Студопедия

КАТЕГОРИИ:


Архитектура-(3434)Астрономия-(809)Биология-(7483)Биотехнологии-(1457)Военное дело-(14632)Высокие технологии-(1363)География-(913)Геология-(1438)Государство-(451)Демография-(1065)Дом-(47672)Журналистика и СМИ-(912)Изобретательство-(14524)Иностранные языки-(4268)Информатика-(17799)Искусство-(1338)История-(13644)Компьютеры-(11121)Косметика-(55)Кулинария-(373)Культура-(8427)Лингвистика-(374)Литература-(1642)Маркетинг-(23702)Математика-(16968)Машиностроение-(1700)Медицина-(12668)Менеджмент-(24684)Механика-(15423)Науковедение-(506)Образование-(11852)Охрана труда-(3308)Педагогика-(5571)Полиграфия-(1312)Политика-(7869)Право-(5454)Приборостроение-(1369)Программирование-(2801)Производство-(97182)Промышленность-(8706)Психология-(18388)Религия-(3217)Связь-(10668)Сельское хозяйство-(299)Социология-(6455)Спорт-(42831)Строительство-(4793)Торговля-(5050)Транспорт-(2929)Туризм-(1568)Физика-(3942)Философия-(17015)Финансы-(26596)Химия-(22929)Экология-(12095)Экономика-(9961)Электроника-(8441)Электротехника-(4623)Энергетика-(12629)Юриспруденция-(1492)Ядерная техника-(1748)

Правило Ленца




Про що говорить закон Фарадея

Закóни Фарадéя – основні закони електролізу. Встановлюють взаємозв’язок між кількістю електрики, яка проходить через електропровідний розчин (електроліт), і кількістю речовини, яка виділяється на електродах.

Перший закон: маса m речовини, яка виділилась на електроді під час проходження електричного струму, прямо пропорційна значенню q електричного заряду, пропущеного крізь електроліт,

, де k – електрохімічний еквівалент речовини, m - маса речовини, q - заряд.

Другий закон: електрохімічні еквіваленти елементів прямо пропорційні їх хімічним еквівалентам.

, де A - атомна маса речовини, - заряд її йона, F - число Фарадея. Частка A/ν називається хімічним еквівалентом.

Правило сформульовано в 1833 році Е. Х. Ленцем. Пізніше воно було узагальнено на всі фізичні явища в роботах Лешательє (1884 рік) і Брауна (1887 рік), це узагальнення відомо як принцип Ле Шательє - Брауна.

Ефектною демонстрацією правила Ленца є досвід Еліу Томсона. Правило Ленца носить узагальнений характер і справедливо в різних фізичних ситуаціях, які можуть відрізнятися конкретним фізичним механізмом збудження індукційного струму. Так, якщо зміна магнітного потоку викликано зміною площі контуру (наприклад, за рахунок руху однієї із сторін прямокутного контуру), то індукційний струм збуджується силою Лоренца, що діє на електрони переміщуваного провідника в постійному магнітному полі. Якщо ж зміна магнітного потоку пов'язано зі зміною величини зовнішнього магнітного поля, то індукційний струм збуджується вихровим електричним полем, які з'являтимуться при зміні магнітного поля. Проте в обох випадках індукційний струм спрямований так, щоб компенсувати зміна потоку магнітного поля через контур.Якщо зовнішнє магнітне поле, що пронизує нерухомий електричний контур, створюється струмом, поточним в іншому контурі, то індукційний струм може виявитися спрямований як у тому ж напрямку, що і зовнішній, так і в протилежному: це залежить від того, зменшується чи збільшується зовнішній струм. Якщо зовнішній струм збільшується, то зростає створюване їм магнітне поле і його потік, що призводить до появи індукційного струму, що зменшує це збільшення. У цьому випадку індукційний струм спрямований у бік, протилежний основного. У зворотному випадку, коли зовнішній струм зменшується з часом, зменшення магнітного потоку призводить до порушення індукційного струму, що прагне збільшити потік, і цей струм направлений в ту ж сторону, що й зовнішній струм.

