Студопедия

КАТЕГОРИИ:


Архитектура-(3434)Астрономия-(809)Биология-(7483)Биотехнологии-(1457)Военное дело-(14632)Высокие технологии-(1363)География-(913)Геология-(1438)Государство-(451)Демография-(1065)Дом-(47672)Журналистика и СМИ-(912)Изобретательство-(14524)Иностранные языки-(4268)Информатика-(17799)Искусство-(1338)История-(13644)Компьютеры-(11121)Косметика-(55)Кулинария-(373)Культура-(8427)Лингвистика-(374)Литература-(1642)Маркетинг-(23702)Математика-(16968)Машиностроение-(1700)Медицина-(12668)Менеджмент-(24684)Механика-(15423)Науковедение-(506)Образование-(11852)Охрана труда-(3308)Педагогика-(5571)Полиграфия-(1312)Политика-(7869)Право-(5454)Приборостроение-(1369)Программирование-(2801)Производство-(97182)Промышленность-(8706)Психология-(18388)Религия-(3217)Связь-(10668)Сельское хозяйство-(299)Социология-(6455)Спорт-(42831)Строительство-(4793)Торговля-(5050)Транспорт-(2929)Туризм-(1568)Физика-(3942)Философия-(17015)Финансы-(26596)Химия-(22929)Экология-(12095)Экономика-(9961)Электроника-(8441)Электротехника-(4623)Энергетика-(12629)Юриспруденция-(1492)Ядерная техника-(1748)

Комплексные показатели




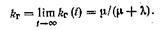
Коэффициент готовности. Этот показатель характе­ризует частично совокупность свойств безотказности и ремонтопригодности и представляет собой вероятность того, что объект окажется работоспособным в произволь­ный момент времени, кроме планируемых периодов, в течение которых использование объекта по назначению не предусматривается. Получение выражения для пока­зателя кг (t) через единичные показатели в общем виде не имеет особого смысла, поскольку оно обычно не используется ввиду его сложности и громоздкости. Прак­тическое значение имеет получение этого выражения для тех случаев, когда интервалы времени безотказной работы и восстановления на каждом цикле экспоненци­альные и не зависят от номера цикла, т. е.

Стационарное значение этого коэффициента, т. е, значе­ние в относительно удаленный от начала работы объек­та момент времени, определится как

Учитывая, что для экспоненциальных законов µ=1/tв и λ= 1/tоэто выражение представляется как

Строго доказано, что это выражение справедливо не только для экспоненциальных законов наработки до от­каза и времени восстановления, но и для любых зако­нов. Другими словами, стационарное значение коэффи­циента готовности или вероятности нахождения объекта в любой момент времени (далеко отстоящем от начала наблюдения за ним) в работоспособном состоянии рав­но относительной длительности пребывания объекта в работоспособном состоянии.

Последнее выражение значительно упрощает практичес­кое определение коэффициента готовности, которое ста­тистически находится как

где — суммарное время пребывания i-го объекта в работоспособном состоянии; N — количество одинаковых объектов; Траб — продолжительность эксплуатации, сос­тоящая из последовательно чередующихся интервалов времени работы и аварийного восстановления.

Если времена работы Траб различны для каждого из наблюдаемых объектов, то

где — суммарная наработка всех объектов; - суммарное время внеплановых восстановительных ремонтов всех объектов.

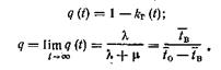
Обычно широко используется показатель, характери­зующий состояние, противоположное рассмотренному, — вероятность нахождения объекта в момент t в нерабо­тоспособном состоянии, называемый коэф­фициентом неготовности или аварийного состояния:

Коэффициент технического использования. Этот по­казатель характеризует те же свойства, что и коэффици­ент готовности, но учитывает дополнительно предупре­дительные ремонты и представляет собой отношение ма­тематического ожидания времени пребывания объекта в работоспособном состоянии за некоторый период эксплу­атации к сумме математических ожиданий времени пре­бывания объекта в работоспособном состоянии, времени простоев, обусловленном техническим обслуживанием, и времени ремонтов за тот же период эксплуатации. Ста­тистически коэффициент технического использования оценивается как

где Tэксп — продолжительность эксплуатации (кален­дарное время).

Если времена эксплуатации Tэксп различны для каж­дого из N наблюдаемых объектов, то

где — суммарное время предупредительных ремонтов всех объектов.

Между коэффициентами технического использования и готовности существует связь:

Среднее значение наработки

Коэффициент оперативной готовности. Этот показатель харак­теризует те же свойства, что и предыдущие комплексные показатели, и представляет собой вероятность того, что объект, находясь в режиме ожидания, оказывается работоспособным в произвольный момент времени tи, начиная с этого момента времени, работает безотказно в течение заданного интервала времени tраб.

Если вероятность безотказной работы объекта Р0(tраб) в течение времени tраб не зависит от момента t, то коэффициент оперативной готовности на интервале tраб после момента t

В частности, при экспоненциальных законах распределения пе­риодов работы и восстановления стационарное значение коэффици­ента оперативной готовности

Средний недоотпуск энергии. Этот показатель харак­теризует не только все основные свойства надежности системы, но и режим ее загрузки, и представляет собой математическое ожидание недоотпуска энергии потреби­телям за расчетный период времени. При количествен­ном определении данного показателя могут возникнуть два случая: 1) при эксплуатации системы, когда отказ ее уже произошел; 2) при отказе, который еще не наступил, но имеется определенная вероятность его появления.

Суть оценки недоотпуска в первом случае удоб­но пояснить рис. 1.7.

 

В момент t’ наступил отказ, в то время как нагрузка потребителя системы составляла ве­личину W'н. В общем случае отказ системы по отноше­нию к рассматриваемому потребителю может быть не полным, а частичным, когда система способна удовлет­ворять не всю нагрузку, а только часть ее W R. Недоот­пуск энергии при этом может быть найден как

где W'н. (t)час — среднечасовая текущая нагрузка потре­бителя в момент t, определяемая по ожидаемому графи­ку нагрузки в день аварии, Δt=1 ч.

Во втором с л у ч а е момент отказа не известен. Если отыскивается недоотпуск энергии на интервале Т, то должна быть известна функция распределения веро­ятности дефицита на этом интервале времени.

Полный средний недоотпуск энергии к – вид отка­за

Экономический ущерб от ненадежности. Этот показа­тель является наиболее комплексным. Он характеризует интегрально все свойства надежности системы, включая режим ее загрузки и значимость потребителя энергии. Важность каждого потребителя с экономической точки зрения характеризуется величиной удельного ущерба, который в общем случае можно представить в виде двух составляющих, отражающих ущерб из-за отключения мощности (Увн) и из-за недоотпуска энергии [Уо].

Экономический ущерб при каждом отказе к (к=1, 2,..., К)

Т - интервал времени

 




Поделиться с друзьями:


Дата добавления: 2015-06-25; Просмотров: 320; Нарушение авторских прав?; Мы поможем в написании вашей работы!


Нам важно ваше мнение! Был ли полезен опубликованный материал? Да | Нет



studopedia.su - Студопедия (2013 - 2026) год. Все материалы представленные на сайте исключительно с целью ознакомления читателями и не преследуют коммерческих целей или нарушение авторских прав! Последнее добавление




Генерация страницы за: 0.016 сек.