Студопедия

КАТЕГОРИИ:


Архитектура-(3434)Астрономия-(809)Биология-(7483)Биотехнологии-(1457)Военное дело-(14632)Высокие технологии-(1363)География-(913)Геология-(1438)Государство-(451)Демография-(1065)Дом-(47672)Журналистика и СМИ-(912)Изобретательство-(14524)Иностранные языки-(4268)Информатика-(17799)Искусство-(1338)История-(13644)Компьютеры-(11121)Косметика-(55)Кулинария-(373)Культура-(8427)Лингвистика-(374)Литература-(1642)Маркетинг-(23702)Математика-(16968)Машиностроение-(1700)Медицина-(12668)Менеджмент-(24684)Механика-(15423)Науковедение-(506)Образование-(11852)Охрана труда-(3308)Педагогика-(5571)Полиграфия-(1312)Политика-(7869)Право-(5454)Приборостроение-(1369)Программирование-(2801)Производство-(97182)Промышленность-(8706)Психология-(18388)Религия-(3217)Связь-(10668)Сельское хозяйство-(299)Социология-(6455)Спорт-(42831)Строительство-(4793)Торговля-(5050)Транспорт-(2929)Туризм-(1568)Физика-(3942)Философия-(17015)Финансы-(26596)Химия-(22929)Экология-(12095)Экономика-(9961)Электроника-(8441)Электротехника-(4623)Энергетика-(12629)Юриспруденция-(1492)Ядерная техника-(1748)

Закон сохранения импульса. Рассмотрим наиболее общие законы сохранения, которым подчиняется весь материальный мир и которые вводят в физику ряд фундаментальных понятий: энергия




Законы сохранения

Рассмотрим наиболее общие законы сохранения, которым подчиняется весь материальный мир и которые вводят в физику ряд фундаментальных понятий: энергия, количество движения (импульс), момент импульса, заряд.

Как известно, количеством движения, или импульсом, называют произведение скорости на массу движущегося тела: p = mv Эта физическая величина позволяет найти изменение движения тела за какой-нибудь определенный промежуток времени. Для решения этой задачи следовало бы применять второй закон Ньютона бесчисленное число раз, во все промежуточные моменты времени. Закон сохранения количества движения (импульса) можно получить, используя второй и третий законы Ньютона. Если рассматривать две (или более) материальные точки (тела), взаимодействующие между собой и образующие систему, изолированную от действия внешних сил, то за время движения импульсы каждой точки (тела) могут изменяться, но общий импульс системы должен оставаться неизменным:

m1v + m1v2 = const.

Взаимодействующие тела обмениваются импульсами при сохранении общего импульса.

В общем случае получаем:

где PΣ – общий, суммарный импульс системы, mivi – импульсы отдельных взаимодействующих частей системы. Сформулируем закон сохранения импульса:

► Если сумма внешних сил равна нулю, импульс системы тел остается постоянным при любых происходящих в ней процессах.

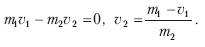
Пример действия закона сохранения импульса можно рассмотреть на процессе взаимодействия лодки с человеком, которая уткнулась носом в берег, а человек в лодке быстро идет из кормы в нос со скоростью v1. В этом случае лодка отойдет от берега со скоростью v2:


Аналогичный пример можно привести со снарядом, который разорвался в воздухе на несколько частей. Векторная сумма импульсов всех осколков равна импульсу снаряда до разрыва.




Поделиться с друзьями:


Дата добавления: 2015-05-07; Просмотров: 482; Нарушение авторских прав?; Мы поможем в написании вашей работы!


Нам важно ваше мнение! Был ли полезен опубликованный материал? Да | Нет



studopedia.su - Студопедия (2013 - 2026) год. Все материалы представленные на сайте исключительно с целью ознакомления читателями и не преследуют коммерческих целей или нарушение авторских прав! Последнее добавление




Генерация страницы за: 0.009 сек.