Студопедия

КАТЕГОРИИ:


Архитектура-(3434)Астрономия-(809)Биология-(7483)Биотехнологии-(1457)Военное дело-(14632)Высокие технологии-(1363)География-(913)Геология-(1438)Государство-(451)Демография-(1065)Дом-(47672)Журналистика и СМИ-(912)Изобретательство-(14524)Иностранные языки-(4268)Информатика-(17799)Искусство-(1338)История-(13644)Компьютеры-(11121)Косметика-(55)Кулинария-(373)Культура-(8427)Лингвистика-(374)Литература-(1642)Маркетинг-(23702)Математика-(16968)Машиностроение-(1700)Медицина-(12668)Менеджмент-(24684)Механика-(15423)Науковедение-(506)Образование-(11852)Охрана труда-(3308)Педагогика-(5571)Полиграфия-(1312)Политика-(7869)Право-(5454)Приборостроение-(1369)Программирование-(2801)Производство-(97182)Промышленность-(8706)Психология-(18388)Религия-(3217)Связь-(10668)Сельское хозяйство-(299)Социология-(6455)Спорт-(42831)Строительство-(4793)Торговля-(5050)Транспорт-(2929)Туризм-(1568)Физика-(3942)Философия-(17015)Финансы-(26596)Химия-(22929)Экология-(12095)Экономика-(9961)Электроника-(8441)Электротехника-(4623)Энергетика-(12629)Юриспруденция-(1492)Ядерная техника-(1748)

Ответ: 1. Ф5.2.2-3 На пути естественного света помещены две пластинки турмалина




Ответ: 1

Ф5.2.2-3

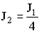
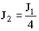
На пути естественного света помещены две пластинки турмалина. После прохождения пластинки 1 свет полностью поляризован. ЕслиJ1иJ2– интенсивности света, прошедшего пластинки 1 и 2 соответственно, и угол между направлениями OO и O’O’ =30, тоJ1иJ2связаны соотношением …   1: * 2: 3: 4:

Если на поляризатор падает плоско-поляризованный свет амплитудой E 0 и интенсивности J 0, то интенсивность прошедшего света: - Закон Малюса. Для естественного света , то есть из первого поляризатора выходит свет интенсивностью: . Из второго поляризатора выйдет свет интенсивностью: , где - угол между поляризаторами. Получаем .

Ф5.2.2-4

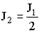
На пути естественного света помещены две пластинки турмалина. После прохождения пластинки 1 свет полностью поляризован. ЕслиJ1иJ2– интенсивности света, прошедшего пластинки 1 и 2 соответственно, и угол между направлениями OO и O’O’ =0, тоJ1иJ2связаны соотношением …   1: * 2: 3: 4:

Если на поляризатор падает плоско-поляризованный свет амплитудой E 0 и интенсивности J 0, то интенсивность прошедшего света: - Закон Малюса. Для естественного света , то есть из первого поляризатора выходит свет интенсивностью: . Из второго поляризатора выйдет свет интенсивностью: , где - угол между поляризаторами. Получаем .




Поделиться с друзьями:


Дата добавления: 2015-06-04; Просмотров: 3892; Нарушение авторских прав?; Мы поможем в написании вашей работы!


Нам важно ваше мнение! Был ли полезен опубликованный материал? Да | Нет



studopedia.su - Студопедия (2013 - 2025) год. Все материалы представленные на сайте исключительно с целью ознакомления читателями и не преследуют коммерческих целей или нарушение авторских прав! Последнее добавление




Генерация страницы за: 0.008 сек.