Студопедия

КАТЕГОРИИ:


Архитектура-(3434)Астрономия-(809)Биология-(7483)Биотехнологии-(1457)Военное дело-(14632)Высокие технологии-(1363)География-(913)Геология-(1438)Государство-(451)Демография-(1065)Дом-(47672)Журналистика и СМИ-(912)Изобретательство-(14524)Иностранные языки-(4268)Информатика-(17799)Искусство-(1338)История-(13644)Компьютеры-(11121)Косметика-(55)Кулинария-(373)Культура-(8427)Лингвистика-(374)Литература-(1642)Маркетинг-(23702)Математика-(16968)Машиностроение-(1700)Медицина-(12668)Менеджмент-(24684)Механика-(15423)Науковедение-(506)Образование-(11852)Охрана труда-(3308)Педагогика-(5571)Полиграфия-(1312)Политика-(7869)Право-(5454)Приборостроение-(1369)Программирование-(2801)Производство-(97182)Промышленность-(8706)Психология-(18388)Религия-(3217)Связь-(10668)Сельское хозяйство-(299)Социология-(6455)Спорт-(42831)Строительство-(4793)Торговля-(5050)Транспорт-(2929)Туризм-(1568)Физика-(3942)Философия-(17015)Финансы-(26596)Химия-(22929)Экология-(12095)Экономика-(9961)Электроника-(8441)Электротехника-(4623)Энергетика-(12629)Юриспруденция-(1492)Ядерная техника-(1748)

Пример синтеза управляющего автомата для заданного алгоритма




 

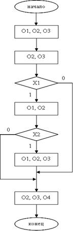
По заданной содержательной схеме алгоритма в микрооперациях разработать функциональную схему управляющего автомата Мура (Мили) (рисунок 9), в качестве элементов памяти использовать D-триггеры, комбинационную схему реализовать на логических элементах. Дать оценку конструктивной сложности ЦА.

 

 

 

Рисунок 9 – Схема алгоритма в микрооперациях

 

1) Заменим наборы микроопераций О1, О2, О3, О4 на коды микрокоманд Y1, Y2, Y3, Y4. В результате получим кодированную ГСА в микрокомандах.

2) Построим отмеченную граф-схему алгоритма (ГСА) управляющего автомата Мура (Мили)

В соответствии с требованиями предъявляемыми к разметке состояний цифрового автомата Мура (Мили) получаем отмеченную ГСА цифрового автомата (рисунок 10, а), б)).

 

 

а) б)

 

Рисунок 10 – Отмеченные граф-схемы а) для автомата Мура, б) для автомата Мили

 

3) Построение графа функционирования автомата

Согласно отмеченной граф-схеме алгоритма управляющего автомата Мура (Мили) строим граф функционирования автомата (рисунок 11, а), б)).

 

 

 


а)

 

 

 

б)

 

Рисунок 11 – Графы функционирования автоматов: Мура а), Мили б)

 

 

4) Кодирование состояний устройства

Число разрядов кода состояния соответствует числу элементов памяти и определяется по формуле: k = ù log2 S é, где

k – число разрядов (число элементов памяти)

S число внутренних состояний;

ù é - округление в большую сторону.

В нашем случае для автомата Мура число состояний S = 6. Количество разрядов кода состояния (число элементов памяти): K = ]log2S[ = ]log26[ = 3.

Для автомата Мили число состояний S = 5. Количество разрядов кода состояния (число элементов памяти): k = ]log2S[ = ]log25[ = 3.

Таблицы кодировки состояний для автомата Мура и автомата Мили приведены на рисунке 12, а) и б) соответственно.

 

 

Состояние Код состояния
S0  
S1  
S2  
S3  
S4  
S5  
Состояние Код состояния
S0  
S1  
S2  
S3  
S4  

 

а) б)

 

Рисунок 12 - Таблицы кодировки состояний для автомата Мура а) и автомата Мили б)

 

5) Формирование функций перехода, возбуждения и выходов устройства

По отмеченной ГСА или графу функционирования автомата, таблицы кодировки состояний автомата и таблицы переходов триггеров строим таблицы (или таблицу) функций перехода, возбуждения и выходов устройства.

