Студопедия

КАТЕГОРИИ:


Архитектура-(3434)Астрономия-(809)Биология-(7483)Биотехнологии-(1457)Военное дело-(14632)Высокие технологии-(1363)География-(913)Геология-(1438)Государство-(451)Демография-(1065)Дом-(47672)Журналистика и СМИ-(912)Изобретательство-(14524)Иностранные языки-(4268)Информатика-(17799)Искусство-(1338)История-(13644)Компьютеры-(11121)Косметика-(55)Кулинария-(373)Культура-(8427)Лингвистика-(374)Литература-(1642)Маркетинг-(23702)Математика-(16968)Машиностроение-(1700)Медицина-(12668)Менеджмент-(24684)Механика-(15423)Науковедение-(506)Образование-(11852)Охрана труда-(3308)Педагогика-(5571)Полиграфия-(1312)Политика-(7869)Право-(5454)Приборостроение-(1369)Программирование-(2801)Производство-(97182)Промышленность-(8706)Психология-(18388)Религия-(3217)Связь-(10668)Сельское хозяйство-(299)Социология-(6455)Спорт-(42831)Строительство-(4793)Торговля-(5050)Транспорт-(2929)Туризм-(1568)Физика-(3942)Философия-(17015)Финансы-(26596)Химия-(22929)Экология-(12095)Экономика-(9961)Электроника-(8441)Электротехника-(4623)Энергетика-(12629)Юриспруденция-(1492)Ядерная техника-(1748)

Принцип преобразования частоты




Пусть нелинейный элемент имеет квадратичную ВАХ и к нему приложены:

· напряжение гетеродина

· напряжение сигнала

· напряжение смещения Е СМ

При этом

На рисунке 4.3. показана зависимость тока диода и крутизны ВАХ от приложенного напряжения u = u г + Е СМ.

Рис.4.3. Зависимость тока диода и крутизны ВАХ от приложенного напряжения

Поскольку крутизна есть производная тока диода по приложенному напряжению, то на квадратичном участке ВАХ эта зависимость будет линейной.

Рассмотрим два состояния преобразователя частоты:

1. Сигнала нет u c = 0.

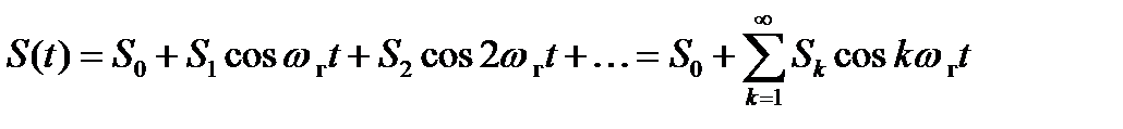
Под воздействием гетеродинного напряжения u г крутизна ВАХ периодически изменяется от 0 до S max с частотой гетеродина и может быть описана рядом Фурье

, (4.1)

где S 0 – среднее значение крутизны

S 1, S 2 – амплитуда первой, второй и т.д. гармоник крутизны

Выходной ток нелинейного элемента (диода) меняется импульсами и в своем составе содержит колебания с частотой w г и гармониками 2 w г, 3 w г и т.д., которые способствуют образованию дополнительных каналов приема РПУ.

2.

При подаче напряжения сигнала происходит приращение анодного тока i д на величину

Учитывая, что , получим

k – номер гармоники гетеродина

S к – амплитуда k-той гармоники крутизны д

1. В составе выходного тока НЭ кроме гармоник появляются следующие.

Частота Амплитуда

w с

В радиолокационных приемниках в качестве f пч используется разностная частота и, как правило, полученная в результате преобразования на первой гармонике гетеродина (к=1)

Фильтр, являющийся нагрузкой смесителя, выделяет из всего спектра частот только составляющую с f пч и поэтому настраивается резонанс на f пч.

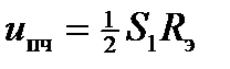
Амплитуда тока промежуточной частоты определяется выражением

Если в качестве фильтра ПЧ используется колебательный контур, то амплитуда напряжения промежуточной частоты

где R э – эквивалентное сопротивление нагрузки смесителя при резонансе.

Смеситель является нелинейным элементом (ВАХ нелинейна), но по отношению к входному сигналу преобразователь частоты является линейной системой, поскольку после преобразования ни форма сигнала, ни его спектр не изменились. По этой причине преобразователи частоты относят к линейному тракту приемника.

Выбор режима работы смесителя производится, как правило, по минимальному коэффициенту шума

g с – относительная шумовая температура смесителя

К рс – коэффициент передачи смесителя.

 




Поделиться с друзьями:


Дата добавления: 2015-05-09; Просмотров: 773; Нарушение авторских прав?; Мы поможем в написании вашей работы!


Нам важно ваше мнение! Был ли полезен опубликованный материал? Да | Нет



studopedia.su - Студопедия (2013 - 2025) год. Все материалы представленные на сайте исключительно с целью ознакомления читателями и не преследуют коммерческих целей или нарушение авторских прав! Последнее добавление




Генерация страницы за: 0.008 сек.