Студопедия

КАТЕГОРИИ:


Архитектура-(3434)Астрономия-(809)Биология-(7483)Биотехнологии-(1457)Военное дело-(14632)Высокие технологии-(1363)География-(913)Геология-(1438)Государство-(451)Демография-(1065)Дом-(47672)Журналистика и СМИ-(912)Изобретательство-(14524)Иностранные языки-(4268)Информатика-(17799)Искусство-(1338)История-(13644)Компьютеры-(11121)Косметика-(55)Кулинария-(373)Культура-(8427)Лингвистика-(374)Литература-(1642)Маркетинг-(23702)Математика-(16968)Машиностроение-(1700)Медицина-(12668)Менеджмент-(24684)Механика-(15423)Науковедение-(506)Образование-(11852)Охрана труда-(3308)Педагогика-(5571)Полиграфия-(1312)Политика-(7869)Право-(5454)Приборостроение-(1369)Программирование-(2801)Производство-(97182)Промышленность-(8706)Психология-(18388)Религия-(3217)Связь-(10668)Сельское хозяйство-(299)Социология-(6455)Спорт-(42831)Строительство-(4793)Торговля-(5050)Транспорт-(2929)Туризм-(1568)Физика-(3942)Философия-(17015)Финансы-(26596)Химия-(22929)Экология-(12095)Экономика-(9961)Электроника-(8441)Электротехника-(4623)Энергетика-(12629)Юриспруденция-(1492)Ядерная техника-(1748)

Решение задачи

ТАЛОН

ЗАЯВЛЕНИЕ

Прошу Вас присвоить учетный номер объекту производства (изготовления) пищевой продукции, подлежащей санитарно-эпидемиологическому надзору
________________________________________________________________
наименование объекта (проекта, продукции, работы или услуги)
расположенного по адресу:_______________________________________
район, улица, дом, квартира

Подпись число, месяц, год

Приложение (копии документов):
1.
2.
3.

Приложение 3
к стандарту государственной услуги
«Присвоение учетных номеров объектам
производства пищевой продукции,
подлежащей санитарно-
эпидемиологическому надзору»

1. Вид запрашиваемой государственной услуги:_________________________
_____________________________________________________________________

2. Количество и названия приложенных документов:_____________________
_____________________________________________________________________

3. Дата (время) приема документов, вх. №_____________________________
_____________________________________________________________________

4. Дата и место получения государственной услуги:____________________
_____________________________________________________________________

5. ФИО, роспись, контактные телефоны уполномоченного должностного
лица, принявшего заявление на оформление документов__________________
_____________________________________________________________________

Приложение 4
к стандарту государственной услуги
«Присвоение учетных номеров объектам
производства пищевой продукции,
подлежащей санитарно-
эпидемиологическому надзору»

Таблица. Значения показателей качества и эффективности

Показатели качества и эффективности Нормативное значение показателя Целевое значение показателя в последующем году Текущее значение показателя в отчетном году
       
1. Своевременность
1.1.% (доля) случаев предоставления услуги в установленный срок с момента сдачи документа      
2. Качество
2.1. % (доля) потребителей, удовлетворенных качеством процесса предоставления услуги      
3. Доступность
3.1. % (доля) потребителей, удовлетворенных качеством и информацией о порядке предоставления услуги      
3.2. % (доля) услуг, информация о которых доступна в электронном формате 40-50    
4. Процесс обжалования
4.1. % (доля) потребителей, удовлетворенных существующим порядком обжалования      
5. Вежливость
5.1. % (доля) потребителей, удовлетворенных вежливостью персонала      

 

 

Для расчета характеристик ряда распределения: средней арифметической, моды, медианы, квартилей, децилей и коэффициента вариации используем вспомогательную таблицу (табл. 1).

1) Определим среднюю заработную плату работников предприятия.

Для вычисления средней арифметической интервального ряда распределения необходимо преобразовать интервальные значения признака в дискретные. Для этого в каждой группе значения признака условно приравнивают к середине интервала (гр.2 табл. 1).

