Студопедия

КАТЕГОРИИ:


Архитектура-(3434)Астрономия-(809)Биология-(7483)Биотехнологии-(1457)Военное дело-(14632)Высокие технологии-(1363)География-(913)Геология-(1438)Государство-(451)Демография-(1065)Дом-(47672)Журналистика и СМИ-(912)Изобретательство-(14524)Иностранные языки-(4268)Информатика-(17799)Искусство-(1338)История-(13644)Компьютеры-(11121)Косметика-(55)Кулинария-(373)Культура-(8427)Лингвистика-(374)Литература-(1642)Маркетинг-(23702)Математика-(16968)Машиностроение-(1700)Медицина-(12668)Менеджмент-(24684)Механика-(15423)Науковедение-(506)Образование-(11852)Охрана труда-(3308)Педагогика-(5571)Полиграфия-(1312)Политика-(7869)Право-(5454)Приборостроение-(1369)Программирование-(2801)Производство-(97182)Промышленность-(8706)Психология-(18388)Религия-(3217)Связь-(10668)Сельское хозяйство-(299)Социология-(6455)Спорт-(42831)Строительство-(4793)Торговля-(5050)Транспорт-(2929)Туризм-(1568)Физика-(3942)Философия-(17015)Финансы-(26596)Химия-(22929)Экология-(12095)Экономика-(9961)Электроника-(8441)Электротехника-(4623)Энергетика-(12629)Юриспруденция-(1492)Ядерная техника-(1748)

Контактное термическое сопротивление




Б) Теплопроводность через многослойную плоскую стенку.

А) Теплопроводность через однослойную плоскую стенку

Коэффициент теплопроводности

Коэффициент теплопроводности является физическим параметром вещества, характеризующим его способность проводить теплоту. Коэффициент теплопроводности определяется из уравнения (9.4) .:

. (9.8)


Численно коэффициент теплопроводности равен количеству теплоты, проходящему в единицу времени через единицу изотермической поверхности при условии gradt=1. Его размерность Вт/(м·К). Значения коэффициента теплопроводности для различных веществ определяются из справочных таблиц, построенных на основании экспериментальных данных.

 

Плотность теплового потока находится из уравнения Фурье:

, .

Общее количество теплоты, которое передается через поверхность стенки за время :

, .

определяют при средней температуре стенки .

Плотность теплового потока:

,

где - термическое сопротивление слоя; - полное термическое сопротивление плоской многослойной стенки.

Температуры между отдельными слоями многослойной стенки:

;

;

и т.д.

4 Теплоптоводность ч/з цил-ую стенку.

На границах стенки заданы ГУ 1-го рода.

при r=r1, t=tw1

при r=r2 , t=tw2

в этом случае тепловой поток имеет радиальное направление, темпер. поле одномерно. для стационар. одномер. задачи о теплопро-ти цил. стенки дифур-ие (1.5) в цил-й системе коорд-т при λ=const примет

(1.14)

введя новую переменную г= , преобр-ем (1.14)

после раздел-я перем-х и интегр-я получим lnu + lnr = lnC1 (1.15)

потенцируя получим u*r= C1

перейдя к первонач переем-м, запишем r = C1, а затем разделив получаем

t= C1lnr+ C2 (1.16)

искривление линии темпер-го поля в цил-ой стенке обуслов-о изменением плотности тепл-го потока q= при изменении радиуса цилиндра. при увеличении r величина площади F=2πrl, где l – длина стенки, также увел-ся. поэтому на больших r темп-ая линия проходит более полого и наоборот. Это правило сохр-ся и при обратном направ-ии тепл. потока(пунктир на рис.).

Подставив ГУ в (1.16) найдем C1 и C2:

C1= C2 = (1.18)

преобр-м 1.16 с учетом 1.18: (1.19)

где d1 и d2 – внутр и наруж диам-ы цилиндра, d – текущ-й диам-р цил-ра.