 

Таблица 2 – Таблица переходов D-триггера

 

Q(t)®Q(t+1) D
0 → 0  
0 → 1  
1 → 0  
1 → 1  

 

Таблица 3 – Таблица функций выходов для автомата Мура

 

Состояние Код состояния Выходные функции
Q1 Q2 Q3 Y1 Y2 Y3 Y4
S0              
S1              
S2              
S3              
S4              
S5              

 

 

Таблица 4 – Таблица функций перехода и возбуждения для автомата Мура

 

Исходное состояние Условия перехода Последующее состояние Функции возбуждения
метка код метка код
Q1 Q2 Q3 Q1 Q2 Q3 D1 D2 D3
S0       S1            
S1       S2            
S2       S3            
S5            
S3       S4            
S5            
S4       S5            
S5       0            

 

 

Таблица 5 - Таблица функций выходов,перехода и возбуждения для автомата Мили

 

Исходное состояние Условия перехода Последующее состояние Выходные функции Функции возбуждения
метка код метка код
Q1 Q2 Q3 Q1 Q2 Q3 D1 D2 D3
S0       S1       Y1,Y2,Y3      
S1       S2       Y2,Y3      
S2       S3       Y1,Y2      
S4            
S3       S4       Y1,Y2,Y3      
S4       S0       Y2,Y3,Y4      

6) Минимизация функций возбуждения элементов памяти и функций выходов

Из таблицы функций перехода, возбуждения и выходов автомата Мура (Мили) получаем систему логических уравнений для цифрового автомата Мура (Мили).

Система логических уравнений для цифрового автомата Мура:

 

Система логических уравнений для цифрового автомата Мили:

 

 

Из системы логических уравнений для цифрового автомата Мура получаем полное множество конъюнкций для данного автомата:

 

 

Из системы логических уравнений для цифрового автомата Мили получаем полное множество конъюнкций для данного автомата:

 

 

Из полного множества конъюнкций получаем таблицу покрытия конъюнкциями системы логических уравнений.

 

Таблица 6 - Таблица покрытия конъюнкциями для цифрового автомата Мура

  K1 K2 K3 K4 K5 K6 K7 K8 K9 K10 K11 K12
D1 + + +                  
D2       + +              
D3           + + +        
Y1     +           +      
Y2     +             + +  
Y3     +       +     +    
Y4                       +

 

Таблица 7 - Таблица покрытия конъюнкциями для цифрового автомата Мили

 

  K1 K2 K3 K4 K5 K6 K7 K8 K9
D1 + +              
D2     + +          
D3       + +        
Y1       + + +      
Y2     + +   + +    
Y3           +   + +
Y4                 +

 

 

7) Построение функциональной схемы управляющего автомата Мура (Мили)

На основе полученных функций возбуждения и функций выходов строим функциональную схему управляющего автомата Мура (Мили).

 

Рисунок 13 - Функциональная схема управляющего автомата Мура

 

 

 

Рисунок 14 - Функциональная схема управляющего автомата Мили

 

 

8) Оценка конструктивной сложности управляющего автомата Мура (Мили).

 

- Определение конструктивной сложности автомата Мура методом Квайна - число входов логических элементов: 59.

- Число ярусов сигнала на самом длинном пути от входа к выходу: 4.

- Количество элементов необходимых для построения функциональной схемы:

 

Таблица 8 – Оборудование для реализации автомата Мура

 

  Автомат Логические элементы на 2 входа на 3 входа на 4 входа D -триггеров Всего элементов
  Мура И          
ИЛИ      
И-НЕ  

 

 

- Определение конструктивной сложности автомата Мили методом Квайна - число входов логических элементов: 51.

- Число ярусов сигнала на самом длинном пути от входа к выходу: 4.

- Количество логических элементов необходимых для построения функциональной схемы:

 

Таблица 9 – Оборудование для реализации автомата Мили

 

  Автомат Логические элементы на 2 входа на 3 входа на 4 входа D -триггеров Всего элементов
  Мили И          
ИЛИ      
И-НЕ  

 





Поделиться с друзьями:


Дата добавления: 2015-05-09; Просмотров: 3352; Нарушение авторских прав?; Мы поможем в написании вашей работы!


Нам важно ваше мнение! Был ли полезен опубликованный материал? Да | Нет



studopedia.su - Студопедия (2013 - 2025) год. Все материалы представленные на сайте исключительно с целью ознакомления читателями и не преследуют коммерческих целей или нарушение авторских прав! Последнее добавление




Генерация страницы за: 0.009 сек.