Студопедия

КАТЕГОРИИ:


Архитектура-(3434)Астрономия-(809)Биология-(7483)Биотехнологии-(1457)Военное дело-(14632)Высокие технологии-(1363)География-(913)Геология-(1438)Государство-(451)Демография-(1065)Дом-(47672)Журналистика и СМИ-(912)Изобретательство-(14524)Иностранные языки-(4268)Информатика-(17799)Искусство-(1338)История-(13644)Компьютеры-(11121)Косметика-(55)Кулинария-(373)Культура-(8427)Лингвистика-(374)Литература-(1642)Маркетинг-(23702)Математика-(16968)Машиностроение-(1700)Медицина-(12668)Менеджмент-(24684)Механика-(15423)Науковедение-(506)Образование-(11852)Охрана труда-(3308)Педагогика-(5571)Полиграфия-(1312)Политика-(7869)Право-(5454)Приборостроение-(1369)Программирование-(2801)Производство-(97182)Промышленность-(8706)Психология-(18388)Религия-(3217)Связь-(10668)Сельское хозяйство-(299)Социология-(6455)Спорт-(42831)Строительство-(4793)Торговля-(5050)Транспорт-(2929)Туризм-(1568)Физика-(3942)Философия-(17015)Финансы-(26596)Химия-(22929)Экология-(12095)Экономика-(9961)Электроника-(8441)Электротехника-(4623)Энергетика-(12629)Юриспруденция-(1492)Ядерная техника-(1748)

Урок №14




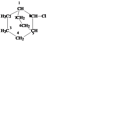
А б

Рис. 4. Проекционные формулы Ньюмена конформаций 1,4-бутилциклогексана: а - «кресло», б - «ванна»

 

Поэтому в «креслах» несвязные взаимодействия также максимальны при a,a -расположении бутильных групп и минимальны при их e,e -расположении.

По увеличению потенциальной энергии конформации 1,4-дибутилциклогексана можно расположить в ряд:

III < II < I << VI < V < IV

 


 

Приложение

 

1. Систематическая номенклатура органических соединений (номенклатура IUPAC).

Первая попытка создания такой номенклатуры была предпринята в Женеве в 1889 г., а, начиная с 1930 г., Международный союз по общей и прикладной химии (IUPAC) совершенствовал и развивал систематическую номенклатуру органических соединений.

Названия первых четырех членов гомологического ряда алканов тривиальные: метан, этан, пропан, бутан. Начиная с пятого, названия образованы от греческих числительных с добавлением суффикса –ан.

Углеводороды разветвленного строения с точки зрения номенклатуры IUPAC представляют собой линейную углеродную цепь, в которой один или несколько атомов водорода замещены углеводородными фрагментами:

 

Названия по систематической номенклатуре составляют следующим образом:

· В формуле молекулы углеводорода выбирают главную углеродную цепь. Если углеводород – алкан, то главной цепью является самая длинная, если он содержит в своем составе кратные связи или функциональные группы, то главной цепью будет являться самая длинная из тех, что включает их в себя. Все остальные атомы и группы атомов считаются заместителями атомов водорода в главной цепи.

· Затем эту цепь нумеруют с того конца, к которому ближе расположен заместитель (радикал) – атом или группа атомов, в нее не входящих. Если заместителей несколько, то нумерацию проводят так, чтобы сумма цифр, указывающих их положение в цепи, была наименьшей. При наличии в углеводороде кратных связей или функциональных групп, они определяют начало нумерации главной цепи. Названия заместителей перечисляют по алфавиту.

· Углеводород называют в таком порядке: указывают цифрой положение заместителя, потом называют этот заместитель, т.о. перечисляя все заместители в главной цепи, в конце названия добавляют корень, соответствующий числу атомов углерода в главной цепи и суффикс гомологического ряда.

Если в главной цепи содержится несколько одинаковых заместителей, то их объединяют приставкой, соответствующей греческому числительному, которую ставят перед названием этих заместителей. Приставки ди-, три-, тетра- и т.д. не влияют на алфавитное расположение заместителей в названии.

Названия простых циклоалканов по номенклатуре IUPAC образуются путем добавления приставки цикло- к названиям соответствующих алканов. Заместители нумеруются в соответствии с их положением в цикле таким образом, чтобы сумма номеров была минимальной:

метилциклопропан циклобутан 1-метил-3-этилциклопентан

 

Если в молекуле есть несколько сконденсированных циклических фрагментов, то систематические названия соединений этого типа образуют следующим образом.

