Студопедия

КАТЕГОРИИ:


Архитектура-(3434)Астрономия-(809)Биология-(7483)Биотехнологии-(1457)Военное дело-(14632)Высокие технологии-(1363)География-(913)Геология-(1438)Государство-(451)Демография-(1065)Дом-(47672)Журналистика и СМИ-(912)Изобретательство-(14524)Иностранные языки-(4268)Информатика-(17799)Искусство-(1338)История-(13644)Компьютеры-(11121)Косметика-(55)Кулинария-(373)Культура-(8427)Лингвистика-(374)Литература-(1642)Маркетинг-(23702)Математика-(16968)Машиностроение-(1700)Медицина-(12668)Менеджмент-(24684)Механика-(15423)Науковедение-(506)Образование-(11852)Охрана труда-(3308)Педагогика-(5571)Полиграфия-(1312)Политика-(7869)Право-(5454)Приборостроение-(1369)Программирование-(2801)Производство-(97182)Промышленность-(8706)Психология-(18388)Религия-(3217)Связь-(10668)Сельское хозяйство-(299)Социология-(6455)Спорт-(42831)Строительство-(4793)Торговля-(5050)Транспорт-(2929)Туризм-(1568)Физика-(3942)Философия-(17015)Финансы-(26596)Химия-(22929)Экология-(12095)Экономика-(9961)Электроника-(8441)Электротехника-(4623)Энергетика-(12629)Юриспруденция-(1492)Ядерная техника-(1748)

Общие указания по выполнению работы

Контрольная работа

УПРАВЛЕНИЕ ЗАПАСАМИ

А. Л. Носов

Characterize briefly pioneer experiments in your field of research.

 

 

 

Киров

В процессе изучения дисциплины "Управление запасами" в соответствии с учебным планом необходимо выполнить контрольную работу.

Работы направлять на проверку в сроки, предусмотренные графиком учебного процесса. За устной или письменной консультацией по вопросам выполнения контрольной работы студент может обратиться к преподавателю кафедры "Экономика и управление на предприятии" (ауд.5 - 203, тел. 64-55-83).

Контрольная работа состоит из двух задач и одного вопроса. При выполнении контрольной работы следует использовать учебную литературу, указанную в списке рекомендуемой литературы, а также любую доступную литературу по логистической тематике.

Тема теоретического вопроса выбирается студентом самостоятельно на основании литературных источников или применительно к деятельности предприятия. Тематика должна быть связана с запасами. Объем теоретического материала не менее 8 листов.

Номер варианта исходных данных выбирается по последней цифре номера зачетной книжки.

Контрольная работа должна быть соответствующим образом оформлена:

- написана разборчивым почерком или напечатана;

- на каждой странице должны быть оставлены поля для замечаний преподавателя - рецензента;

- все цитаты и фактический материал должны иметь ссылку на источник;

- приведен список использованной литературы, составленный по правилам библиографии.

Выполненную контрольную работу необходимо представить в деканат заочного отделения для проверки и последующей защиты.

 

Управление материальными запасами с применением анализа ABC и XYZ

В целях укрепления позиции на рынке руководство оптовой фирмы приняло решение расширить торговый ассортимент. Свободных финансовых средств, необходимых для кредитования дополнительных товарных ресурсов, фирма не имеет.

Перед службой логистики была поставлена задача усиления контроля товарных запасов с целью сокращения общего объема денежных средств, омертвленных в запасах.

Торговый ассортимент фирмы, средние запасы за год, а также объемы продаж по отдельным кварталам пред­ставлены в табл. 1.

Выберите из табл. 1 позиции с номерами, оканчивающимися на цифры, соответствующие последней цифре номера вашей зачетной книжки, и используйте их для выполнения заданий. Например, цифре 7 соответствуют строки: 7, 17, 27, 37, 47, 57, 67, 77, 87, 97.

Проведите полную классификацию отобранных 10 позиций материалов, постройте графики, матрицу АВС—XYZ, сделайте выводы о применимости к ним способов управления запасами.


Таблица 1

Исходные данные для проведения анализа ABC и анализа XYZ,руб.