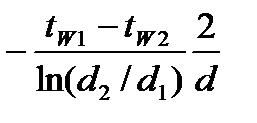
из (1.19) опред-им темпер-й градиент: = (1.20)

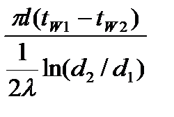
использ (1.20) найдем тепл-й поток ч/з стенку: Q=qF=-λ 2πrl= (1.21)

тепловой поток на единицу длины (1.22)

величину назыв внутр термич сопр-ем цил стенки.обозначим плотности тепл. потока на внутр и внеш поверх-ях ч/з и . т.к. Q= l= π l= π l

 

= π = π (1.23)

5 Теплопередача ч/з цилиндр

Принцип расчета теплового потока через цилиндрическую стенку аналогична как и для плоской стенки. Рассмотрим однородную трубу (рис.12.2) степлопроводностью l, внутренний диаметр d1, наружный диаметр d2, длина l. Внутри трубы находится горячая среда с температурой t'ж, а снаружи холодная среда с температурой tж

оличество теплоты, переданной от горячей среды к внутренней стенке трубы по закону Ньютона-Рихмана имеет вид:

 

Q = p·d1·a1·l·(t'ж – t1), (12.9)

где a1 – коэффициент теплоотдачи от горячей среды с температурой t'ж к поверхности стенки• с температурой t1;

Тепловой поток, переданный через стенку трубы определяется по уравнению:

Q = 2·p·l·l·(t1 – t2) / ln (d2/d1). (12.10)

Тепловой поток от второй поверхности стенки трубы к холодной среде определяется по формуле:

Q = p·d2·a2·l·(t1 - t''ж), (12.11)

где a2 – коэффициент теплоотдачи от второй поверхности стенки к холодной среде с температурой t''ж.

Решая эти три уравнения получаем:

Q = p l·(t'ж – t''ж) • К, (12.12)

где Кl = 1/[1/(a1d1)+ 1/(2lln(d2/d1) + 1/(a2d2)] – (12.13)

- линейный коэффициент теплопередачи,

или Rl = 1/ Кl = [1/(a1d1)+ 1/(2lln(d2/d1) + 1/(a2d2)] – (12.14)

· полное линейное термическое сопротивление

теплопередачи через однослойную цилиндрическую стенку.

1/(a1d1), 1/(a2d2) – термические сопротивления теплоотдачи поверхностей стенки;

1/(2lln(d2/d1) - термическое сопротивление стенки.

Для многослойной (n слоев) цилиндрической стенки полное линейное термическое сопротивление будет определяться по следующей формуле:

Rl = 1/ Кl = [1/(a1d1)+ 1/(2l1ln(d2/d1) + 1/(2l3ln(d3/d2) + …

+ 1/(2lnln(dn+1/dn) + 1/(a2dn)] – (12.15)

При выводе формул для многослойной стенки предполагалось, что слои плотно прилегают друг к другу, и благодаря хорошему контакту соприкасающиеся поверхности разных слоев имеют одну и ту же температуру. Идеально плотный контакт между отдельными слоями многослойной стенки получается, если одни из слоев наносят на другой слой в жидком состоянии или в виде текучего раствора. Твердые тела касаются друг друга только вершинами профилей шеро­ховатостей (рис.4). Площадь контакта вершин пренебрежимо мала, и весь тепловой по­ток идет через воздушный зазор (h). Это создает дополнительное (контактное) термическое сопротивление Rк. Термические контактные сопротивления, могут быть определены самостоятельно с использованием соответствующих эмпирических зависимостей или экспериментально. Например, термическое сопротивление зазора в 0,03 мм примерно эквивалентно термическому сопро­тивлению слоя стали толщиной около 30 мм.




Поделиться с друзьями:


Дата добавления: 2015-05-09; Просмотров: 1507; Нарушение авторских прав?; Мы поможем в написании вашей работы!


Нам важно ваше мнение! Был ли полезен опубликованный материал? Да | Нет



studopedia.su - Студопедия (2013 - 2026) год. Все материалы представленные на сайте исключительно с целью ознакомления читателями и не преследуют коммерческих целей или нарушение авторских прав! Последнее добавление




Генерация страницы за: 0.011 сек.