При наличии открытых интервалов (первый интервал – до 10 и последний интервал – 50 и более тыс. руб.), их необходимо преобразовать в закрытые. Для этого берут значение величины последнего интервала как у предыдущего.

Средняя для всего ряда распределения вычисляется по средней арифметической взвешенной, где вариантами (х) берутся середины интервалов:

На основе расчётной таблицы (графа 4 табл.1) рассчитаем среднюю арифметическую взвешенную:

Следовательно, средняя заработная плата работников предприятия составила 29,97 тыс. руб.

Таблица 1

Расчетная таблица для нахождения характеристик ряда распределения

Группы работников по размеру средней месячной заработной платы, тыс. руб. Середина интервала х Число работников, чел. f xf Накопленная частота, S
           
До 10         5610,49
10-20         5152,77
20-30         468,89
30-40         2405,74
40-50         903,88
50 и более         3133,07
Итого -     - 17674,84

2) Определим моду и медиану.

Значения моды и медианы являются структурными средними величинами, характеризующими (наряду со средней арифметической) центр распределения единиц совокупности по изучаемому признаку.

Мода (Мо) для дискретного ряда – это значение признака, наиболее часто встречающееся у единиц исследуемой совокупности. В интервальном вариационном ряду модой приближенно считается центральное значение модального интервала (имеющего наибольшую частоту).

Конкретное значение моды для интервального ряда рассчитывается по формуле:

Согласно данным ряда распределения (табл.1) модальным интервалом является интервал 30 – 40 тыс. руб., так как его частота максимальна (fМо = 95).

Для расчета моды определим следующие параметры:

fМо = 95 (частота модального интервала – максимальная частота ряда);

Мо = 30 (начало модального интервала или нижняя граница модального интервала);

Мо = 10 (величина модального интервала – от 30 до 40 тыс. руб.);

f Мо-1 = 19 (частота предмодального интервала);

f Мо+1 = 4 (частота послемодального интервала).

Определим значение моды путем подстановки найденных параметров в формулу моды:

Следовательно, для выборочной совокупности работников предприятия наиболее распространенный уровень средней месячной заработной платы характеризуется средней величиной 34,55 тыс. руб.

Моду приблизительно можно определить графическим способом по графику гистограммы (рис.1).

Построение гистограммы аналогично построению столбиковой диаграммы: по оси абсцисс указывают значения границ интервалов () – графа 1 табл.1 и на их основании строят прямоугольники, высота которых пропорциональна частотам () или частостям (графа 3 табл.1).

Мода находится внутри модального интервала (интервала с наибольшей частотой) – на графике это самый высокий прямоугольник. Из точки пересечения двух линий в самом высоком прямоугольнике (рис.1) опускаем перпендикуляр на ось абсцисс, полученное на оси абсцисс значение признака и является модой (Мо=34.55 тыс. руб.).

 

Рис. 1 Графическое определение моды

Медиана (Ме) - это значение признака, которое делит ранжированный (упорядоченный по мере возрастания или убывания признака) ряд, на две равные по числу единиц части со значениями признака меньше медианы и со значениями признака больше медианы.

Для определения медианы рассчитываются накопленные (кумулятивные) частоты ,получаемые путем последовательного суммирования частот всех предшествующих интервалов (графа 5 табл.1).

В интервальном вариационном ряду медиана находится в интервале, которому соответствует накопленная частота (S), равная или превысившая полусумму частот ряда (т. е. где ).

Конкретное значение медианы для интервального ряда рассчитывается по формуле:

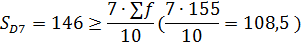
Медианным является интервал 30 – 40 тыс. руб. так как в этом интервале накопленная частота S=146, впервые превышает величину, равную половине численности единиц совокупности:

Для расчета медианы определим следующие параметры:

77,5 (полусумма частот ряда);

Ме = 30 (нижняя граница медианного интервала);

= 10 (величина медианного интервала – от 30 до 40 тыс. руб.);

S Ме-1 = 51 (накопленная частота предмедианного интервала);

fМе = 95 (частота медианного интервала).

