Студопедия

КАТЕГОРИИ:


Архитектура-(3434)Астрономия-(809)Биология-(7483)Биотехнологии-(1457)Военное дело-(14632)Высокие технологии-(1363)География-(913)Геология-(1438)Государство-(451)Демография-(1065)Дом-(47672)Журналистика и СМИ-(912)Изобретательство-(14524)Иностранные языки-(4268)Информатика-(17799)Искусство-(1338)История-(13644)Компьютеры-(11121)Косметика-(55)Кулинария-(373)Культура-(8427)Лингвистика-(374)Литература-(1642)Маркетинг-(23702)Математика-(16968)Машиностроение-(1700)Медицина-(12668)Менеджмент-(24684)Механика-(15423)Науковедение-(506)Образование-(11852)Охрана труда-(3308)Педагогика-(5571)Полиграфия-(1312)Политика-(7869)Право-(5454)Приборостроение-(1369)Программирование-(2801)Производство-(97182)Промышленность-(8706)Психология-(18388)Религия-(3217)Связь-(10668)Сельское хозяйство-(299)Социология-(6455)Спорт-(42831)Строительство-(4793)Торговля-(5050)Транспорт-(2929)Туризм-(1568)Физика-(3942)Философия-(17015)Финансы-(26596)Химия-(22929)Экология-(12095)Экономика-(9961)Электроника-(8441)Электротехника-(4623)Энергетика-(12629)Юриспруденция-(1492)Ядерная техника-(1748)

Производные высших порядков

Производная сложной функции

ОСНОВНЫЕ СВОЙСТВА ПРОИЗВОДНЫХ

 

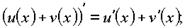
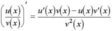
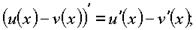
Если в точке x существуют конечные производные функций v = v (x) и u = u (x), то в этой точке существуют также производные суммы, разности, произведения и частного этих функций, причем:

1. 2.
3. 4.
5.  

 

 

Если функция y = f (x) имеет производную в точке x0, а функция y = g (x) имеет производную в точке y 0 = f (x 0), то сложная функция h (x) = g (f (x)) также имеет производную в точке x0, причем

 

 

Пусть функция определена и дифференцируема. Тогда производная этой функции будет так же некоторой функцией. И эта функция может быть дифференцируема либо снова на всем множестве , либо на какой-то его части. Тогда говорят, что существует вторая производная или производная второго порядка от этой функции: , , . Т.е. вторая производная или производная второго порядка есть производная от производной первого порядка. Функция снова может оказаться функцией дифференцируемой либо на всем множестве , либо на какой-то его части. Значит можно говорить о производной от этой функции. Производная от производной второго порядка называется производной третьего порядка и обозначается: , . Т.о. . Т.е. третья производная или производная третьего порядка есть производная от производной второго порядка.

И.Т.Д.

Производная -го порядка или -ая производная есть производная от производной -го порядка, при условии, что все предшествующие призводные существуют.

Все производные при называются производными высшего порядка, при этом при порядок производной обозначается не штрихами а верхним индексом в скобках. Например .

Понятие дифференциала.

Связь дифференциала и производной.

Пусть функция дифференцируема в т. , т.е. имеет в этой точке конечную производную , которая по определению равна . Тогда по теореме о связи функции и ее предела мы можем записать равенство или . При достаточно малых второе слагаемое в правой части последнего равенства будет величиной достаточно малой, поэтому будет определяться первым слагаемым . Эта величина называется главной частью приращения функции. В тоже время линейно зависит от , поэтому данное слагаемое называется линейной частью приращения функции.

Главная линейная часть приращения функции называется дифференциалом функции и обозначается . Т.О. по определению дифференциал

или

Уравнения касательной и нормали к кривой в точке имеют соответственно вид: , .

<== предыдущая лекция | следующая лекция ==>
Производство в суде 2 инстанции: понятие, значение, основные черты | Художественная гимнастика
Поделиться с друзьями:


Дата добавления: 2015-05-10; Просмотров: 311; Нарушение авторских прав?; Мы поможем в написании вашей работы!


Нам важно ваше мнение! Был ли полезен опубликованный материал? Да | Нет



studopedia.su - Студопедия (2013 - 2026) год. Все материалы представленные на сайте исключительно с целью ознакомления читателями и не преследуют коммерческих целей или нарушение авторских прав! Последнее добавление




Генерация страницы за: 0.014 сек.