Для обозначения типа соединения название начинают с приставки, соответствующей числу сконденсированных циклов (например, бицикло-). Затем в квадратных скобках указывают размер каждого из циклов (цифрами, означающими число атомов углерода в каждой из цепей, которые соединяют атомы углерода, являющиеся общими для всех циклов). В качестве С1 выбирается точка соединения циклов. После этого добавлют корень, соответствующий названию алкана с тем же числом атомов углерода, что и в циклическом соединении.

бицикло-[4,4,0]-декан бицикло- 8-хлорбицикло- спиро[2,4]гептан

(декалин) [3,1,1]-гептан -[3,2,1]-октан

 

Нумерация атомов углерода производится вдоль наиболее длинной цепи между точками соединения циклов от С1 до второй точки соединения, затем продолжается вдоль менее длинной цепи и, наконец, вдоль наиболее короткой линии.

Если два цикла имеют один общий углеродный атом, такие соединения составляют класс спироалканов. Название спироалкана образуют из названия соответствующего алкана, цифрами в квадратных скобках указывают, сколько углеродных атомов находится по каждую сторону от общего (узлового) углеродного атома. Нумерацию атомов углерода в спироалканах начинают всегда с меньшего цикла, а узловой атом нумеруют последним.

 

2. Рациональная номенклатура углеводородов.

По рациональной номенклатуре алканы рассматривают как производные простейшего углеводорода – метана, в молекуле которого один или несколько атомов водорода замещены на алкильные заместители. Эти заместители называют в порядке старшинства (от менее сложных к более сложным). Если заместители одинаковые, их объединяют приставками, аналогично тому же принципу номенклатуры IUPAC. В основе названия лежит слово "метан". В рациональной номенклатуре никогда не используют цифры.

 

тетраметилметан (2,2-диметилпропан) метилэтилизопропилметан (2,3-диметилпентан)

 

По рациональной номенклатуре все алкены называют как производные первого члена гомологического ряда – этилена (принцип аналогичен рациональной номенклатуре алканов), а sp2-гибридные атомы углерода обозначают как a- и b-. Буквой a обозначают наиболее замещенный атом углерода.

В молекуле этилена на простые заместители (радикалы) могут быть замещены четыре атома водорода:

a,b-диметил-a-изопропил-b-этилэтилен триметилэтилен

(2,3,4-триметилгексен-3) (2-метилбутен-2)

 

Алкины по рациональной номенклатуре называют как производные ацетилена:

диметилацетилен метилэтилацетилен


 

 

Таблица I

Брутто-формулы различных гомологических рядов углеводородов

 

  Общая формула CnH2n+x   Индекс формальной ненасыщен-ностиа) i =(2-x)/2     Гомологические ряды углеводородов  
CnH2n+2     Алканы
CnH2n     Алкены. Циклоалкены
CnH2n-2     Алкины. Алкадиены. Бициклоалканы. Циклоалкены
  CnH2n-4     Алкатриены. Алкенины. Бициклоалкены. Дициклоалкилэтилены. Трициклоалканы.Циклоалкадиены  
  CnH2n-6   Алкадиенины. Алкадиины Алкатетраены.. Бициклоалкадиены. Дициклоалкилаллены.Дициклоалкилацетилены. Тетрациклоалканы. Трициклоалкены.Циклоалкатриены (в том числе арены бензольного ряда)  
  CnH2n-8   Алкапентаены. Алкатриенины. Алкендиины. Бициклоалкатриены. Бициклоалкенины.. Пентациклоалканы. Тетрациклоалкены. Трициклоалкины.Циклоалкадиенины. Циклоалкадиины. Фенилалкены. Циклоалкатетраены и др.  
  CnH2n-10   Алкагексаены. Алкадиендиины. Алкатетраенины. Алкатриины. Бициклоалкадиенины Бициклоалкадиины.. Бициклоалкатетраены. Гексациклоалканы. Диалкенилбензолы Пентациклоалкены. Тетрациклоалкадиены. Трициклоалкатриены. Трициклоалкенины. Тетрациклоалкины. Фенилалкадиены. Фенилалкины.. Фенилаллены. Циклоалкапентаены и др.  

 

Окончание табл. I

  Общая формула CnH2n+x   Индекс формальной ненасыщен-ностиа) i =(2-x)/2       Гомологические ряды углеводородов  
  CnH2n-12   Алкагептаены. Алкапентаенины. Алкатриендиины. Алкентриины.Циклоалкатриины. Трициклоалкадиины. Бициклопентаены (в том числе арены нафталинового ряда). Трициклоалкатетраены. Тетрациклоалкатриены. Пентациклоалкадиены. Гексациклоалкены. Трициклоалкадиенины. Тетрациклоалкенины. Пентациклоалкины. Гептациклоалкены. Фенилалкенины. Фенилалкатриены. Алкенилалкинилбензолы и др.  
  CnH2n-14     Алкагексаенины.. Алкадиентриины. Алкаоктатетраены. Алкатетраендиины. Алкатетраины. Алкенилнафталины. Бициклоалкагексаены. Бициклоалкадиендиины. Бициклоалкатриины. Гексациклоалкадиены. Гексациклоалкины. Гептациклоалкены. Дифенил и его гомологи. Октациклоалканы. Пентациклоалкатриены. Пентациклоалкенины. Тетрациклоалкадиенины. Тетрациклоалкадиины. Тетрациклоалкатетраены. Трициклоалкапентаены. Трициклоалкатриенины. Трициклоалкендиины. Фенилалкадиенины. Фенилалкатетраены. Циклоалкагептаены.Циклоалкентриины и др.  

