Студопедия

КАТЕГОРИИ:


Архитектура-(3434)Астрономия-(809)Биология-(7483)Биотехнологии-(1457)Военное дело-(14632)Высокие технологии-(1363)География-(913)Геология-(1438)Государство-(451)Демография-(1065)Дом-(47672)Журналистика и СМИ-(912)Изобретательство-(14524)Иностранные языки-(4268)Информатика-(17799)Искусство-(1338)История-(13644)Компьютеры-(11121)Косметика-(55)Кулинария-(373)Культура-(8427)Лингвистика-(374)Литература-(1642)Маркетинг-(23702)Математика-(16968)Машиностроение-(1700)Медицина-(12668)Менеджмент-(24684)Механика-(15423)Науковедение-(506)Образование-(11852)Охрана труда-(3308)Педагогика-(5571)Полиграфия-(1312)Политика-(7869)Право-(5454)Приборостроение-(1369)Программирование-(2801)Производство-(97182)Промышленность-(8706)Психология-(18388)Религия-(3217)Связь-(10668)Сельское хозяйство-(299)Социология-(6455)Спорт-(42831)Строительство-(4793)Торговля-(5050)Транспорт-(2929)Туризм-(1568)Физика-(3942)Философия-(17015)Финансы-(26596)Химия-(22929)Экология-(12095)Экономика-(9961)Электроника-(8441)Электротехника-(4623)Энергетика-(12629)Юриспруденция-(1492)Ядерная техника-(1748)

Погрешности измерений и измерительных приборов




Единицы измеряемых физических величин

В нашей стране подлежат обязательному применению единицы Международной системы единиц (СИ), содержащей основные, дополнительные и производные единицы, а также десятичные кратные и дольные от них.
Единицы СИ некоторых электрических величин приведены в таблице 3. В таблице 4 приведены множители и приставки для образования десятичных кратных и дольных единиц.


Таблица 3.

Электрическая величина Единица измерений
наименование обозначение наименова-ние русское обоз-ние международное обоз-ние
Сила тока I ампер А A
Напряжение, ЭДС U, E вольт В V
Мощность активная P ватт Вт W
Сопротивление R ом Ом Ω
Емкость C фарада Ф F
Индуктивность, взаимная индуктивность L, M генри Гн H
Частота f герц Гц Hz
Длина волны λ метр м m
Фазовый сдвиг φ радиан рад rad

Таблица 4.

Множитель Приставка Множитель Приставка
наименование обозначение наименование обозначение
русское международное русское международное
10-18 атто а a   дека да da
10-15 фемто ф f   гекто г h
10-12 пико п p   кило к k
10-9 нано н n   мега М M
10-6 микро мк μ   гига Г G
10-3 мили м m   тера Т T
10-2 санти с c   пета П P
10-1 деци д d   экса Э E

При проведении абсолютных измерений, основанных на прямых измерениях одной или нескольких основных величин, значение измеряемой величины определяется в единицах СИ. Результат относительных измерений, выполняемых путем отношения одноименных величин, выражается во внесистемных единицах (например, вольт-ампер) или является безразмерным значением (например, значение коэффициента мощности). В радиотехнической практике результат относительных измерений обычно выражается в децибелах, а при измерениях в технике связи дополнительно используется еще одна внесистемная единица - непер.
Децибел (дб) - относительная единица, основанная на десятичном логарифме отношения двух величин одинаковой размерности (мощность, напряжение, ток):
Nдб=10 lg(P2/P1),
Nдб=20 lg(U2/U1)=20 lg(I2/I1).
Непер (неп.) - относительная единица, основанная на натуральном логарифме отношения двух величин одинаковой размерности:
Nнеп.=ln(U2/U1).
Соотношение между относительными единицами определяется следующим образом:
1 дб=0.115 неп.,
1 неп.=8.686 дб.

Отклонение результата измерения от истинного значения измеряемой величины является погрешностью измерения.
Абсолютная погрешность измерения (Δизм.) - разность между действительным и истинным значениями измеряемой величины: Δизм.=Хд. - Хи.
Относительная погрешность измерения (δизм.) - отношение абсолютной погрешности измерения к истинному значению измеряемой величины, выраженное в %:

Для проведения любого измерения необходимо правильно выбрать метод измерения, средство измерения и исполнителя (оператора), чтобы полученный результат был максимально приближен к истинному значению измеряемой величины. В противном случае появляются методические, инструментальные или субъективные погрешности измерений.
Инструментальные погрешности измерений зависят от погрешностей применяемых средств измерений.
Абсолютная погрешность измерительного прибора (Δпр.) - разность между показанием прибора и действительным значением измеряемой величины: Δпр.=Хпр. - Хд.
Относительная погрешность измерительного прибора (δпр.) - отношение абсолютной погрешности прибора к действительному (или измеренному, Хпр.) значению величины, выраженное в %:

Значение относительной погрешности зависит от значения измеряемой величины - при постоянной пр. она возрастает с уменьшением Хпр.. Поэтому максимальная точность измерений обеспечивается, когда показание прибора находится во второй половине диапазона измерений. Диапазон измерений - область значений измеряемой величины, для которой нормированы допускаемые погрешности прибора. Допускаемой погрешностью считается погрешность прибора, при которой он может быть признан годным и допущен к применению.
Для сравнительной оценки точности измерительных устройств пользуются понятием приведенной погрешности прибора (γпр.), под которой понимают выраженное в % отношение абсолютной погрешности прибора к нормирующему значению шкалы:

В качестве XN чаще всего используют конечное значение диапазона измерений.
Погрешность, свойственная измерительному прибору при его эксплуатации в нормальных условиях, называется основной погрешностью. Для большинства средств измерений нормальными условиями эксплуатации считаются следующие: температура окружающей среды 20±5°С, относительная влажность 65±15%, напряжение питания 220 В±10% с частотой 50±1 Гц. При отклонении условий эксплуатации от нормальных (при рабочих условиях) появляются дополнительные погрешности.
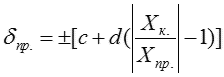
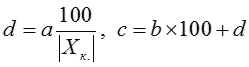
Погрешности некоторых измерительных приборов зависят от текущего значения измеряемой величины Хпр., поэтому погрешности таких приборов представляют двучленными выражениями, в которых первое слагаемое не зависит от Хпр. (аддитивная погрешность), а второе зависит (мультипликативная погрешность):

, где a, b - постоянные числа;
, где Хк. - верхний предел измерений прибора; c, d - постоянные числа в %, причём

Проявление погрешностей измерений и средств измерений может носить систематический и (или) случайный характер.
Систематическая погрешность - это составляющая погрешности, остающаяся постоянной или закономерно изменяющаяся при повторных измерениях одного и того же значения физической величины.
Случайная погрешность - составляющая погрешности, изменяющаяся случайным образом при повторных измерениях одного и того же значения физической величины. Для исключения из результата измерения случайной погрешности проводят многократные измерения и их статистическую обработку.




Поделиться с друзьями:


Дата добавления: 2015-06-04; Просмотров: 1404; Нарушение авторских прав?; Мы поможем в написании вашей работы!


Нам важно ваше мнение! Был ли полезен опубликованный материал? Да | Нет



studopedia.su - Студопедия (2013 - 2026) год. Все материалы представленные на сайте исключительно с целью ознакомления читателями и не преследуют коммерческих целей или нарушение авторских прав! Последнее добавление




Генерация страницы за: 0.01 сек.