73 Пояснити явище самоіндукції та взаємної індукції

Самоіндукція — явище виникнення електрорушійної сили в провіднику при зміні електричного струму в ньому. Знак електрорушійної сили завжди такий, що вона протидіє зміні сили струму. Самоіндукція призводить до скінченного часу наростання сили струму при вмиканні джерела живлення і спадання струму при розмиканні електричного кола.

Величина електрорушійної сили самоіндукції визначається за формулою ,де — е.р.с., — сила струму, L — індуктивність.

Взаємоіндукція (взаємна індукція) - виникнення електрорушійної сили (ЕРС індукції) в одному провіднику внаслідок зміни сили струму в іншому провіднику або внаслідок зміни взаємного розташування провідників. Взаємоіндукція - окремий випадок більш загального явища - електромагнітної індукції. При зміні струму в одному з провідників або при зміні взаємного розташування провідників відбувається зміна магнітного потоку через (уявну) поверхню, "натягнуту" на контур другого, створеного магнітним полем, породженим струмом в першому провіднику, що за законом електромагнітної індукції викликає виникнення ЕРС в другому провіднику. Якщо другий провідник замкнутий, то під дією ЕРС взаємоіндукції в ньому утворюється індукований струм. І навпаки, зміна струму в другій ланцюга викличе появу ЕРС у першій. Напрямок струму, який виник при взаємоіндукції, визначається за правилом Ленца. Правило вказує на те, що зміна струму в одного ланцюга (котушці) зустрічає протидію з боку іншого ланцюга (котушки).

Чим більше частина магнітного поля першої ланцюга пронизує другий ланцюг, тим сильніше взаємоіндукція між ланцюгами. З кількісного боку явище взаємоіндукції характеризується взаємною індуктивністю (коефіцієнтом взаємоіндукції, коефіцієнтом зв'язку). Для зміни величини індуктивного зв'язку між ланцюгами, котушки роблять рухливими. Прилади, службовці для зміни взаємоіндукції між ланцюгами, називаються варіометрами зв'язку. Явище взаємоіндукції широко використовується для передачі енергії з одного електричного кола в іншу, для перетворення напруги за допомогою трансформатора.

74 Що таке молекулярність струму

Молекулярні струми можуть текти також і по поверхні розділу між магнетик або по поверхні розділу між магнетиком і вакуумом.

Молекулярні струми в буквальною сенсі можуть текти тільки всередині молекул. Однак у поділи безперервного середовища йдеться про усереднені по нескінченно малий обсягами величинах і тому молекулярні струми представляються поточними за обсягом магнетика, як в безперервному середовищі. За своїм значенням напруженість магнітного поля відіграє таку ж роль в теорії магнітного поля, як зміщення в теорії електричного поля. У діамагнетіков намагніченість спрямована проти напруженості магнітного поля, а індукція зовнішнього поля зменшується.

Молекулярний ток біля поверхні провідника збільшує струм провідності і, отже, збільшує магнітну індукцію в середовищі в порівнянні з порожнечею. Ця картина знаходиться у згоді з кількісними співвідношеннями.

Тому молекулярні струми повинні затухати, а електрони - падати на ядра атомів. Розглянута вище теорія діа - і парамагнетизму задовільно узгоджується з досвідом, якщо радіусах електронних орбіт в атомах і молекулах приписати значення порядку КГ м, що випливають з квантової теорії.

75 Поняття про намагніченість

Намагніченість - векторна фізична величина, що характеризує магнітне стан макроскопічного фізичного тіла. Позначається зазвичай М або J. Визначається як магнітний момент одиниці об'єму речовини:

Тут, J - вектор намагніченості; p_m - вектор магнітного моменту; V - об'єм.

У загальному випадку (випадку неоднорідною, з тих чи інших причин, середовища) намагніченість виражається як

і є функцією координат. Де d p_m є сумарний магнітний момент молекул в об'ємі dV Зв'язок між J і напруженістю магнітного поля H в діамагнітних і парамагнітних матеріалах, зазвичай лінійна (принаймні, при не надто великих величинах намагнічує поле):

де χm називають магнітною сприйнятливістю. У феромагнітних матеріалах немає однозначного зв'язку між J і H через магнітного гистерезиса і щоб описати залежність використовують тензор магнітної сприйнятливості.