Подставив все параметры в формулу медианы, определим ее значение:

Таким образом, в выборочной совокупности работников предприятия половина из них имеют среднюю месячную заработную плату не более 32,79 тыс. руб., а другая половина – не менее 32,79 тыс. руб.

Медиану приблизительно можно определить графическим способом по кумулятивной кривой, которая строится по накопленным частотам (графа5, табл. 1): по оси абсцисс откладывают верхние границы интервальных значений признака (х), а накопленные частоты или частости (S) наносятся на оси ординат. Полученные точки соединяют прямыми, образующими кумуляту (рис.2).

Чтобы графическим способом определить медиану необходимо из точки на оси ординат, соответствующей половине всех частот (, провести прямую, параллельную оси абсцисс до её пересечения с кумулятой (рис. 2). Опустив из этой точки перпендикуляр на ось абсцисс, находим значение медианы (Ме=32,79 тыс. руб.).

 

Рис. 2 Графическое определение медианы

 

3) Определим 1-й квартиль и 7-й дециль.

Квартили (Q) – значения признака, делящие упорядоченную совокупность (ранжированный ряд) на четыре равновеликие части таким образом, что 25% единиц совокупности значение признака будет меньше по величине Q1; 25% единиц совокупности будут иметь значение признака между Q1 и Q2; 25% - между Q2 и Q3; остальные 25% превосходят Q3.

Место квартиля или квартильный интервал определяется по накопленным частотам как , где k (от 1 до 3) – номер квартиля.

Расчет квартилей производится аналогично медиане по формуле:

где k – номер квартиля; - нижняя граница квартильного интервала;

- квартильный интервал;

– накопленная частота интервала, предшествующего квартильному интервалу;

– частота квартального интервала.

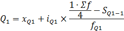
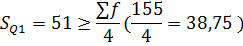
По данным таблицы (табл. 1) первый квартиль (Q1 ) – значение признака у единицы, делящей упорядоченный ряд в соотношении ¼ и ¾, находится в интервале 20-30 тыс. руб. (f =19), так как в этом интервале накопленная частота превысит одну четвертую или 25% единиц совокупности:

По данным таблицы (табл.1) рассчитаем первый квартиль:

Таким образом, средняя заработная плата 25% работников в выборочной совокупности в среднем меньше 23,55 тыс. руб.

Децили (D) – это значения признака, которое делит ранжированную совокупность на 10 равных по численности единиц частей. Первым децилем будет значение признака, меньше которого имеют 10% единиц совокупности, а больше – остальные 90% единиц совокупности и т.д.

Расчет децилей производится аналогично медиане и квартилям по накопленным частотам по формуле:

где k – номер дециля;

- нижняя граница децильного интервала;

- величина децильного интервала;

– накопленная частота интервала, предшествующего децильному интервалу;

– частота децильного интервала.

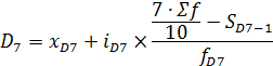
Седьмой дециль это максимальный уровень средней заработной платы у 70% работников предприятия в выборочной совокупности, он находится в интервале 30-40 тыс. руб. (f =95), так как в этом интервале накопленная частота превысит 70% единиц совокупности:

По данным таблицы (табл. 1) определим седьмой дециль:

Следовательно, средняя заработная плата 70% работников в выборочной совокупности в среднем не больше 36,05 тыс. руб.

4) Определим коэффициент вариации.

Предварительно рассчитаем дисперсию и среднее квадратическое отклонение.