 

№ позиции Средний запас за квартал по позиции Реализация за квартал
    1-й квартал 2-й квартал 3-й квартал 4-й квартал
           
           
           
           
           
           
           
  17 050        
           
           
           
           
           
           
           
           
           
           
           
           
           
           
           
           
           
           
  23 400        
           
           
           
           
           
           
  13 600        
           
           
           
           
           
           
           
           
           
           
           
           
           
           
           
           
                 

 

Продолжение таблицы 1

 

№ позиции Средний запас за квартал по позиции Реализация за квартал
    1-й квартал 2-й квартал 3-й квартал 4-й квартал
           
           
           
           
           
           
  17 050        
           
           
           
           
           
           
           
           
           
           
           
           
           
           
           
           
           
           
  23 400        
           
           
           
           
           
           
  13 600        
           
           
           
           
           
           
           
           
           
           
           
           
           
           
           
           
           
                 

Задание 1. Дифференцировать ассортимент по методу АВС

 

Идея метода ABC состоит в том, чтобы из всего множества однотипных объектов выделить наиболее значимые с точки зрения обозначенной цели. Таких объектов, как правило, немного, и именно на них необходимо сосредоточить основное внимание и силы.

Порядок проведения анализа ABC:

1) формулирование цели анализа;

2) идентификация объектов управления, анализируемых методом ABC;

3) выделение признака, на основе которого будет осуществлена классификация объектов управления;

4) оценка объектов управления по выделенному классификационному признаку;

5) группировка объектов управления в порядке убывания значении признака;

6) построения кривой ABC;

7) разделение совокупности объектов управления на три группы: группу А, группу В и группу С.

Объекты группы А требуют постоянного усиленного контроля их запасов, группа В требует обычного контроля, группа С включает второстепенные материалы, которые могут контролироваться лишь периодически.

Методические указания к выполнению задания

1. Сформулировать цель анализа ABC, указать объект и признак, по которому намечено провести разделение ас­сортимента.

2. Рассчитать долю отдельных позиций ассортимента в общем объеме запаса. Результат внести в графу 3 табл. 2.

3. Выстроить ассортиментные позиции в порядке убыва­ния доли в общем запасе. Вновь организованный список (с ука­занием доли в запасах) разместить в графах 5 и 6 табл. 2.

4. На миллиметровой бумаге построить кривую ABC (рис. 1).Для этого по горизонтали указать позиции ассортимента, выс­троенные в порядке убывания доли в общем запасе, в процентах к общему количе­ству позиций ассортимента (данные графы 5 табл. 2), а по вертикали - долю позиции ассортимента в общем запасе, исчисленную на­растающим ито­гом и выражен­ную в процентах (данные гра­фы 7 табл. 2).

 

Рис. 1. АВС -распределение

Таблица 2

ABC и XYZ -анализ

 

 

 

 

 

 

 

Исходная информация для проведения ABC и XYZ -анализа АВС -анализ XYZ -анализ
№ пози­ции ассор­ти­мента сред­ний запас по пози­ции доля пози­ции в об­щем запа­- се, % коэф- ­фици- ­ент ва­риации спроса по от­дельной пози­ции ассор­тимента № по­- зиции в списке, упоря-дочен­- ном по призна­ку доли в общих запасах доля пози­ции в об­щей сум­ме запа­-сов доля нара­стаю­щим ито­-гом груп­па № по­-зиции по спи­ску, упоря­дочен­-ному по коэф-фици- ­енту вариа­- ции значе­ние коэф­фици­ента вариа­ции групп-па
                     
                     
                 
               
    100,0       100,0    

 

5. Предложить разделение анализируемого ассортимента на группы А, В и С. Предлагается воспользоваться следующим алгоритмом:

♦ в группу А включают 20% позиций упорядоченного списка, начиная с наиболее значимой (в графе 5 табл. 2 находится на первом месте).

♦ в группу В включают следующие 30% позиций, в группу С включают оставшиеся 50% позиций (нижняя половина графы 5 табл. 2).

Задание 2. Дифференцировать ассортимент по методу XYZ

 

Анализ ABC позволяет дифференцировать ассортимент по степени вклада в намеченный ре­зультат. Принцип дифференциации ассортимента в процес­се анализа XYZ иной — здесь весь ассортимент (ресурсы) делят на три группы в зависимости от степени равномерно­сти спроса и точности прогнозирования.

Признаком, на основе которого конкретную позицию ассортимента относят к группе X, Y или Z, является коэф­фициент вариации спроса (v) по этой позиции. Среди отно­сительных показателей вариации коэффициент вариации является наиболее часто применяемым показателем отно­сительной изменчивости.

Порядок проведения анализа XYZ:

1) определение коэффициентов вариации по отдельным позициям ассортимента;

2) группировка объектов управления в порядке возрастания коэффициента вариации;

3) построения кривой XYZ;

4) разделение совокупности объектов управления на три группы: группа X, группа Y и группа Z;

Методические указания к выполнению задания

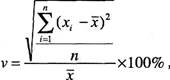
1. Рассчитать коэффициенты вариации спроса по от­дельным позициям ассортимента (v). Результат внести в графу 4 формы 2.