Магнітна індукція визначається через намагніченість як: - (в системе СІ),

- (у системі СГС)

76 Типи магнетикив та їх характеристики

Магнітні властивості різних речовин досить різноманітні. Всі магнетики прийнято ділити на три класи:

1) парамагнетики - речовини, які слабо намагнічуються в магнітному полі, причому результуюче поле в парамагнетиках сильніше, ніж у вакуумі, магнітна проникність парамагнетиків m> 1; Такими властивостями володіють алюміній, платина, кисень та ін.;

2) Діамагнетик - речовини, які слабо намагнічуються проти поля, тобто поле в діамагнетиках слабкіше, ніж у вакуумі, магнітна проникність m <1. До діамагнетиків відносяться мідь, срібло, вісмут та ін.;

3) ферромагнетики - речовини, здатні сильно намагнічуватися в магнітному полі,. Це залізо, кобальт, нікель і деякі сплави.

77 Дати пояснення Що таке магнітні Гестерезис

Однією з основних особливостей сильномагнітних мінералів є залежність їхньої магнітної індукції або намагніченості від напруженості поля. Як показано на рис., первинне намагнічування сильномагнітної речовини відбувається по кривій OAD.При циклічному перемагніченні, що відбувається у напрямку вказаному стрілками, крива намагнічення переходе у криву гістерезису.Крива гістерезису, отримана для умов магнітного насичення, називається граничною петлею. Основні характеристики петлі гістерезису при дослідженнях зразка сильномагнітної речовини в замкненому магнітному ланцюгу: остаточна індукція Br і коерцитивна сила Hc. Остаточна індукція Br свідчить про те, що елементарні струми у феромагнітному тілі при зникненні зовнішнього поля зберегли упорядковану орієнтацію. Коерцитивна сила Hc характеризує величину напруженості поля зворотного напрямку, яку необхідно створити, щоб остаточна індукція зникла і стала рівною нулю. Якщо по осі ординат замість індукції відкласти значення намагніченості Jr, отримуємо петлю гістерезису намагніченості. За цією петлею можна визначити остаточну намагніченість Jr і коерцитивну силу Hc гістерезисної петлі намагнічення.

78 Поняття про струм зміщення

Струм зміщення – це особливий вид струму, який не пов'язаний з рухом зарядів, а пропорційний швидкості зміни електричного поля в вакуум; струм зміщення має змінне магнітне поле; струм зміщення дорівнює струму провідності у зовнішньому колі.Струм зміщення в вакуумі не виділяє джоулевої теплоти.

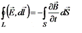
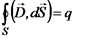
79 Система рівнянь Максвелла в інтегральній формі

Повна система рівнянь Максвелла в інтегральній формі має такий вигляд:

, , , .

Величини, що входять в рівняння Максвелла, не є незалежними і між ними є такий зв’язок:

, , .

Зазначимо, що до першого та чет­вертого рівняння Максвелла входять лише основні характеристики поля і , а в друге і третє – лише допоміжні величини і .

Рівняння Максвелла несиметричні відносно полів. Це зв’язано з тим, що в природі існують електричні заряди, а нема магнітних.

Для стаціонарних полів ( i ) рівняння Максвелла мають такий вигляд:

, , , .

В даному випадку електричні і магнітні поля існують незалежно одне від одного.

80 Поняття про змінний струм. Струми Фуко

Змі́нний струм — електричний струм, сила якого періодичнозмінюється з часом.

Здебільшого коливання струму відбуваються за гармонічним законом

, де — амплітуда струму, — частота, — фаза струму. Змінний струм виникає в електричному колі зі змінною напругою. Коливання напруги відбуваються за подібним законом, проте, в загальному випадку із зсувом фази

Перевагою змінного струму є те, що його легше виробляти й передавати до споживача. Постійний струм можна отримати зі змінного за допомогою випрямлення.

81 Поняття про гармонійні коливання

Гармонічними коливаннями називаються періодичні коливання фізичної величини(або будь-якої іншої) залежно від часу, які відбуваються згідно із законами синуса або косинуса

, або , де — це фізична величина, що коливається, — час, — це найбільше значення, яке приймає величина під час коливань, яке називають амплітудою коливань, — циклічна частота коливань, — фаза коливань. Періодом коливань називається величина . Лінійна частота коливань визначається, як .