Дисперсия - характеризует меру разброса признака около его среднего значения (мера рассеивания, т.е. отклонения от среднего), рассчитывается как средний квадрат отклонений индивидуальных значений признака от их средней величины:

По данным таблицы (графа 6 табл.1) дисперсия составит:

Среднее квадратическое отклонение является абсолютной мерой колеблемости признака и определяется как корень квадратный из дисперсии:

s w:ascii="Times New Roman" w:h-ansi="Times New Roman"/><wx:font wx:val="Times New Roman"/><w:i/><w:sz w:val="28"/><w:sz-cs w:val="28"/></w:rPr><m:t>СЂСѓР±</m:t></m:r><m:r><w:rPr><w:rFonts w:ascii="Cambria Math" w:h-ansi="Times New Roman"/><wx:font wx:val="Cambria Math"/><w:i/><w:sz w:val="28"/><w:sz-cs w:val="28"/></w:rPr><m:t>.)</m:t></m:r></m:oMath></m:oMathPara></w:p><w:sectPr wsp:rsidR="00000000"><w:pgSz w:w="12240" w:h="15840"/><w:pgMar w:top="1134" w:right="850" w:bottom="1134" w:left="1701" w:header="720" w:footer="720" w:gutter="0"/><w:cols w:space="720"/></w:sectPr></w:body></w:wordDocument>">

Следовательно, в выборочной совокупности средняя заработная плата каждого работника отклоняется от их общей средней заработной платы 29,97 тыс. руб. в среднем на 10,68 тыс. руб. в ту и другую сторону.

Определимкоэффициент вариации.

Коэффициент вариации – это мера относительного разброса значений признака в совокупности, он показывает удельный вес среднего квадратического отклонения в среднем значении признака:

В выборочной совокупности отклонение средней заработной платы каждого работника от их общей средней заработной платы 29,97 тыс. руб. составляет в среднем 35,64%.

5) С вероятностью 0,997 определим ошибку выборки средней заработной платы работников и границы (пределы), в которых будет находиться средняя заработная плата работников в целом по предприятию (в генеральной совокупности).

Для собственно-случайной повторной выборки предельная ошибка выборочной средней рассчитывается по формуле случайного повторного отбора (по условию выборка 10%-ная случайная повторная):

Значения параметров, необходимых для решения:

n = 155 чел. – численность выборочной совокупности;

- выборочная дисперсия (рассчитана в 4-м пункте задачи);

тыс. руб. – выборочная средняя;

t =3 – коэффициент доверия при заданной вероятности Р=0,997 ошибки генеральной средней (определяется по математико-статистической таблице значений интеграла вероятностей).

Расчет предельной ошибки выборки для средней:

Предельная ошибка выборки определяет границы, в пределах которых будет находиться генеральная средняя :

где – выборочная средняя,

– генеральная средняя.

Отсюда, доверительные пределы генеральной средней исчислим, исходя из двойного неравенства:

Следовательно, с вероятностью 0,997 можно утверждать, что средняя заработная плата работников предприятия в целом колеблется в пределах от 27,40 тыс. руб. до 32,54 тыс. руб. Это распространяется на 997 работников предприятия из 1000.

6) С вероятностью 0,954 определим ошибку выборки доли работников, получающих заработную плату свыше 40 тыс. руб., и границы, в которых будет находиться эта доля в генеральной совокупности.

Для собственно-случайной повторной выборки предельная ошибка выборки доли единиц, обладающих заданным свойством, рассчитывается по формуле:

Значения параметров, необходимых для решения:

n = 155 чел. – численность выборочной совокупности;

t = 2 – коэффициент доверия при заданной вероятности Р=0,954 ошибки генеральной доли (определяется по математико-статистической таблице значений интеграла вероятностей).

– доля единиц выборочной совокупности, обладающих заданным свойством;

m - число единиц выборочной совокупности, обладающих заданным свойством.

По исходным данным (табл.1) определим число работников, получающих заработную плату свыше 40 тыс. руб., – это группы работников №№ 1, 2 – всего m = (4+5) = 9 чел.