а) Примечание: величина i равна сумме: число колец в молекуле углеводорода + число формальных p-связей.


 

Таблица II

Одновалентные углеводородные заместители

 

  № Эмпири-ческая формула   Структурная формула   Название   Примечание
  CH3 Метил  
  C2H Этинил  
  C2H3 Винил  
  C2H5 Этил  
  C3H3 1-пропинил  
  C3H3 2-пропинил  
  C3H5 Аллил  
    C3H5   Изопропенил  
  C3H5 1-пропенил  
    C3H5   Циклопропил  
  C3H7 н -пропил  
    C3H7   Изопропил  
  C4H7 1-бутенил  
  C4H7 2-бутенил  
    C4H7   Циклобутил  
  C4H9 Бутил  
    C4H9   Вторичный бутил (втор.бутил)  
    C4H9   Изобутил  
    C4H9   Третичный бутил (трет.бутил)  
  С5H5   Циклопентадиенил Показан 2,4-изомер

 

 

Продолжение табл. II

 

  № Эмпири-ческая формула   Структурная формула   Название   Примечание
    C5H7   Циклопентенил   Показан 2-изомер
    C5H9   Циклопентил  
  C5H11 Пентил  
    C5H11   Изопентил  
    C5H11   Трет. пентил  
    C6H5   Фенил  
    C6H7   Циклогексадиенил   Показан 2,5-изомер
    C6H9   Циклогексенил   Показан 3-изомер
    C6H11   Циклогексил  
  C6H13 Гексил  
    C6H13   Изогексил  
    C7H7   Бензил  
    C7H7   Толил Показан 4- или п-изомер
    C8H7   Стирил  
    C8H9   Фенэтил  

 

 

Окончание таблицы II

 

  № Эмпири-ческая формула Структурная формула   Название   Примечание
    C8H9   a-метилбензил  
    C9H11   3-фенилпропил  
    C10H7   Нафтил Показан 1- или a-изомер

 

 


 

Таблица III

Двух- и трехвалентные углеводородные заместители

 

  № Эмпири-ческая формула Структурная формула   Название   Примечание
  CH Метилидин  
  CH2 Метилен  
  C2 Этинилен  
  C2H2 Винилен  
  C2H2 Винилиден  
  C2H3 Этилидин  
  C2H4 Этилен  
  C2H4 Этилиден  
  C3H4 Аллилиден  
  C3H4 Пропенилен  
  C3H5 Пропилидин  
    C3H6   Пропилен  
  C3H6 Пропилиден  
  C3H6 Изопропилиден  
  C3H6 Триметилен  
  C4H6 2-Бутенилен  
  C4H7 Бутилидин  
  C4H7 Изобутилидин  
  C4H8 Бутилиден  
    C4H8   Втор. бутилиден  
  C4H8 Изобутилиден  
  C4H8 Тетраметилен  
    C5H8   Циклопентилен   Показан 1,3-изомер
    C5H8   Циклопентилиден  
  C5H9 Изопентилидин  
  C5H9 Пентилидин  
  C5H10 Пентаметилен  
  C5H10 Пентилиден  
  C5H10 Изопентилиден  
    C6H4   Фенилен Показан 1,4- или п-изомер
           

 

Окончание таблицы III

 

    C6H10   Циклогексилен   Показан 1,4-изомер
  C6H12 Гексилиден  
  C6H12 Изогексилиден  
  C6H12 Гексаметилен  
    C7H5   Бензилидин  
    C7H6   Бензилиден  
    C10H6   Нафтилен Показан 1,5-изомер

 

 


 

Таблица IV

 

Энергии диссоциации и длины связей углерод-углерод в молекулах углеводородов

 

Тип связи Тип соединения Энергия, кДж /моль Длина, нм
  Алканы и циклоалканы   0,154
  Циклоалканы с малыми циклами (С3, С4) »320 0,153
  Гомологи этилена, циклоалкены   0,153
  Гомологи ацетилена, циклоалкины   0,147
  Этилен, изолировнные алкены   0,133
  Формальные двойные связи в сопряженных диенах   0,135
  Формальные простые связи в сопряженных диенах   0,146
  В бензольных кольцах аренов   0,140
  Ацетилен, изолированные алкины   0,121