где хi — i-е значение спроса по оцениваемой пози­ции;

— среднеквартальное значение спроса по оценивае­мой позиции;

п — число кварталов, за которые произведена оценка.

2. Выстроить ассортиментные позиции в порядке возрастания значения коэффициента вариации. Вновь органи­зованный список (с указанием значения коэффициента ва­риации) разместить в графах 9 и 10 формы 2.

3. На миллиметровой бумаге построить кривую XYZ.

4. Разделить анализируемый ассортимент на группы X, Y и Z.

В общем случае выбор алгоритма разделения рекомен­дуется осуществлять с учетом замечания, сделанного в снос­ке к п. 5 задания 1. В рамках данной задачи алгоритм разделения предла­гается в табл. 3.

Таблица 3

Предлагаемый алгоритм разделения ассортимента на группы X, Y и Z

 

Группа Интервал
X 0 < v < 10%
Y 10% ≤ v < 25%
Z 25% ≤ v < ∞

5. Занести в соответствующие ячейки матрицы ABC-XYZ номера позиций и выделить товарные позиции, требующие наиболее тщательного контроля при управлении запасами.

Таблица 4

Матрица АВС—XYZ

 

АХ AY AZ
ВХ BY BZ
CY CZ

 

Для товарных позиций, входящих в группы АХ, AY, AZ, следует выработать индивидуальные технологии управления запасами. Например, для позиций, входящих в группу АХ сле­дует рассчитать оптимальный размер заказа и рассмот­реть возможность применения технологии доставки "точно в срок".

Позиции группы AZ следует контролировать ежед­невно. Очевидно, что в связи с большими колебаниями спро­са здесь необходимо предусмотреть страховой запас.

Управление запасами по позициям, входящим в груп­пы ВХ, BY и BZ, может осуществляться как по одинако­вым, так и по индивидуальным технологиям (как по срокам планирования, так и по способам доставки).

Планирование запасов по товарным позициям, входящим в группы СХ, CY и CZ, может осуществляться на более дли­тельный период, например на квартал, с еженедельной (или ежемесячной) проверкой наличия запаса на складе.

 


Темы вопросов для подготовки к экзамену

 

1. Материальные запасы в логистической системе.

2. Цели создания запасов.

3. Негативные последствия высокого уровня запасов.

4. Классификация материальных запасов.

5. Общая характеристика систем контроля состояния запасов.

6. Уровни запасов в системах их контроля.

7. Система оперативного управления.

8. Система равномерной поставки.

9. Система пополнения запаса до максимального уровня.

10. Система с фиксированным размером заказа.

11. Система с двумя уровнями запаса.

12. Системы с не­прерывной проверкой фактического уровня запаса.

13. Системы с периодической про­веркой фактического уровня запаса.

14. Учет сбоев поставки и потребления в логистической системе.

15. Параметры основных систем контроля состояния запасов.

16. Система с фиксированным размером заказа по пороговому уровню.

17. Двухбункерная система контроля состояния запасов.

18. Система с фиксированной периодичностью пополне­ния запаса.

19. Сравнение основных систем контроля состояния запасов.

20. Определение оптимального размера заказываемой партии.

21. Зависимость годовых издержек управления от размера заказа.

22. Минимизация связанных с запасами затрат.

23. Ограничение оборотных средств в запасах.

24. Анализ запасов методом ABC и XYZ.

25. Метод ABC.

26. Метод XYZ.

27. Результат ABC и XYZ анализа.

28. Проектирование логистической системы управления запасами.

29. Признаки плохого управления запасами.

30. Процесс проектирования системы управления за­пасами.

31. Логистический подход к управлению запасами.

32. Способы сокращения уровней запасов.

33. Издержки дефицита.

 

 


<== предыдущая лекция | следующая лекция ==>
Further experiments of this kind were | МОНЕТЫ XX в
Поделиться с друзьями:


Дата добавления: 2015-05-08; Просмотров: 723; Нарушение авторских прав?; Мы поможем в написании вашей работы!


Нам важно ваше мнение! Был ли полезен опубликованный материал? Да | Нет



studopedia.su - Студопедия (2013 - 2026) год. Все материалы представленные на сайте исключительно с целью ознакомления читателями и не преследуют коммерческих целей или нарушение авторских прав! Последнее добавление




Генерация страницы за: 0.012 сек.