх видань.

- Відсортуйте дані таблиці за вмістом 2 стовпця за абеткою.

- Використайте команду "Заголовки"для перенесення першого рядка на наступні сторінки.

5. На третій сторінці створіть діаграму “Курси валют” на основі таблиці:

Назва валюти Січень Лютий Березень Квітень Травень Червень
Донг 0,10 0,11 0,12 0,11 0,10 0,11
Тугрик 0,54 0,53 0,54 0,53 0,54 0,53

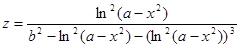
6. Наберіть слідуючи математичні формули:

, ,

 

 

7. Додайте четверту сторінку у документ з заголовком “ Графічні об’єкти ”.

- Створіть емблему (Табл.3) розміром приблизно 3x3 см. Розташуйте емблему на другій сторінці так, щоб текст був на тлі рисунка.

- Використовуючи автофігури створіть блок-схему (Табл.3) і також розташуйте на першій сторінки.

- Вставте в документ пропонований кліп (Табл.3) з галереї Microsoft Office. Якщо його немає, то вставте будь-який інший з наявних.

- Використовуючи автофігури, можливості розміщення на них виносок, фігурного тексту і нанесення тіні, створіть такий свій рисунок (Табл.3).

8. Додайте п’яту сторінку. Вставте зображення діалогового вікнаСписок ”.

- Виберіть для нього відповідне місце розташування та розмір.

- Для створеного зображення вікна, використовуючи виноски, поясніть призначення трьох полів чи кнопок (на вибір).

- Додайте до створеного рисунка назву або підпис.

9. Створіть індивідуальну панель інструментів під своїм ім'ям.

- Додайте до своєї панелі інструментів команди " Печать ", " Центрировать по вертикали " та елемент автотексту " Искренне Ваш ".

- Для елемента автотексту створіть кнопку тільки із зображенням перших літер тексту елемента. Для редактора залиште лише створену панель інструментів.

- Зменшить розміри вікна редактора до розмірів панелі інструментів.

- Зображення вікна редактора вставте в документ на п’ятої сторінці.

10. Встановіть для виклику діалогового вікна “Статистика” (команда "Tools Word Count") клавіатурну комбінацію, що не задіяна для інших команд. Опишіть у документі дію створеної кнопки для елемента автотексту і встановленої комбінації клавіш.

11. Оформлення документа.

- Впишіть своє прізвище як автора.

- Встановіть звичайний розмір аркуша (формат А4), орієнтація сторінки — книжкова.

- Встановіть такі поля сторінки: верхнє — 2,1см, нижнє — 2,1 см, ліве — 3,5 см, праве — 1,5см. Відстань від краю до колонтитулів — 1,25 см.

- Розташуйте номер сторінки справа у нижньому колонтитулі аркуша.

- Створіть колонтитул першої сторінки. Запишіть у верхній колонтитул злі­ва своє прізвище, а справа — назву групи.

- Створіть колонтитули парних сторінок. Запишіть у верхній колонтитул справа поточний час. Перейдіть до нижньо­го колонтитула і вставте справа назву файлу документа.

- Створіть колонтитули непарних сторінок. На 3 сторінці вставте у верхній колонтитул зліва будь-який рисунок.

- Створіть рамку (табл.2).

12. Збережіть документ.




Поделиться с друзьями:


Дата добавления: 2015-05-24; Просмотров: 282; Нарушение авторских прав?; Мы поможем в написании вашей работы!


Нам важно ваше мнение! Был ли полезен опубликованный материал? Да | Нет



studopedia.su - Студопедия (2013 - 2025) год. Все материалы представленные на сайте исключительно с целью ознакомления читателями и не преследуют коммерческих целей или нарушение авторских прав! Последнее добавление




Генерация страницы за: 0.008 сек.