 

 


 

Таблица V

Энергии диссоциации и длины связей углерод-водород в молекулах углеводородов

 

Тип связи Тип соединения Энергия, кДж /моль Длина, нм
  В метане   0,112
  С первичным атомом углерода   0,112
  С вторичным атомом углерода   0,112
  С третичным атомом углерода   0,112
  С атомом углерода в аллильном положении   0,112
  С атомом углерода в бензильном положении   0,112
  В алкенах   0,109
  В ароматическом кольце   0,110
  В алкинах   0.106

 

Список литературы

 

1. Реутов, О.А. Органическая химия / О.А. Реутов, А.Л. Курц, К.П. Бутин; – М.: Изд-во МГУ, 1999. Т. 1. 560с., Т. 2. 624с.

2. Реутов, О.А. Органическая химия / О.А. Реутов, А.Л. Курц, К.П. Бутин; – М.: БИНОМ. Лаборатория знаний, 2004. Т. 3., 544с. Т. 4. 726с.

3. Грандберг, И.И. Органическая химия: учебник для бакалавров / И.И. Грандберг, Н.Л. Нам. - М.: Юрайт, 2013. - 608 c.

4. Шабаров, Ю.С. Органическая химия / Ю.С. Шабаров. – СПб.; Лань, 2011, 848с.

5. Березин, Б.Д. Органическая химия / Б.Д. Березин, Д.Б. Березин. – М.: Юрайт, 2012, 768с.

6. Нейланд, О.Я. Органическая химия / О.Я. Нейланд. – М.: Высш. шк, 1990, 752.

7. Травень В.Ф. Органическая химия / В.Ф. Травень. – М.: Академкнига, 2004. Т. 1. 727с., Т. 2. 582с.

8. Несмеянов, А.Н. Начала органической химии / А.Н. Несмеянов, Н.А. Несмеянов. – М.: Химия, 1974. Т. 1. 664с., Т. 2. 824с.

9. Моррисон, Р. Органическая химия / Р. Моррисон, Р. Бойд. – М.: Мир, 1974. - 1132с.

10. Петров, А. А. Органическая химия: учебник для вузов / А. А. Петров,

X. В. Бальян, А. Т. Трощенко. – СПб.; Иван Федоров, 2002. 624с.

11. Днепровский, А.С. Теоретические основы органической химии / А.С. Днепровский, Т.И. Темникова. – Л: Химия, 1991. 560с.

 

 


 

Составители:

 

Шухто Ольга Владимировна

Андрианов Владимир Геннадьевич

 

 

Строение, номенклатура, природа химических связей в молекулах углеводородов

 

 

Методические указания

 

 

Редактор В.Л. Родичева

 

 

Подписано в печать 13.02.2014. Формат 60х84 1/16. Бумага писчая. Усл. печ. л. 2,79. Уч-изд. л. 3,10. Тираж 100 экз. Заказ

 

Ивановский государственный химико-технологический университет

 

Отпечатано на полиграфическом оборудовании кафедры экономики и финансов ИГХТУ

 

153000, г. Иваново, Шереметевский пр., 7

 

 


* Было бы точнее учитывать различия в свободных энергиях активации DG¹ процессов образования радикалов: DG¹ = DH¹ - TDS ¹, где DH¹ - энтальпия активации, равная приблизительно энергии активации Еакт, а DS ¹ - энтропия активации. Однако опыт показывает, что в случае сравнительно простых радикалов некоторые различия в энтропийных составляющих не отражаются существенно на том порядке изменения легкости образования радикалов, который может быть предсказан на основании различий энтальпий (т.е. энергий) активации.

Тема: «Цветные металлы, сплавы, область применения»

Цель: ознакомиться с цветными металлами и сплавами, их свойствами и областью применения.

Изучить теоретический материал на стр.55-57 (учебник Н.И.Макиенко «Основы материаловедения», Высшая школа, М., 1986).

Домашнее задание: ответить на вопросы на стр.57.

 

Предмет: «Материаловедение»




Поделиться с друзьями:


Дата добавления: 2015-05-26; Просмотров: 2759; Нарушение авторских прав?; Мы поможем в написании вашей работы!


Нам важно ваше мнение! Был ли полезен опубликованный материал? Да | Нет



studopedia.su - Студопедия (2013 - 2025) год. Все материалы представленные на сайте исключительно с целью ознакомления читателями и не преследуют коммерческих целей или нарушение авторских прав! Последнее добавление




Генерация страницы за: 0.009 сек.