82 Диференціальне рівняння гармонічного коливання

Коливаннями називають процеси, які повторюються з певною періодичністю. В залежності від механізму виникнення коливань розглядають механічні, електромагнітні, електромеханічні і т. п. коливання, а в залежності від характеру сил, що діють на коливну систему, – вільні (власні), згасаючі, вимушені тощо.

Розгляд почнемо з власних механічних коливань горизонтального пружинного маятника, який складається з тіла масою m, закріпленого до кінця пружини, що жорстко прикріплена до стінки (рис. 5.1).

Якщо вивести тіло з положення рівноваги, то на нього почне діяти повертаюча сила пружної деформації пружини, яка задається законом Гука . Якщо знехтувати тертям і масою пружини у порівнянні з масою тіла, то при невеликих деформаціях пружини закон руху – ІІ закон Ньютона – запишеться як

, (5.1)

де k – коефіцієнт пружності (жорсткість пружини), х – зміщення тіла від положення рівноваги, ах – прискорення вздовж осі Х. В подальшому всяку силу, пропорційну до зміщення і напрямлену до положення рівноваги, будемо називати квазіпружною, незалежно від її природи.

Оскільки прискорення , то (5.1) можна переписати як або . (5.2)

У рівнянні (5.2) , тому можна ввести позначення , (5.3) де називають власною циклічною частотою коливань. Підставляючи (5.3) у (5.2), одержимо диференціальне рівняння коливань не тільки пружинного маятника, але усякого тіла (матеріальної точки), на яке діє квазіпружна сила: . (5.4)

Легко показати, що розв’язком цього рівняння є гармонічні функції (рис. 5.2)

або . (5.5)

Коливання, в яких зміна фізичної величини в залежності від часу відбувається за законом синуса або косинуса, називаються гармонічними. В (5.5): А – амплітуда коливань – найбільше значення коливної фізичної величини (у даному випадку, максимальне зміщення від положення рівноваги), – фаза коливань, a – початкова фаза.

Проміжок часу, протягом якого здійснюється одне повне коливання, називається періодом коливань Т. Зрозуміло, що , оскільки гармонічні функції повторюються через 2p. Звідси циклічна частота (5.6)де – лінійна частота, як кількість коливань, здійснених за одиницю часу. Для пружинного маятника , тому період коливань . (5.7)

83 Поняття про вільні затухаючі коливання

Згасаючі коливання — коливання, енергія яких зменшується з плином часу. Процес, що триває нескінченно, виду в природі неможливий. Вільні коливання будь-якого осцилятора рано чи пізно загасають і припиняються. Тому на практиці звичайно мають справу з затухаючими коливаннями. Вони характеризуються тим, що амплітуда коливань A є спадною функцією. Зазвичай загасання відбувається під дією сил опору середовища, найчастіше залежних лінійно від швидкості коливань або її квадрату.

В акустиці: загасання - зменшення рівня сигналу до повної нечутності.

84 Поняття про вимушені коливання

Вимушені коливання, коливання, що виникають в якій-небудь системі під дією змінної зовнішньої сили (наприклад, коливання мембрани телефону під дією змінного магнітного поля, коливання механічної конструкції під дією змінного навантаження і т.д.). Характер Ст до. визначається як характером зовнішньої сили, так і властивостями самої системи. На початку дії періодичної зовнішньої сили характер Ст до. змінюється з часом (у частковості, Ст до. не є періодичними), і лише після деякого часу в системі встановлюються періодичні Ст до. з періодом, рівним періоду зовнішньої сили (сталі Ст до.). Встановлення Ст до. у коливальній системі відбувається тим швидше, чим більше загасання коливань в цій системі.




Поделиться с друзьями:


Дата добавления: 2015-05-24; Просмотров: 727; Нарушение авторских прав?; Мы поможем в написании вашей работы!


Нам важно ваше мнение! Был ли полезен опубликованный материал? Да | Нет



studopedia.su - Студопедия (2013 - 2026) год. Все материалы представленные на сайте исключительно с целью ознакомления читателями и не преследуют коммерческих целей или нарушение авторских прав! Последнее добавление




Генерация страницы за: 0.01 сек.