Студопедия

КАТЕГОРИИ:


Архитектура-(3434)Астрономия-(809)Биология-(7483)Биотехнологии-(1457)Военное дело-(14632)Высокие технологии-(1363)География-(913)Геология-(1438)Государство-(451)Демография-(1065)Дом-(47672)Журналистика и СМИ-(912)Изобретательство-(14524)Иностранные языки-(4268)Информатика-(17799)Искусство-(1338)История-(13644)Компьютеры-(11121)Косметика-(55)Кулинария-(373)Культура-(8427)Лингвистика-(374)Литература-(1642)Маркетинг-(23702)Математика-(16968)Машиностроение-(1700)Медицина-(12668)Менеджмент-(24684)Механика-(15423)Науковедение-(506)Образование-(11852)Охрана труда-(3308)Педагогика-(5571)Полиграфия-(1312)Политика-(7869)Право-(5454)Приборостроение-(1369)Программирование-(2801)Производство-(97182)Промышленность-(8706)Психология-(18388)Религия-(3217)Связь-(10668)Сельское хозяйство-(299)Социология-(6455)Спорт-(42831)Строительство-(4793)Торговля-(5050)Транспорт-(2929)Туризм-(1568)Физика-(3942)Философия-(17015)Финансы-(26596)Химия-(22929)Экология-(12095)Экономика-(9961)Электроника-(8441)Электротехника-(4623)Энергетика-(12629)Юриспруденция-(1492)Ядерная техника-(1748)

J - угол прецессий




Q - угол нутаций

Энергия

F – свободная

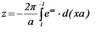
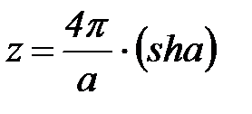
F = -NkT· lnz

k – коэффициент Больцмана; z – число состояний магнитных моментов электронов в парамагнетике.

 

 

 

mH·cosq = -u (энергия взаимодействия магнитного момента с полем Н).

 

 

 

 

cosq = x

 

; (sha – гиперболический синус а)

 

 

 

 

 

- Для любого случая.

 

 

Рассмотрим случай:

 

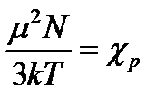
(слабые магнитные поля, высокие температуры Т)

 

 

 

, (c р - восприимчивость)

Как видно восприимчивость зависит от температуры.

 

 

в) Восприимчивость ферромагнетиков:


У ферромагнетиков магнитная проницаемость не является постоянной величиной как у диамагнетиков, парамагнетиков.

Это доказывается кривой намагничивания.

Когда уменьшается магнитное поле (МП), то индукция МП не уменьшается по тому же закону.

ОА – остаточная намагниченность (индукция).

ОАС – коэрцитивная сила.

В точке С исчезают магнитные свойства (В=0) при каких-то значениях Н.

Дальнейшее уменьшение МП приводит к симметричной петле гистерезиса.


 

B = mH

Для ферромагнетиков существует температура Кюри (Тк). При данной температуре ферромагнетик превращается в парамагнетик.

Ферромагнетики делятся на домены. Домены – области спонтанной намагниченностью. В каждом домене магнитные моменты m строго параллельны.


Отмечено, что есть монокристаллы, где соседние домены образуют угол 1800.

Магнитные моменты в одном домене строго параллельны, за это отвечают обменные силы или обменные взаимодействия. Обменные взаимодействия могут объясняться только через квантовую механику.

 

 




Поделиться с друзьями:


Дата добавления: 2015-06-04; Просмотров: 380; Нарушение авторских прав?; Мы поможем в написании вашей работы!


Нам важно ваше мнение! Был ли полезен опубликованный материал? Да | Нет



studopedia.su - Студопедия (2013 - 2026) год. Все материалы представленные на сайте исключительно с целью ознакомления читателями и не преследуют коммерческих целей или нарушение авторских прав! Последнее добавление




Генерация страницы за: 0.012 сек.