Рассчитаем выборочную долю по формуле:

Определим предельную ошибку выборочной доли:

Генеральная доля определяется по формуле:

= ±

=0,058 ± 0,038 (

то есть доверительные интервалы генеральной доли составляют:

2,0%≤ %.

Следовательно, с вероятностью 0,954 можно гарантировать, что среди всех работников предприятия доля работников, получающих заработную плату свыше 40 тыс. руб., находится в интервале от 2,0% до 9,6%. Это распространяется на 954 работников из 1000.

Результаты расчетов представим в сводной таблице (табл. 2).

Таблица 2

Сводная таблица результатов

Показатели Обозначение Значение показателей
Выборочная средняя 29,97 тыс. руб.
Мода Мо 34,55 тыс. руб.
Медиана Ме 32,79 тыс. руб.
1-й квартиль 23,55 тыс. руб.
7-й дециль 36,05 тыс. руб.
Среднее квадратическое отклонение 10,68 тыс. руб.
Коэффициент вариации V 35,64%
Доверительные пределы генеральной средней    
Доверительные пределы генеральной доли = ± 2,0%≤ %.  

 

Вывод. Анализ полученных значений характеристик выборочной совокупности работников предприятия (табл.2) говорит о том, что средняя заработная плата работников в выборке составила 29,97 тыс. руб.

Наиболее распространенный уровень средней месячной заработной платы работников характеризуется средней величиной 34,55 тыс. руб. (мода), при этом половина из них имеют среднюю месячную заработную плату не более 32,79 тыс. руб., а другая половина – не менее 32,79 тыс. руб. (медиана).

Средняя заработная плата у 25% работников в выборочной совокупности в среднем меньше 23,55 тыс. руб. (1-й квартиль), а средняя заработная плата у 70% работников в среднем не больше 36,05 тыс. руб. (7-й дециль).

Наиболее характерные значения средней заработной платы работников в выборочной совокупности находятся в пределах от 19,29 тыс. руб. до 40.65 тыс. руб. (диапазон ).

Коэффициент вариации превышает 33%, но меньше 70%. Следовательно, выборочная совокупность работников предприятия по уровню средней месячной заработной плате качественно однородна, вариация средней месячной заработной платы умеренная.

Расхождение между значениями средней (, модой (Мо) и медианой (Ме) незначительно ( =29,97 тыс. руб., Мо=34,55 тыс. руб., Ме=32,79 тыс. руб.), что подтверждает вывод об однородности совокупности работников предприятия по уровню средней заработной платы.

Таким образом, найденное значение средней заработной платы работников в выборке 29,97 тыс. руб. является достаточно типичной характеристикой исследуемой совокупности работников.

На основании проведенного выборочного обследования с вероятностью 0,997 можно утверждать, что средняя заработная плата работников предприятия в целом (в генеральной совокупности) колеблется в пределах от 27,40 тыс. руб. до 32,54 тыс. руб. Это распространяется на 997 работников предприятия из 1000.

Почти достоверно с вероятностью 0,954 можно гарантировать, что среди всех работников предприятия доля работников, получающих заработную плату свыше 40 тыс. руб., будет находиться в пределах от 2,0% до 9,6%. Это распространяется на 954 работников из 1000.

 

<== предыдущая лекция | следующая лекция ==>
Порядок обжалования. 18. Результаты оказания государственной услуги получателю государственной услуги измеряются показателями качества и эффективности согласно приложению 4 к | Применение модификаций системы Директ-костинг для расширения возможностей ценообразования
Поделиться с друзьями:


Дата добавления: 2015-05-29; Просмотров: 2254; Нарушение авторских прав?; Мы поможем в написании вашей работы!


Нам важно ваше мнение! Был ли полезен опубликованный материал? Да | Нет



studopedia.su - Студопедия (2013 - 2025) год. Все материалы представленные на сайте исключительно с целью ознакомления читателями и не преследуют коммерческих целей или нарушение авторских прав! Последнее добавление




Генерация страницы за: 0.017 сек.